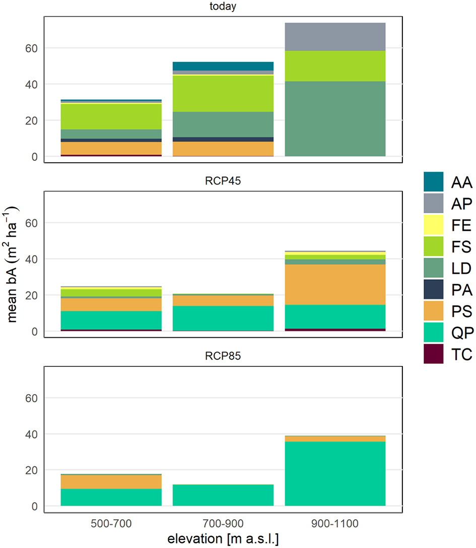
In the original article, there was a mistake in Figure 8 as published. The published figure shows the basal area per elevation level and main species in 50 years, and not in 150 years. The corrected Figure 8 appears below.
Figure 8

Current (“today”; based on field data) and future (“RCP4.5” and RCP8.5” in 50 years) mean basal area per elevation level and main species. Species abbreviations: AA, Abies alba; AP, Acer pseudoplatanus; FE, Fraxinus excelsior; FS, Fagus sylvatica; LD, Larix decidua; PA, Picea abies; PS, Pinus sylvestris; QP, Quercus pubescens; TC, Tilia cordata.
In the original article, there was an error. It was stated in the result that currently, a block with a volume between 0.1 and 0.5 m3is expected to reach the railway about once in 100 years. In future, its occurrence frequency could increase to once in 30 years. However, currently, the occurrence frequency is about once in 10 years and in future it could increase to once in 3 years.
A correction has been made to Results, Protective Effect of Forest, Paragraph 3:
Currently, a block with a volume between 0.1 and 0.5 m 3 is expected to reach the railway about once in 10 years. In future, its occurrence frequency could increase to once in 3 years (Figure 11).
The authors apologize for this error and state that this does not change the scientific conclusions of the article in any way. The original article has been updated.
Publisher's Note
All claims expressed in this article are solely those of the authors and do not necessarily represent those of their affiliated organizations, or those of the publisher, the editors and the reviewers. Any product that may be evaluated in this article, or claim that may be made by its manufacturer, is not guaranteed or endorsed by the publisher.
Summary
Keywords
rockfall risk, protection forest, climate change, dynamic forest modelling, TreeMig, Eco-DRR
Citation
Moos C, Guisan A, Randin CF and Lischke H (2021) Corrigendum: Climate Change Impacts the Protective Effect of Forests: A Case Study in Switzerland. Front. For. Glob. Change 4:791067. doi: 10.3389/ffgc.2021.791067
Received
07 October 2021
Accepted
12 October 2021
Published
03 November 2021
Volume
4 - 2021
Edited and reviewed by
Thomas Cordonnier, Institut National de Recherche pour l'Agriculture, l'Alimentation et l'Environnement (INRAE), France
Updates
Copyright
© 2021 Moos, Guisan, Randin and Lischke.
This is an open-access article distributed under the terms of the Creative Commons Attribution License (CC BY). The use, distribution or reproduction in other forums is permitted, provided the original author(s) and the copyright owner(s) are credited and that the original publication in this journal is cited, in accordance with accepted academic practice. No use, distribution or reproduction is permitted which does not comply with these terms.
*Correspondence: Christine Moos christine.moos@bfh.ch
†These authors have contributed equally to this work and share senior authorship
This article was submitted to Forest Management, a section of the journal Frontiers in Forests and Global Change
Disclaimer
All claims expressed in this article are solely those of the authors and do not necessarily represent those of their affiliated organizations, or those of the publisher, the editors and the reviewers. Any product that may be evaluated in this article or claim that may be made by its manufacturer is not guaranteed or endorsed by the publisher.