ORIGINAL RESEARCH article
Front. Environ. Sci.
Sec. Toxicology, Pollution and the Environment
This article is part of the Research TopicModeling for Environmental Pollution and Change, Volume IIView all 4 articles
Optimization of in-situ soil thermal desorption technology based on machine learning and heat transfer process model
Provisionally accepted- 1Shenzhen Technology Institute of Urban Public Safety Co Ltd, Shenzhen, China
- 2Public Utilities Bureau of Shenzhen Shenshan Special Cooperation Zone, Shenzhen, China
- 3Southern University of Science and Technology, Shenzhen, China
- 4Chinese Academy of Sciences Shenzhen Institute of Advanced Technology, Shenzhen, China
- 5Wisdri City Environment Protection Engineering Limited Company, Wuhan, China
- 6South China University of Technology, Guangzhou, China
Select one of your emails
You have multiple emails registered with Frontiers:
Notify me on publication
Please enter your email address:
If you already have an account, please login
You don't have a Frontiers account ? You can register here
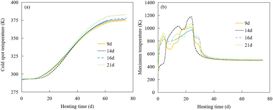
In-situ soil thermal desorption (ISTD) has been recognized as an effective and promising technology for remediating organic contamination in soil and groundwater. However, high energy consumption poses a major constraint on its remediation costs. In this study, an optimization method for in-situ soil thermal desorption was proposed that combines machine learning with a heat transfer process model. This method optimized the heat flow by effectively predicting the temperature distribution during ISTD, thereby enhancing energy utilization and reducing technical costs. The results show that total energy consumption can be significantly reduced under variable heat flow conditions compared to constant heat flow, with energy savings of 35.93–48.86%. The practical technical implementation requires careful consideration of factors such as heating time, fluctuations at the cold spot temperature, and the intensity of the heat flow. This study provides essential technical support for the further development of in-situ thermal desorption soil technology in practical engineering contexts and the strategic optimization of remediation methods.
Keywords: In-situ soil thermal desorption, machine learning, heat transfer process-based model, Optimization algorithm, site remediation
Received: 22 Oct 2025; Accepted: 11 Nov 2025.
Copyright: © 2025 Wang, Li, Tian, Zhang, Li, Xi, Zhao, Zhang, Ye and Li. This is an open-access article distributed under the terms of the Creative Commons Attribution License (CC BY). The use, distribution or reproduction in other forums is permitted, provided the original author(s) or licensor are credited and that the original publication in this journal is cited, in accordance with accepted academic practice. No use, distribution or reproduction is permitted which does not comply with these terms.
* Correspondence:
Qianting Ye, yqt@scut.edu.cn
Rong Li, lir@scut.edu.cn
Disclaimer: All claims expressed in this article are solely those of the authors and do not necessarily represent those of their affiliated organizations, or those of the publisher, the editors and the reviewers. Any product that may be evaluated in this article or claim that may be made by its manufacturer is not guaranteed or endorsed by the publisher.
