Abstract
Regeneration and recruitment are primordial for stand sustainability. However, natural regeneration is usually only evaluated by density and height, so no details are provided regarding the individual traits of the saplings/seedlings. Hence, the findings of these regeneration studies are of limited selection power in future management. The main goal of this study was to develop a new methodology that enables the evaluation of individual quality traits of regeneration in the early stages of stand development so that their future potential development can be assessed. Natural regeneration (NR) was evaluated in each field plot using the conjugation of two new methods: first using the natural regeneration density (NRD) method and second using the new natural regeneration tree classification (NRTC). NRTC is composed of a set of criteria with categorical variables that allow the evaluation of traits of individuals and their potential for future recruitment. In this classification system, five criteria were used, namely, upper story influence to evaluate the competition of the trees of the upper story cast on the regeneration individuals, crown isolation to characterize the competition between saplings, height as a surrogate of sapling development, diameter as a proxy of growth, and tree habit as a proxy of the habit of saplings. To test both methods, we applied them in a case study of Quercus ilex in the montado agroforestry system in Portugal, where different degrees of crown cover coexist. Our results indicated that in 85% of the plots with a crown cover higher than 30%, we could find good-quality natural regeneration oak saplings suited to be recruited and located outside of the upper story crown projection. Only 15% of the plots with a crown cover higher than 30% were dominated by Cistus ladanifer and had almost no oak saplings. In future, we suggest that the NRTC be used in all NR individuals in the forest inventory when the NR density is less than 200 NR individuals ha−1.
1. Introduction
Regeneration and recruitment are primordial for stand sustainability. Natural regeneration can be a valuable tool to restore stands and landscapes (Chazdon and Guariguata, 2016; Crouzeilles et al., 2020; Lohbeck et al., 2021). Nevertheless, there are not many studies and methodologies to evaluate regeneration quality, and silviculture measures are needed to foster it (Pausas et al., 2009; Kohler et al., 2020). The authors have not found any reference to a system of classification for regeneration ADD: based on qualitative characteristics. Most regeneration studies evaluate regeneration by quantifying its density and height (Harmer, 2005; Acácio et al., 2007; Barrere et al., 2021; Bolibok et al., 2021; Löf et al., 2021). The traits of the individuals are not evaluated.
Typically, the prescription and implementation of silvicultural practices are enforced with easy-to-assess methods. The tree classification systems are widely used because they are easy to implement and fast to assess. The drawback is that they are frequently associated with the stand structure. The tree classification systems use a set of criteria such as social status, vigor, competition, stem traits, and damages (Assmann, 1970; Schütz, 1990; Meadows and Skojac, 2008). These systems can be grouped into two broad types: one for pure even-aged stands and another for mixed- or uneven-aged stands. Examples of the former are the tree classification systems of Assmann (1970), Meadows and Skojac (2008), Kraft Pretzsch (2009), and English Kerr and Haufe (2011). Examples of the latter are those of Assmann (1970) and Meadows and Skojac (2008).
Despite the wide number of tree classification systems for forest stands, to the authors' best knowledge, there is no classification system for the evaluation and monitoring of regeneration and recruitment. In fact, most studies only use quantitative measures (density and height) to evaluate regeneration (Long and Jones, 1996; Bonfil, 1998; Bogdziewicz et al., 2021; Martínez-Baroja et al., 2021). Thus, the quality of the regeneration is not assessed. The early evaluation of the quality of the regeneration individuals allows the implementation of silvicultural practices in the early stages of stand development. For example, the amount of browsing the oaks suffer in the first stages of development can condition oak growth. Browsing tends to be higher for saplings with a height lower than or equal to 100 cm (Borkowski et al., 2017; Bolibok et al., 2021). Detecting this event early can be particularly important in the case of agroforestry systems where grazing occurs and the stands have low-density, slow-growing species such as oaks in a heterogeneous spatial distribution.
The insufficient regeneration of oaks, both in density and development, has long been a concern all over the world (Harmer, 1994; Bobiec et al., 2018; Petersson et al., 2019). Several reasons pinpointed the low success of the oaks' regeneration, namely, flowering, fruiting, germination, stand structure, and site (Löf et al., 2019). Flowering, fruiting, and masting patterns are affected by climate (especially precipitation and temperature) and determine the fruit yield and thus the potential number of seedlings (Bogdziewicz et al., 2021; Clark et al., 2021). Oak acorns mature in autumn, and as dormancy is slight, germination is determined by the seedbed, particularly soil moisture and temperature. Thus, germination occurs after fruit ripening (from autumn until winter), with strong investment in the root system and emergence in the following spring (Löf et al., 2019). Acorns are heavy seeds and tend to fall beneath or near the seed tree. However, dispersion by animals has also been described in several studies (Gómez, 2003; Monteiro-Henriques and Fernandes, 2018). Furthermore, the oak saplings' survival and development are affected by several factors interlinked with the stand structure, namely, light, water, competition, herbivory, and abiotic disturbances (Oliver, 2015; Löf et al., 2019; Petersson et al., 2019; Príncipe et al., 2019; Martínez-Baroja et al., 2021). It is known that oaks are shade-intolerant species though when young oaks can tolerate moderate shading only in the early stages of development (Pausas et al., 2009).
The montado is an agrosilvopastoral system, with Quercus suber and Quercus ilex as main species. The montados are multiple-use systems, that is, in addition to the use and direct economic value related to cork, agriculture, and livestock, and they also generate indirect use values such as landscape, carbon sequestration, interception, and infiltration of rainwater and maintenance of high levels of biodiversity (Pereira et al., 2009; Moreno et al., 2016; Frasconi et al., 2021; Stavi et al., 2022). Similarly, to the regeneration of other oaks in the montados, a deficit of regeneration has been observed. In the montado, lack of regeneration can also be caused by several interrelated management practices concerning pasture, soil plowing, agricultural crops, and reduction in the regeneration rate of oaks (Pinto-Correia et al., 2011; Lauw et al., 2013; Acácio et al., 2021).
In the Mediterranean climate, water is the primordial limiting factor for oak regeneration (Mendes et al., 2016; Grossnickle, 2018; Löf et al., 2019; López-Sánchez et al., 2021). One of the main challenges of the oak seedlings is to survive the first summer drought, as observed in sites within the Mediterranean climate regions (Pulido and Díaz, 2005; Smit et al., 2009; Garcia-Fayos et al., 2020). In Mediterranean countries, shading from overstorey trees can cast a better-suited environment for the survival and growth of oak saplings since both water stress and the temperature range are reduced with the canopy providing a nurse effect (Badano et al., 2011; Príncipe et al., 2019). Shrubs can compete with saplings for light, water, and nutrients. Nevertheless, they provide shade, decrease water stress, reduce damage by herbivory, and reduce vulnerability to late frost (Löf et al., 2019). This nursing effect of the understorey has been referred to by several authors for the regeneration of evergreen oaks (Oliver, 2015; Príncipe et al., 2019; Martínez-Baroja et al., 2021). These effects are also found in many silvopastoral systems around the world (e.g., Pantera et al., 2018; Jose et al., 2019), such as the montado.
The goal of this study is to develop and test a new methodology for sampling natural regeneration that enables not only the quantification of the number of individual saplings but also the assessment of other parameters of quality. This methodology will also enable the selection of the best-suited regeneration of individuals for the target production and the implementation of silvicultural practices in the early stages of development to enhance their growth.
2. Materials and methods
2.1. Materials
The study site is in Ferreira do Alentejo, (central coordinates, 38°00'43.8“N and 8°03'36.8”W) in southern inland Portugal. It has 180 ha of holm oak (Quercus ilex) montado, grazed by a flock of Portuguese merino sheep breed, of on average 600 sheep corresponding to 3 sheep ha−1. Grazing occurs for 6 months per year on average. The last soil plowing occurred more than a decade ago. The forest area soil is predominantly of leptosols (IUSS Working Group WRB, 2015). No fire events occurred since 1975 (ICNF, 2022). The study area elevation varies between 138 and 233 m. In the Köppen classification, Portugal is described as a Mediterranean climate, characterized by hot, dry summers and wet and cool winters. According to the Köppen subclassification system, Ferreira do Alentejo is a Csa, hot summer Mediterranean. The climate is characterized as the typical Mediterranean, with a long dry summer where the precipitation occurs mainly between October and April.
The montado in the study site shows high spatial variability in density. To evaluate if regeneration was (or not) affected by tree density, the crown cover (CC) was used to stratify the study area. Four crown cover classes (CCC) were defined: CCC1, < 10% CC; CCC2, 10–30% CC; CCC3, 31–50% CC; and CCC4, >50% CC (Figure 1). The study area was divided into a square grid of 2,000 m2. The crown cover per grid was estimated according to the protocol of the Portuguese National Forest Inventory (IFN5, 2005/2006). A stratified random sampling design was used to select the sampling plots to reduce variation and increase the precision of population estimates (Kershaw et al., 2016). Ten plots were selected per CCC for a total of 40 plots. The coordinates of all the vertices of each plot (corresponding to the square grid) were determined, and a GPS RTK was used to identify them in the field. The analysis was implemented in ArcMap 10 (ESRI, 2019).
Figure 1

Example of a plot of each crown cover class (CCC). Four crown cover classes (CCC) were defined: CCC1, <10% CC; CCC2, 10–30% CC; CCC3, 31–50% CC; and CCC4, >50% CC (Credit of the author).
2.2. Methods
Natural regeneration was evaluated in each field plot (2,000 m2) using the conjugation of two methods: first using the natural regeneration density (NRD) method and second using the natural regeneration tree classification (NRTC). First, the natural regeneration was evaluated for saplings with dbh of < 10 cm and h of ≥0.5 m. The natural regeneration density (NRD) was evaluated in five classes (number of saplings per 2,000 m2): NRD1, < 25 saplings; NRD2, 26–50 saplings; NRD3, 51–75 saplings; NRD4, 76–100 saplings; and NRD5, >100 saplings. NRD follows the criteria used by the Portuguese National Forest Inventory (IFN5, 2005/2006). This method was used for all the CCC (Figure 1).
To apply the NRTC, we used a random transect inside the plots. The starting point of the transect and the direction were defined with a random number application (Jhelin Corporation, 2020), and it had an extension of 10 m. In this case study, the adult trees in the stand had good vitality and had not yet reached their lifespan. Therefore, in this case study, we opted to mark the transects outside the upper story crown projection. In each plot, one transect was surveyed (Figure 2).
Figure 2

Natural regeneration methodology.
The natural regeneration evaluation methodology was tested, and it allowed for a quick and efficient evaluation of the NR. We successfully sampled 40 plots using the NRD.
2.3. Natural regeneration tree classification
In this study, a regeneration classification system focused on the evaluation of the regeneration with an easy-to-assess methodology was developed: the natural regeneration tree classification (NRTC). It evaluates both the number of seedlings and saplings and a set of traits that influence their potential development, which also influences their production. The novel regeneration classification system has five criteria to evaluate regeneration: upper story influence, crown isolation, height, diameter, and tree habit (Table 1).
Table 1
| Natural regeneration classification | |
|---|---|
| 1-Upper story influence | |
| Outside the crown projection of an adult tree | 1 |
| Inside the crown projection of an adult tree | 2 |
| 2-Degree of crown isolation | |
| Isolated crown | 1 |
| Crown in contact with another sapling only in one point | 2 |
| Crown in contact with other saplings in two points | 3 |
| Crown in contact with other saplings in more than two points | 4 |
| 3-Height (h) classes | |
| 0.5 ≤ h < 1.3 m | 1 |
| h ≥ 1.3 m | 2 |
| 4-Diameter classes | |
| dbh ≤ 5 cm | 1 |
| 5 cm < dbh < 10 cm | 2 |
| 5-Tree habit | |
| Shrub shape | 1 |
| Low bifurcation | 2 |
| Sapling with one main stem | 3 |
Natural regeneration classification created for evaluating the quality of the regeneration present in each plot.
The first criterion assesses the effect of the mature tree crowns on the regeneration, which can be considered a proxy for the competition between the trees of the main stand and the regeneration individuals. Two classes were considered: (1) outside the crown projection area and (2) under the crown projection area. Oak regeneration that develops directly under the crown projection of an adult tree can have a successful primary growth of seedlings followed by reduced growth of saplings due to light competition because shade tolerance decreases with the oak lifespan (Ward, 1992; Espelta et al., 1995). It is probable that saplings growing outside the crown projection area of an adult individual are recruited while those under the crown are not likely to be recruited if the adult tree is kept in the stand. Therefore, this criterion evaluates the spatial location of the saplings and the likelihood of their recruitment to the main stand. This criterion can be used in two methodological approaches, according to the main objective of each study. If the main objective of the study is to evaluate the regeneration that will be recruited, the study can use this criterion as a priori to only focus on the saplings that are located outside the crown of a healthy adult tree. In this case, the sampling of the regeneration will be done only outside the upper story influence, and all the individual saplings will be classified as 1. If the main objective of the study is to sample and evaluate all the regeneration present in the stand, this criterion will be used a posteriori to classify all the regeneration sampled according to the upper story. In silviculture, this second approach can be useful when adult trees are dying, or thinning is required depending on the goals of each stand. Before starting to apply this classification, it is essential to define the main goals of its application in each case study.
The second criterion evaluates the competition among regeneration individuals, considering crown isolation as a proxy of competition among saplings. This criterion is a direct adaptation of Assmann's classification (Assmann, 1970) that evaluates crown isolation in the main stand. Four classes were considered: (1) isolated crown, (2) crown in contact with other seedlings/saplings only at one point, (3) crown in contact with other seedlings/saplings at two points, and (4) crown in contact with other saplings in more than two points.
The third criterion evaluates the height of the regeneration individuals in two classes: (1) individuals with a height between 0.5 and 1.3 m and (2) individuals with a height higher than 1.3 m. It can be considered a surrogate of the sapling's development. The height of the saplings is the parameter more described in the previous literature (Long and Jones, 1996; Harmer, 2005; Dobrowolska, 2006; Esquivel et al., 2007; Löf et al., 2021).
The fourth criterion evaluates the diameter of regeneration individuals measured at 1.30 m, that is when the regeneration tree can be considered installed (when it overcomes the period of high mortality rate) (Assmann, 1970). Two classes were used: (1) individuals with diameters of < 5 cm and (2) individuals with diameters of ≥5 and < 10 cm.
The fifth criterion is the tree habitat (Figure 3), which allows the evaluation of its development. Using observation knowledge, we defined three classes: (1) shrub shape, (2) low bifurcation, and (3) saplings with the main stem. These classes are an innovation prompted in the domain of this research that allows for a systematic qualitative analysis of the regeneration habit. Competition pressures during sapling development can derive from different tree shapes. Oaks do not have a strong apical dominance (Cline, 1997). If a seedling/sapling suffers a disturbance such as herbivory, frost, or drought, its aerial growth can be affected (Møller and De Lope, 1998; Zvereva et al., 2012). The aerial part is partially or totally destroyed, and the individuals develop a shrubby habit, which can condition the oak's future development, but this topic has not been extensively studied. For example, if an oak has a shrubby or multiforked habit, one of the silvicultural practices that can promote regeneration is to remove the aerial part. The selection of the best one or two sprouts enables the improvement of its traits in the short term because the poles already have an installed root system (Natividade, 1950). When trees suffer from herbivory of the apical meristem, it may lead to compensatory regrowth of the apical shoot, or auxiliary shoots may be produced (Aarssen, 1995; Bonfil, 1998). If oak trees grow in a multiforked shape, they can be tended back to a one-stem shape by pruning (Natividade, 1950).
Figure 3

Tree habitat: illustration of the fifth criterion of the NR classification: (A) low bifurcation, (B) shrub shape, and (C) tree shape (Credit of the author).
This natural regeneration tree classification (NRTC) can be expressed as an index, corresponding to a number of five digits:
This index should be read as a label for the characteristics of each sapling and should be interpreted without losing information. The criteria used in this NRTC index are especially relevant when studying oaks and other tree species that have long production cycles and a lower number of established individuals of natural regeneration. Furthermore, the silviculture practices needed in each case differ according to whether the sapling has a shrub shape, only one main stem, or if they are isolated or surrounded by other saplings. The NRTC index results should be analyzed per plot and considering the characteristics of the stand as well as the ecological conditions of the site. In addition, when using the NRTC index on a large scale, it is easy to filter the results by selecting individuals with similar characteristics in a database.
For example, a sapling with an index of 12113 corresponds to a sapling with the following characteristics: outside the crown projection of an adult tree, crown in contact with another sapling only at one point, height between 0.5 and 1.3 m, diameter of ≤5 cm, and one main stem. Other examples are presented in Table 2.
Table 2
| Tree number | NRTC index | Observations |
|---|---|---|
| 1 | 11113 | Sapling growing outside the crown projection of an adult tree, isolated crown, height between 0.5 and 1.3 m, diameter ≤5 cm, with one main stem |
| 2 | 12222 | Sapling growing outside the crown projection of an adult tree, crown in contact with another sapling at one point, height ≥1.3 m, diameter between 5 and 10 cm, with stem with low bifurcation |
| 3 | 11111 | Sapling growing outside the crown projection of an adult tree, isolated crown, height between 0.5 and 1.3 m, diameter ≤5 cm, with shrub shape |
| 4 | 12223 | Sapling growing outside the crown projection of an adult tree, crown in contact with another sapling at one point, height ≥1.3 m, diameter between 5 and 10 cm, with one main stem |
| 5 | 13223 | Sapling growing outside the crown projection of an adult tree, crown in contact with another sapling at two points, height ≥1.3 m, diameter between 5 and 10 cm, with one main stem |
| 6 | 12213 | Sapling growing outside the crown projection of an adult tree, crown in contact with another sapling at one point, height ≥1.3 m, diameter ≤5 cm, with one main stem |
| 7 | 11223 | Sapling growing outside the crown projection of an adult tree, isolated crown, height ≥1.3 m, diameter between 5 and 10 cm, with one main stem |
| 8 | 13221 | Sapling growing outside the crown projection of an adult tree, crown in contact with another sapling at two points, height ≥1.3 m, diameter between 5 and 10 cm, with shrub shape |
| 9 | 11123 | Sapling growing outside the crown projection of an adult tree, isolated crown, height between 0.5 and 1.3 m, diameter between 5 and 10 cm, with one main stem |
Examples of NRTC for Quercus ilex with all saplings outside the crown projection of an adult tree.
Trees were numbered according to their position in the transect.
2.4. Statistical analysis
To evaluate the effect of crown cover on regeneration for the NRD, the analysis of variance was performed with non-parametric statistical tests, as data did not meet the normal distribution criteria (evaluated with the Shapiro–Wilk normality test). The Kruskal–Wallis and Mann–Whitney U tests were used, with a level of significance of 0.05. A descriptive statistical analysis was used to study the NRTC results, making use of frequencies, percentages, and histograms. The analysis was implemented in SPSS Statistics version 21.0 (IBM, 2016).
3. Results
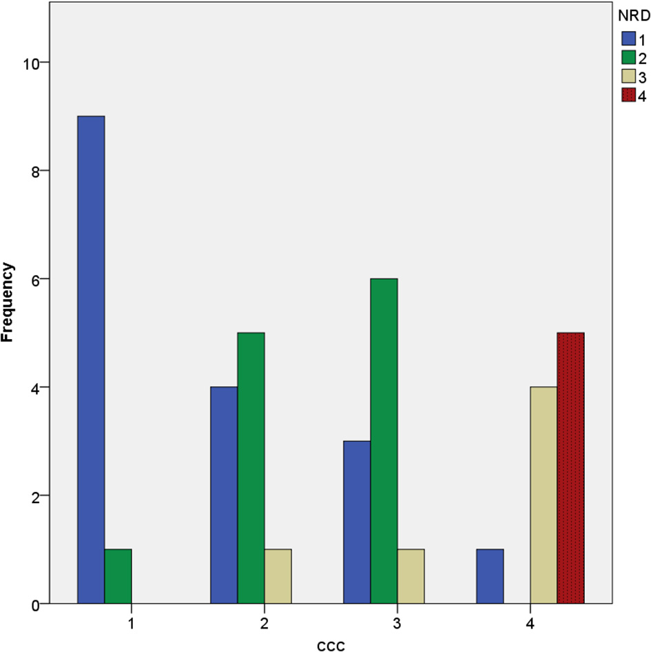
The results of NRD showed that CCC1 had the lowest density of saplings, mostly in NRD1, that is, from 0 to 25 saplings per plot. CCC2 and CCC3 had the highest number of plots with 25–50 saplings per plot (NRD2), and their variability was high. Only CCC4 had plots with several saplings higher than 100 individuals per plot (NRD4). There was a trend toward a higher density of saplings in plots with a higher crown cover (Figure 4). In fact, there were significant differences between the four CCC (KW = 21.22, p < 0.05). Significant differences were found between the two CCC with the lower crown cover and the CCC with the highest crown cover (CCC1/CCC4 U = 5.5, p < 0.05 and CCC2/CCC4 U = 10.00, p < 0.05).
Figure 4

Natural regeneration density (NRD) per crown cover class (CCC).
The NRTC using the transect methodology was not useful in plots with a crown cover of < 30% due to the number of individuals, that is, in some cases, the regeneration individuals were not fully identified using the transect sampling. This sampling design was particularly useful when the number of regeneration individuals per plot was high.
The NRTC enabled further detail on the sapling traits when compared with NRD. Half of the saplings sampled were growing isolated, 41% were in contact with another sapling at one point, 9% were touching at two points, and no saplings were surrounded by other saplings (degree of crown isolation 4). Approximately 44% of the saplings had a height between 0.5 and 1.3 m, while 56% were taller than 1.3 m. Most of the saplings (73%) had a dbh of ≤5 cm, and 27% of the saplings were between 5 and 10 cm.
Furthermore, 33% of the individuals in dbh class 1 were in h class 2, while 3% of individuals in dbh class 2 were in h class 2 (Figure 5). Therefore, there was more variability in h and dbh class 1 than in dbh class 2. Hence, saplings with dbh of < 5 cm had more variability in height growth. Most saplings had one main stem (72%), while shrub shape was present in 22% of the individuals, and low bifurcation was rare, corresponding to 5% of the saplings. When considering saplings of shrub shape, 7% were growing isolated, 12% were growing in contact with one sapling, and 2% were in contact with two saplings (Figure 6). For saplings classified as low bifurcation, 2% were growing isolated, 3% were growing in contact with two saplings, and there were none growing in contact with more than two saplings. In addition, 40% of the saplings classified as trees with one main stem were growing isolated, 25% were in contact with one sapling, and 6% were in contact with two saplings.
Figure 5

Natural regeneration tree classification (NRTC) results are organized by h class according to dbh class results.
Figure 6

Natural regeneration tree classification (NRTC) tree habit results of NR according to crown isolation.
4. Discussion
Overall, the new methodology of the natural regeneration tree classification (NRTC) was easy and fast to apply, similar to classifications used for the main stand (Assmann, 1970; Meadows and Skojac, 2008; Kerr and Haufe, 2011). In cases with low density of NR, the NRTC should be used in all individuals of natural regeneration present in the plots because 95% of the plots with a crown cover of < 30% had < 50 saplings per plot, which corresponded to < 200 saplings ha−1. So, the NRTC in these cases should be used to identify trees that could be recruited for the main stand. In plots with few NR individuals, the sample unit should be all the plot area of. Inversely, in plots with dense NR, to reduce time and costs for a certain pre-set error, transect sampling should be preferred.
The quantification of natural regeneration density enables only the assessment of the number of individuals. The use of the novel natural regeneration classification system enables further details on the traits of regeneration and the need to prescribe silvicultural practices. The strength of the methodology developed is the conjugation of both density and quality sampling of natural regeneration. The evaluation of the density simplified the selection of plots that need artificial regeneration from plots that need silviculture interventions that favor the recruitment of NR already present. The results of the NRTC provided details on future silvicultural practices. The sapling habit allowed for the evaluation of the need for pruning, which is recommended in early stand development stages (Natividade, 1950; Assmann, 1970; Alves et al., 2012), for example, when saplings have low bifurcation or shrub habit, likely due to browsing or climate (e.g., frost and/or drought). In the montado, the pruning of saplings and/or recruited individuals is carried out to shape tree habit (due to the low epinastic control of the oak species) to enhance a better-suited habit to produce fruit and bark (bark only for Quercus suber) or firewood (Natividade, 1950; Alves et al., 2012). The competition was evaluated by the degree of isolation of the saplings. The degree of crown isolation of saplings enables the evaluation of the need to release them and promote their vigor and growth. Thus, it enables the assessment of whether thinning is needed or not. The trees of the overstorey cast strong competition for growing space, especially light, water, and nutrients, to the saplings (Smit et al., 2009; Oliver, 2015; Löf et al., 2019; Petersson et al., 2019; Pommerening and Grabarnik, 2019; Príncipe et al., 2019; Martínez-Baroja et al., 2021). The evaluation of the quality of trees of the overstorey, especially their vigor, growth, and health, will help to decide the best-suited silvicultural practice (Figure 7): the removal of the saplings when the overstorey has not reached the end of the production cycle so that the competition cast by the overstorey trees does not limit sapling growth, or inversely the removal of the overstorey tree due to low vigor and health, or when trees have reached the end of the production cycle (Larsen et al., 1997). In addition, in the Mediterranean, there is a high risk of wildfires in summer, so it is common to remove the understorey vegetation to prevent the accumulation of biomass in forests.
Figure 7

Evaluation of natural regeneration.
In this case study, the natural regeneration methodology was used to study the Quercus ilex natural regeneration in different crown cover degrees. Our results indicate that plots with a crown cover of < 30% showed lower values of established natural regeneration when compared with plots with a higher crown cover. Our results suggested that the density of established regeneration increased as the degree of crown cover increased, and it was more evident when the crown cover was higher than 50%. This result was expected as shading and forest environment promote oak acorn germination and primary development, thus, reinforcing the importance of the overstorey nurse effect (Gea-Izquierdo et al., 2006; Badano et al., 2011; Moreno et al., 2016). We found a tendency toward a higher density of saplings in plots with a higher crown cover (Figure 4). In future, it would be interesting to explore this trend. More data have to be collected using the methodology developed in this article to do a deeper statistical analysis of the different tree traits and NRD and CCC. The higher density of saplings with increasing crown cover can be related to two main factors: seed source and nursing effect. The higher the density of adult trees, the higher the seed amount because the oak fruit is a heavy seed and thus tends to fall near the seed tree. As crown cover increases, the nurse effect or shelter also increases. The presence of adult trees can provide protection against weather events, such as frost and drought (Badano et al., 2011; Príncipe et al., 2019). At the initial stages of development, the oaks are semi-tolerant to shade, thus, shade is a relevant factor for the development of saplings in the Mediterranean climate (Pausas et al., 2009). In addition, shade should be managed in future to ensure that competition between saplings and adult trees does not limit saplings' growth. Additionally, in this case study, sapling density appeared to be higher when the crown cover was also higher, and this tendency was in accordance with other studies that referred the success of natural regeneration increased with the increase of crown cover and thus creating a better-suited microclimate (Espelta et al., 1995; Pulido and Díaz, 2005; Príncipe et al., 2014). The fact that vigorous natural regeneration was found in stands, where grazing occurs frequently is interesting and reinforces the idea that it is possible to manage the montado considering the success of the oak trees' regeneration, recruitment, and extensive periodic grazing. This result conforms to what was stated by Carmona et al. (2013) that oak regeneration can be found in grazed areas but contradicts what was found by Plieninger (2007) that grazing is not compatible with oak regeneration.
According to our results of the NRTC, 85% of the plots, with a crown cover higher than 30%, had good quality saplings suited to be recruited outside of the upper story crown projection. Only 15% of the plots with a crown cover higher than 30% were dominated by Cistus ladanifer and had almost no oak saplings. This result supports that more research is needed on natural regeneration in different types of habitats that foster oak regeneration and recruitment without direct human support (Bobiec et al., 2018).
This case study is an example of the data we can get using the natural regeneration tree classification (NRTC) methodology, and more applications could be tested in future using different oak species. In plots with an NR density of >200 NR individuals ha−1, the natural evaluation methodology using the transect is efficient and enables a fast evaluation of the NR. In future, we suggest that the NRTC is used in all NR individuals in the inventory plot when the NR density is < 200 NR individuals ha−1. The methodology needs further testing, but our results indicate that it can be applied to other forest species in agroforestry systems or other forest systems.
5. Conclusion
Due to long production cycles, an analysis of the regeneration dynamics of tree populations is a hard task but an essential part of the study of forest stand dynamics, whether of holm oak or other species. The natural regeneration tree classification system makes the bridge between the density of natural regeneration and its traits. This enables further details on the potential for the recruitment of individuals with desired traits to the main stand and the need for silvicultural practices, especially pruning and thinning. The methodology developed in this study enables the monitoring of large areas of forests.
The newly developed natural regeneration tree classification system allowed for an efficient evaluation of saplings, essential for the implementation of silviculture practices.
Statements
Data availability statement
The raw data supporting the conclusions of this article will be made available by the authors, without undue reservation.
Author contributions
EG-B and AG contributed to the conception and design of the study and wrote sections of the manuscript. EG-B organized the database, performed the statistical analysis, and wrote the first draft of the manuscript. All authors contributed to manuscript revision, reading, and approved the submitted version.
Funding
This study is funded by the National Funds through FCT—Foundation for Science and Technology under Project UIDB/05183/2020.
Conflict of interest
The authors declare that the research was conducted in the absence of any commercial or financial relationships that could be construed as a potential conflict of interest.
Publisher’s note
All claims expressed in this article are solely those of the authors and do not necessarily represent those of their affiliated organizations, or those of the publisher, the editors and the reviewers. Any product that may be evaluated in this article, or claim that may be made by its manufacturer, is not guaranteed or endorsed by the publisher.
References
1
Aarssen L. W. (1995). Hypotheses for the evolution of apical dominance in plants: implications for the interpretation of overcompensation. Oikos32, 149–156. 10.2307/3545684
2
Acácio V. Dias F. S. Catry F. X. Bugalho M. N. Moreira F. (2021). Canopy cover loss of Mediterranean Oak Woodlands: long-term effects of management and climate. Ecosystems24, 1–17. 10.1007/s10021-021-00617-9
3
Acácio V. Holmgren M. Jansen P. A. Schrotter O. (2007). Multiple recruitment limitation causes arrested succession in Mediterranean cork oak systems. Ecosystems10, 1220–1230. 10.1007/s10021-007-9089-9
4
Alves A. M. Correia A. V. Pereira J. S. (2012). Silvicultura: A Gestão dos Ecossistemas Florestais. Lisboa: Fundação Calouste Gulbenkian, 597.
5
Assmann E. (1970). The Principles of Forest Yield Studies in the Organic Production Structure Increments and Yield of Forest Stands. Amsterdam: Elsevier, 505.
6
Badano E. I. Samour-Nieva O. R. Flores J. (2011). Emulating nurse plants to restore oak forests. Ecol. Eng.37, 1244–1248. 10.1016/j.ecoleng.2011.02.017
7
Barrere J. Petersson L. K. Boulanger V. Collet C. Felton A. M. Löf M. et al . (2021). Canopy openness and exclusion of wild ungulates act synergistically to improve oak natural regeneration. For. Ecol. Manag.487, 118976. 10.1016/j.foreco.2021.118976
8
Bobiec A. Reif A. Öllerer K. (2018). Seeing the oakscape beyond the forest: a landscape approach to the oak regeneration in Europe. Landsc. Ecol.33, 513–528. 10.1007/s10980-018-0619-y
9
Bogdziewicz M. Hacket-Pain A. Kelly D. Thomas P. A. Lageard J. Tanentzap A. J. (2021). Climate warming causes mast seeding to break down by reducing sensitivity to weather cues. Glob. Change Biol.27, 1952–1961. 10.1111/gcb.15560
10
Bolibok L. Andrzejczyk T. Szeligowski H. Liziniewicz M. (2021). New methods of oak planting require modification of tending prescriptions under high browsing pressure: a case study from north-eastern Poland. For. Ecol. Manag. 497, 119449. 10.1016/j.foreco.2021.119449
11
Bonfil C. (1998). The effects of seed size, cotyledon reserves, and herbivory on seedling survival and growth in Quercus rugosa and Q. laurina (Fagaceae). Am. J. Bot.85, 79–87. 10.2307/2446557
12
Borkowski J. Dobrowolska D. Dabrowski W. Banul R. Załuski D. (2017). Young conifer stands form a deer browsing refuge for an oak admixture: silvicultural implications for forest regeneration under herbivore pressure. Eur. J. For. Res.136, 787–800. 10.1007/s10342-017-1070-3
13
Carmona C. P. Azcárate F. M. Oteros-Rozas E. González J. A. Peco B. (2013). Assessing the effects of seasonal grazing on holm oak regeneration: implications for the conservation of Mediterranean dehesas. Biol. Conser.159, 240–247. 10.1016/j.biocon.2012.11.015
14
Chazdon R. L. Guariguata M. R. (2016). Natural regeneration as a tool for large-scale forest restoration in the tropics: prospects and challenges. Biotropica48, 716–730. 10.1111/btp.12381
15
Clark J. S. Andrus R. Aubry-Kientz M. Bergeron Y. Bogdziewicz M. Bragg D. C. et al . (2021). Continent-wide tree fecundity driven by indirect climate effects. Nat. Commun.12, 1242. 10.1038/s41467-020-20836-3
16
Cline M. G. (1997). Concepts and terminology of apical dominance. Am. J. Bot. 84, 1064–1069.
17
Crouzeilles R. Beyer H. L. Monteiro L. M. Feltran-Barbieri R. Pessôa A. C. Barros F. S. et al . (2020). Achieving cost-effective landscape-scale forest restoration through targeted natural regeneration. Conserv. Lett. 13, e12709. 10.1111/conl.12709
18
Dobrowolska D. (2006). Oak natural regeneration and conversion processes in mixed Scots pine stands. Forestry79, 503–513. 10.1093/forestry/cpl034
19
Espelta J. M. Riba M. Javier R. (1995). Patterns of seedling recruitment in West-Mediterranean Quercus ilex forest influenced by canopy development. J. Veg. Sci.6, 465–472. 10.2307/3236344
20
Esquivel M. J. Harvey C. A. Finegan B. Casanoves F. Skarpe C. (2007). Effects of pasture management on the natural regeneration of neotropical trees: pasture management and neotropical tree regeneration. J. Appl. Ecol.45, 371–380. 10.1111/j.1365-2664.2007.01411.x
21
ESRI (2019). ArcGIS Desktop: Release 10. Redlands: Environmental Systems Research Institute.
22
Frasconi W. C. Nunes A. Köbel M. Verble R. Matos P. Boieiro M. et al . (2021). Ant functional structure and diversity changes along a post-grazing succession in Mediterranean oak woodlands. Agrofor. Syst. 95, 1217–1228. 10.1007/s10457-021-00648-0
23
Garcia-Fayos P. Monleon V. J. Espigares T. Nicolau J. M. Bochet E. (2020). Increasing aridity threatens the sexual regeneration of Quercus ilex (holm oak) in Mediterranean ecosystems. PLoS ONE15, e0239755. 10.1371/journal.pone.0239755
24
Gea-Izquierdo G. Cañellas I. Montero G. (2006). Acorn production in Spanish holm oak woodlands. For. Syst.15, 339–354. 10.5424/srf/2006153-00976
25
Gómez J. M. (2003). Spatial patterns in long-distance dispersal of Quercus ilex acorns by jays in a heterogeneous landscape. Ecography26, 573–584. 10.1034/j.1600-0587.2003.03586.x
26
Grossnickle S. (2018). Seedling establishment on a forest restoration site: an ecophysiological perspective. Reforesta6, 110–139. 10.21750/REFOR.6.09.62
27
Harmer R. (1994). Natural regeneration of broadleaved trees in Britain: I. Historical aspects. For. Int. J. For. Res.67, 179–188. 10.1093/forestry/67.3.179-a
28
Harmer R. (2005). Survival and growth of tree seedlings in relation to changes in the ground flora during natural regeneration of an oak shelterwood. Forestry78, 21–32. 10.1093/forestry/cpi003
29
IBM (2016). IBM SPSS statistics for windows (version 21.0). New York, NY: IBM Corp.
30
ICNF (2022). Geocatalogo. Alpharetta: ICNF. Available online at: https://geocatalogo.icnf.pt/catalogo_tema5.html (acessed May 01 2020).
31
IFN5 (2005/2006). Instruções para o trabalho de campo do Inventário Florestal. Direção de Unidade de Gestão Florestal. Lisboa: Instituto da Conservação da Natureza e das Florestas.
32
IUSS Working Group WRB . (2015). World Reference Base for Soil Resources 2014, update 2015. International Soil Classification System for Naming Soils and Creating Legends for Soil Maps. World Soil Resources Reports No. 106. Rome: FAO.
33
Jhelin Corporation (2020). Random Number IN: Best Apps by Jhelin.
34
Jose S. Walter D. Mohan Kumar B. (2019). Ecological considerations in sustainable silvopasture number design and management. Agrofor. Syst. 93, 317–331. 10.1007/s10457-016-0065-2
35
Kerr G. Haufe J. (2011). Thinning Practice: A Silvicultural Guide 54. Edinburgh: Forestry Commission.
36
Kershaw J. A. Ducey M. J. Beers T. W. Husch B. (2016). Forest Mensuration. New York, NY: John Wiley & Sons. 10.1002/9781118902028
37
Kohler M. Pyttel P. Kuehne C. Modrow T. Bauhus J. (2020). On the knowns and unknowns of natural regeneration of silviculturally managed sessile oak (Quercus petraea (Matt.) Liebl.) forests: a literature review. Ann. For. Sci.77, 101. 10.1007/s13595-020-00998-2
38
Larsen D. R. Metzger M. A. Johnson P. S. (1997). Oak regeneration and overstory density in the Missouri Ozarks. Can. J. For. Res. 27, 7. 10.1139/x97-010
39
Lauw A. Gonçalves-Ferreira A. Gomes A. Moreira A. C. Fonseca A. Azul A. et al . (2013). Livro Verde dos Montados. Évora: Instituto de Ciências Agrárias e Ambientais Mediterrânicas. p. 61.
40
Löf M. Barrere J. Engman M. Petersson L. K. Villalobos A. (2021). The influence of fencing on seedling establishment during reforestation of oak stands: a comparison of artificial and natural regeneration techniques including costs. Eur. J. For. Res.140, 807–817. 10.1007/s10342-021-01369-w
41
Löf M. Castro J. Engman M. Leverkus A. B. Madsen P. Reque J. A. et al . (2019). Tamm review: direct seeding to restore oak (Quercus spp.) forests and woodlands. For. Ecol. Manag.448, 474–489. 10.1016/j.foreco.2019.06.032
42
Lohbeck M. Rother D. C. Jakovac C. C. (2021). Enhancing Natural Regeneration to Restore Landscapes. Front. For. Glob. Change.4, 735457. 10.3389/ffgc.2021.735457
43
Long T. J. Jones R. H. (1996). Seedling growth strategies and seed size effects in fourteen oak species native to different soil moisture habitats. Trees11, 1. 10.1007/s004680050051
44
López-Sánchez C. A. Castedo-Dorado F. Cámara-Obregón A. Barrio-Anta M. (2021). Distribution of Eucalyptus globulus Labill. in northern Spain: contemporary cover, suitable habitat and potential expansion under climate change. For. Ecol. Manag. 481, 118723. 10.1016/j.foreco.2020.118723
45
Martínez-Baroja L. Rey-Benayas J. M. Pérez-Camacho L. Villar-Salvador P. (2021). Drivers of oak establishment in Mediterranean old fields from 25-year-old woodland islets planted to assist natural regeneration. Eur. J. For. Res.16, 68–75. 10.1007/s10342-021-01423-7
46
Meadows J. S. Skojac D. A. (2008). A new tree classification system for Southern Hardwoods. South. J. Appl. For. 32, 69–79. 10.1093/sjaf/32.2.69
47
Mendes M. P. Ribeiro L. David T. S. Costa A. (2016). How dependent are cork oak (Quercus suber L.) woodlands on groundwater? A case study in southwestern Portugal. For. Ecol. Manag. 378, 122–130. 10.1016/j.foreco.2016.07.024
48
Møller A. P. De Lope F. (1998). Herbivory affects developmental instability of stone oak, Quercus rotundifolia. Oikos14, 246–252. 10.2307/3546964
49
Monteiro-Henriques T. Fernandes P. (2018). Regeneration of native forest species in Mainland Portugal: identifying main drivers. Forests9, 694. 10.3390/f9110694
50
Moreno G. Gonzalez-Borna G. Pulido F. Lopez-Diaz M. L. Bertomeu M. Juárez E. et al . (2016). Exploring the causes of high biodiversity of Iberian dehesas: the importance of wood pastures and marginal habitats. Agrofor. Syst.90, 87–105. 10.1007/s10457-015-9817-7
51
Natividade J. V. (1950). Subericultura, 2nd ed. Lisboa: Ministério da Agricultura, Pescas e Alimentação. Direção Geral das Florestas.
52
Oliver P. A. T. (2015). Patterns of shrub diversity and tree regeneration across topographic and stand-structural gradients in a Mediterranean forest. For. Syst. 24, 11. 10.5424/fs/2015241-05887
53
Pantera A. Burgess P. J. Mosquera Losada R. Moreno G. López-Díaz M. L. Corroyer N. et al . (2018). Agroforestry for high value tree systems in Europe. Agrofor. Syst. 92, 945–959. 10.1007/s10457-017-0181-7
54
Pausas J. G. Marañón T. Caldeira M. C. Pons J. (2009). “Natural Regeneration”, in Cork Oak Woodlands on the Edge. Ecology, Adaptive Management, and Restoration, eds J. Aronson, J. S. Pereira, and J. G. Pausas (Washington, DC: Island Press). 115–124.
55
Pereira H. M. Domingos T. Vicente L. Proença V. (2009). Ecossistemas e Bem-Estar Humano. Avaliação para Portugal do Millennium Ecosystem Assessment. Lisbon: Escolar Editora, 734.
56
Petersson L. K. Milberg P. Bergstedt J. Dahlgren J. Felton A. M. Götmark F. et al . (2019). Changing land use and increasing abundance of deer cause natural regeneration failure of oaks: six decades of landscape-scale evidence. For. Ecol. Manag.444, 299–307. 10.1016/j.foreco.2019.04.037
57
Pinto-Correia T. Ribeiro N. Sá-Sousa P. (2011). Introducing the montado, the cork and holm oak agroforestry system of Southern Portugal. Agrofor. Syst. 82, 99–104. 10.1007/s10457-011-9388-1
58
Plieninger T. (2007). Compatibility of livestock grazing with stand regeneration in Mediterranean holm oak parklands. J. Nat. Conser.15, 1–9. 10.1016/j.jnc.2005.09.002
59
Pommerening A. Grabarnik P. (2019). Individual-Based Methods in Forest Ecology and Management. Cham: Springer. 10.1007/978-3-030-24528-3
60
Pretzsch H. (2009). Forest Dynamics, Growth, and Yield. Berlin: Springer. 10.1007/978-3-540-88307-4
61
Príncipe A. Matos P. Sarris D. Gaiola G. do Rosário L. Correia O. et al . (2019). In Mediterranean drylands microclimate affects more tree seedlings than adult trees. Ecol. Indicat.106, 105476. 10.1016/j.ecolind.2019.105476
62
Príncipe A. Nunes A. Pinho P. Do Rosário L. Correia O. Branquinho C. (2014). Modeling the long-term natural regeneration potential of woodlands in semi-arid regions to guide restoration efforts. Eur. J. For. Res. 133, 757–767. 10.1007/s10342-014-0787-5
63
Pulido F. J. Díaz M. (2005). Regeneration of a Mediterranean oak: a whole-cycle approach. Ecoscience12, 92–102. 10.2980/i1195-6860-12-1-92.1
64
Schütz J. (1990). Sylviculture 1. Principes d'Éducation des Forêts. Lausanne: Presses Polytechniques et Universitaires Romandes.
65
Smit C. Díaz M. Jansen P. (2009). Establishment limitation of holm oak (Quercus ilex subsp. ballota (Desf.)) in a Mediterranean savanna: forest ecosystem. Ann. For. Sci. 66, 511. 10.1051/forest/2009028
66
Stavi I. Thevs N. Welp M. Zdruli P. (2022). Provisioning ecosystem services related with oak (Quercus) systems: a review of challenges and opportunities. Agrofor. Syst.96, 293–313. 10.1007/s10457-021-00718-3
67
Ward J. S. (1992). Response of woody regeneration to thinning mature upland oak stands in Connecticut, USA. For. Ecol. Manag. 49, 219–231. 10.1016/0378-1127(92)90137-X
68
Zvereva E. L. Zverev V. Kozlov M. V. (2012). Little strokes fell great oaks: minor but chronic herbivory substantially reduces birch growth. Oikos121, 2036–2043. 10.1111/j.1600-0706.2012.20688.x
Summary
Keywords
tree classification system, qualitative criteria, density, tree habit, competition
Citation
Gouveia-Barrocas E and Gonçalves AC (2023) A new methodology to evaluate natural regeneration: A case study of Quercus ilex in the montado in Portugal. Front. For. Glob. Change 6:1123248. doi: 10.3389/ffgc.2023.1123248
Received
13 December 2022
Accepted
27 January 2023
Published
20 February 2023
Volume
6 - 2023
Edited by
Susanna Nocentini, University of Florence, Italy
Reviewed by
Maciej Pach, University of Agriculture in Krakow, Poland; Luigi Portoghesi, University of Tuscia, Italy
Updates
Copyright
© 2023 Gouveia-Barrocas and Gonçalves.
This is an open-access article distributed under the terms of the Creative Commons Attribution License (CC BY). The use, distribution or reproduction in other forums is permitted, provided the original author(s) and the copyright owner(s) are credited and that the original publication in this journal is cited, in accordance with accepted academic practice. No use, distribution or reproduction is permitted which does not comply with these terms.
*Correspondence: Ana Cristina Gonçalves ✉ acag@uevora.pt
This article was submitted to Forest Management, a section of the journal Frontiers in Forests and Global Change
Disclaimer
All claims expressed in this article are solely those of the authors and do not necessarily represent those of their affiliated organizations, or those of the publisher, the editors and the reviewers. Any product that may be evaluated in this article or claim that may be made by its manufacturer is not guaranteed or endorsed by the publisher.