REVIEW article
Front. Environ. Sci.
Sec. Interdisciplinary Climate Studies
This article is part of the Research TopicClimate Change Impacts on Arctic Ecosystems and Associated Climate FeedbacksView all 10 articles
Impacts of novel wildfire disturbance on landcover and wildlife in boreal North America
Provisionally accepted- 1Wilfrid Laurier University, Waterloo, Canada
- 2Department of Biology, Faculty of Science, Wilfrid Laurier University, Waterloo, Ontario, Canada
- 3Canadian Wildlife Service, Environment and Climate Change Canada, Yellowknife, NT, Canada
- 4University of Colorado Boulder, Ecology and Evolutionary Biology Department, Renewable and Sustainable Energy Institute, Boulder, United States
- 5Environment and Climate Change, Government of the Northwest Territories, Yellowknife, Canada
- 6NWT Centre for Geomatics, Government of the Northwest Territories, Yellowknife, Canada
- 7Pacific Forestry Centre, Natural Resources Canada, Victoria, British Columbia, Canada
- 8Faculty of Forestry, University of British Columbia, Vancouver, British Columbia, Canada
Select one of your emails
You have multiple emails registered with Frontiers:
Notify me on publication
Please enter your email address:
If you already have an account, please login
You don't have a Frontiers account ? You can register here
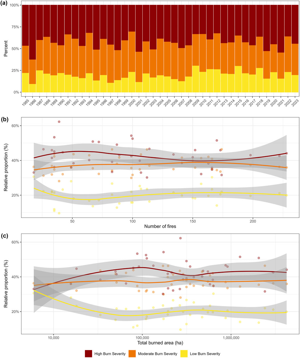
The summer of 2023 was the first time the planet exceeded 1.5°C above pre-industrial average temperatures and was recognized as the hottest year on record globally. In Canada, this translated to temperatures that were 2.2°C above average, resulting in a record shattering fire season. Burning conditions were exceptional in many ways including large total burned area and individual fire size, vast swaths of short-interval reburns and severe combustion, fast-moving wildfires, and substantial burning outside of the typical fire season, reflecting climate warming-induced changes in fire regime. While we know how some components of biodiversity in the boreal biome have responded to historic burning, the 2023 fire season highlights that we are rapidly moving into a novel set of burning conditions and that we require better knowledge of how these conditions will alter landcover and the associated wildlife communities. Here, we synthesize our understanding of how changing fire regimes will affect (short- and long- term effects) boreal landscapes and the implications of these changes for terrestrial wildlife using the extreme burning conditions in subarctic forests of the Northwest Territories (NWT), Canada in 2023 as a case study. Our goals were to a) evaluate the impacts of changing in fire regime on habitat composition and/or structure in the short- and longer-term; and b) assess the potential responses of terrestrial vertebrates to these changes based on our understanding of their reliance on key aspects of habitat composition and/or structure. We describe impacts of changes in individual aspects of the fire regime on wildlife taxa but, overall, at the landscape level, changes in fire regime are altering the composition and structure of boreal forests, which will drive decreases in taxa requiring mature conifer forest and post-fire structural complexity while favoring early seral species or those that prefer broadleaf forests or open habitats. This review offers us a range of possibilities about the future landcover and northern wildlife communities under changing wildfires, however uncertainties about feedbacks and future conditions of this vast, diverse, and remote landscape present the greatest challenges for forecasting and other supports for adaptation planning.
Keywords: wildlife, Novel disturbance regime, Boreal wildfire, Ecological resilience, Statechanges, Habitat changes
Received: 01 Oct 2024; Accepted: 30 Sep 2025.
Copyright: © 2025 Baltzer, Haché, Turetsky, Hodson, Van Der Sluijs, Mclaren, Ahmed, Coyle and Mcintire. This is an open-access article distributed under the terms of the Creative Commons Attribution License (CC BY). The use, distribution or reproduction in other forums is permitted, provided the original author(s) or licensor are credited and that the original publication in this journal is cited, in accordance with accepted academic practice. No use, distribution or reproduction is permitted which does not comply with these terms.
* Correspondence: Jennifer Lynn Baltzer, jbaltzer@wlu.ca
Disclaimer: All claims expressed in this article are solely those of the authors and do not necessarily represent those of their affiliated organizations, or those of the publisher, the editors and the reviewers. Any product that may be evaluated in this article or claim that may be made by its manufacturer is not guaranteed or endorsed by the publisher.
