Abstract
Introduction:
Soil carbon and nutrient contents and their stoichiometric characteristics play a vital role in indicating plant growth and element balance, which can be used to indicate nutrient limitation. However, it has been less studied about their driving factors within forest soils at the regional scale in southern China.
Methods:
In this study, soil organic carbon (SOC), total nitrogen (TN), and total phosphorus (TP) were analyzed in the topsoil (0–10 cm) at 345 sampling plots representing different forest types in Guangxi Province.
Results:
The results showed that the mean contents of C, N, and P were 29.80, 2.46, and 0.51 g/kg, respectively, and soil C:N, C:P, and N:P were 13.95, 69.60, and 5.53 respectively. The ratios also showed remarkable correlations with each other. C, N, and P contents and their ratios presented significant differences among different soil and vegetation types. C, N, and P concentrations increased with the increase of elevation and latitude, and decrease with the increase of average annual temperature (MAT). Conversely, C:N showed an opposite trend. C, N, and N:P were also increased with increasing average annual precipitation (MAP). Collectively, soil type, vegetation type, geographical, and climatic factors explained 43.46, 64.02, 68.61, 32.93, 39.64, and 37.87% of the variance in C, N, P, C:N, C:P, and N:P, respectively. For Soil C, both latitude and MAP had strong influences. Soil type was the largest explanation for soil N and P contents. Latitude and longitude were the key factors determining the soil stoichiometric ratios.
Discussion:
Overall, soil type, geographical and climatic factors were the most vital explanation variables for soil nutrients and their stoichiometric ratios. These results could help improve our understanding of soil stoichiometry within forest ecosystems in southern China.
1. Introduction
Ecological stoichiometry is a discipline that studies the balance relationship between carbon (C) and other elements such as N, P in soil, and how this balance affects soil properties and ecosystem functioning (Elser et al., 2000; Cao et al., 2020). This provides a valuable insight for us to deeply understand the nutrients cycle, limiting elements, and structure and functions of the ecosystem (Zhou et al., 2018; Jiang and Guo, 2019; Cao et al., 2020; Dong et al., 2020; Tao et al., 2020; Yu and Chi, 2020; Crovo et al., 2021; Wang et al., 2022). C, N, and P are the three basic biogenic elements needed by organisms in the ecosystem (Sardans et al., 2012; Tong et al., 2021). C is an energy source, and N, P are considered the most important limiting elements for vegetation in terrestrial ecosystems (Berg and McClaugherty, 2003; Manzoni et al., 2010), all of which are of great significance in maintaining the structure, function, and stability of the ecosystem (Güsewell, 2010; Jiang and Guo, 2019; Wang et al., 2022). The stoichiometry characteristics of soil C, N, and P in terrestrial ecosystems, have been studied extensively to provide a powerful tool to decipher their coupling mechanisms and improve our understanding of plant growth, nutrient cycling, and nutrient limitations to forest productivity (Aponte et al., 2010; Kirkby et al., 2011; Ågren et al., 2012; Ostrowska and Porêbska, 2015; Hui et al., 2021). Therefore, quantifying the stoichiometric characteristics of soil carbon and nutrient as well as disentangling their drivers in forest ecosystems is of high importance.
Since the Redfield ratio was put forward, many studies have measured ecological stoichiometric ratios and have determined the limiting elements and nutrient cycles in different terrestrial ecosystems (Dong et al., 2020; Yu and Chi, 2020). Quantities of research has been implemented to investigate the stoichiometric characteristics of soil carbon and nutrients on various scales, including community level, landscape level, global and regional level (Thompson et al., 2010; Wright et al., 2010; Shi et al., 2016; Feng et al., 2017; Jiang and Guo, 2019; Hui et al., 2021; Wang et al., 2022). For instance, related studies have shown that the global mean molar C:N:P ratio was 212:15:1 in the upper 10 cm of surface soil (Cleveland and Liptzin, 2007), while at the national scale in China the ratio was 134:9:1 (Tian et al., 2010). It has also been shown the C:N ratio in soil and litter has long been regarded as a pivotal metric for evaluating the quality of organic matter (Bui and Henderson, 2013). For example, C:N ratios have been shown to be high in peats but low in subsoils (Bui and Henderson, 2013). The soil C:P ratio could also reflect the nature of organic matter and its decomposition rate (Bui and Henderson, 2013). The ratio of N:P in foliage and soil can diagnose nutrient limitation in ecosystems (Hui et al., 2021).
Soil C and N are mainly derived from litter input, resulting in a highly restrictive relationship between them (Yang and Luo, 2011; Zhang et al., 2019). However, the formation of phosphorus in soil is mainly related to the parent material and bedrock minerals. Consequently, there is usually a tight coupling relationship between SOC and TN, which is not common between SOC and TN as well as between TN and TP (Tong et al., 2023). Older studies also have reported that the coupling relationship between C and nutrients occurred in karst forest soil during forest restoration (Yu and Chi, 2020; Lu et al., 2022). Moreover, it is remained to be further studied on whether the changes of vegetation types and soil parent materials will affect the coupling relationship between C and nutrients at the regional or larger scale (Tong et al., 2023).
The variation of geographical and climatic factors would cause the change of water and temperature, and the change of water and heat will regulate the growth of vegetation, which directly or indirectly affect the stoichiometric characteristics of soil C, N, and P (Zhou et al., 2018; Zhang et al., 2019; Wang et al., 2020; Boudjabi and Chenchouni, 2022). Due to complex environmental conditions (e.g., vegetation, topography, parent material, climate, geography disturbance, etc.), terrestrial ecosystems exhibit high spatial heterogeneity in terms of soil elemental distribution and their ratios (Yang and Luo, 2011; Bing et al., 2016; Cao et al., 2018; Dong et al., 2020; Sheng et al., 2022). Aponte et al. (2010) concluded that in Mediterranean forests, the stoichiometry of C, N, and P in the soils was primarily influenced by factors such as season, vegetation type, and soil depth. Bing et al. (2016) found that changes in vegetation type and altitude resulted in different C:N ratios in the soil of alpine ecosystems. Yang and Luo (2011) indicated that coniferous forests exhibited higher C:N ratios than broadleaf forests, while temperate forests had greater C:N ratios compared to tropical forests. Dong et al. (2020) suggested that the soil stoichiometry of C, N, and P was mainly driven by the soil properties and litter contents in the Tamarix cones of the Taklimakan Desert. Cao et al. (2018) pointed out that C, N contents and C:N:P were positively related to precipitation and negatively related to temperature. In addition, C and N were influenced by longitude, whereas P, C:P and N:P were influenced by latitude (Hui et al., 2021). Feng et al. (2017) reported that elevation and latitude had the strongest influences on soil C:N and N:P in subalpine forests.
Forests are a vital part of the terrestrial ecosystems and account for about 31.13% of the land area. Chinese forests account for 5.42% of the total forest area globally (FAO, 2020). Guangxi Province is a major province of forest resources in China, with 60.17% forest coverage exhibiting rich vegetation forms, various topographic types, and diverse climate conditions. Some previous researches about soil C:N:P stoichiometry in this region have mainly concentrated on land uses types or single vegetation types (e.g., Teak, Eucalyptus, Pinus massoniana, etc.) (Lei et al., 2017; Zhang et al., 2020; Peng et al., 2021). However, very little research has addressed soil C:N:P stoichiometry and the influence of environment factors at a regional scale.
In the current study, we conducted a field survey of forest soils at a regional scale in Guangxi Province. We hypothesized that the C, N, and P stoichiometric characteristics in Guangxi forest soils were spatially heterogeneous. The main purpose of this research were: (1) to verify the difference in stoichiometric ratios of C, N, and P in forest soils with different vegetation and soil types and (2) to reveal the possible influencing factor of the soil C, N, and P stoichiometric in this region. Our research results will be beneficial for the understanding of the mechanisms which maintain forest ecosystems, and will help in forest management.
2. Materials and methods
2.1. Study area
This research was carried on in Guangxi Zhuang Autonomous Region of southwest China, with a geographic range from 20.90° to 26.40° N in latitude, 104.43° to 112.07° E in longitude, and 24.22 m to 1,449 m elevation. The climate is warm, and belongs to the subtropical monsoon climate. The annual average temperature is in the range 16.5–23.1°C, and the annual rainfall is in the range 1,080–2,760 mm. In this region, the highest extreme temperature range is 33.7–42.5°C while the extreme minimum temperature range is 8.4–2.9°C (Du et al., 2019). According to the 2015 forestry resource inventory data, the forest coverage rate of Guangxi is 60.17%, which is one of the largest forest areas in China. The main vegetation types are evergreen broadleaf forest (EBF), deciduous broadleaf forest (DBF), mixed evergreen and deciduous broadleaf forest (EDBF), warm coniferous forest (WCF), and bamboo forest (BF). Soil types are defined as yellow soil, red soil, lateritic red soil, and limestone soil according to Chinese soil taxonomic classification.
2.2. Sampling and data collection
A total of 115 sample sites were chosen across the predominant vegetation types, ground on the Guangxi Province forest inventory (Figure 1). These sites were classified as five distinct types: 24 sites for EBF, 7 sites for DBF, 39 sites for EDBF, 39 sites for WCF, and 6 sites for BF. Three duplicate plots (50 m × 20 m) at a minimum distance of 200 m away were established at each sampling point. Using a GPS to record the geographic information (elevation, longitude, and latitude) for each plot. The DBH (1.3 m above the forest floor), height, and species name of all individual woody plants with a DBH ≥ 1 cm in each plot were recorded. At each sampling plot, ten soil cores of 0–10 cm were randomly obtained using a 5 cm diameter soil drill after removing the surface vegetation litter. All samples from one plot were pooled into a single sample. These samples were air-dried and sieved after removing stones, roots, and visible plant residue.
FIGURE 1

Sampling sites arrangement diagram of study area.
The SOC contents were measured through oxidation with heating in an oil bath using potassium dichromate (K2Cr2O7). The automatic Kjeldahl nitrogen analyzer was utilized for measuring the TN, and the determination of TP involved a Mo-Sb colorimetric assay following HClO4-H2SO4 digestion (Bao, 2000). The average annual temperature (MAT) and average annual precipitation (MAP) were obtained from the WorldClimate website1 based on the longitude and latitude of each location.
2.3. Data analysis
One-sample Kolmogorov–Smirnov test was used to examine the normal distributions of C, N, P concentrations and stoichiometric ratios in soil. The relationships between these parameters were tested by the Pearson’s correlation analysis. All comparisons in soil concentrations of C, N, and P and their ratios among five vegetation types and four soil types were performed using One-way analysis of variance (ANOVA), followed by a least significant difference (LSD) post-hoc test of significance. The non-parametric Kruskal–Wallis test was used to examine the significance when sample data showed unequal variance. The relationships between the location factor (elevation, longitude, and latitude), climatic factors (MAP and MAT), and soil C:N:P stoichiometry were determined using regression analysis. Random forest analysis was applied to quantify the relative importance of geographical and climatic factors to soil C:N:P stoichiometry. We used the machine learning technique “random forests,” which is an ensemble regression tree approach (Breiman, 2001; Hapfelmeier et al., 2014), using the “randomForest” package in R (version 4.1.2, R Core Team, 2021).
3. Results
3.1. Soil C, N, and P concentrations, stoichiometric characteristics, and their relationships
The average C, N, and P contents for all soils were 29.80, 2.46, 0.51 g kg–1, respectively. The average stoichiometric ratios were 13.95 for C:N, 69.60 for C:P, and 5.53 for N:P. The variation coefficients of soil C, N, and P were 48.10, 53.65, and 61.22%, respectively. The variation coefficients of soil C:N, C:P, and N:P were in the range 49.46–50.40% (Table 1). Across all sites, the contents of C, N, and P was positively correlated (Figure 2). Soil C:N appeared a negative correlation with N and P, and appeared a positive correlation with C concentrations. Soil C:P exhibited a stronger significant correlation with soil P contents than with C contents, but exhibited no significant correlation with soil N contents. Soil N:P displayed a stronger significant correlation with soil P contents than with N contents but displayed no significant relationship with soil C contents.
TABLE 1
| Stoichiometry | Range | Mean ± SE | CV (%) |
| C | 4.36∼75.23 g/kg | 29.80 ± 0.78 | 48.10 |
| N | 0.27∼6.70 g/kg | 2.46 ± 0.07 | 53.62 |
| P | 0.1∼1.82 g/kg | 0.51 ± 0.02 | 61.22 |
| C:N | 2.33∼50.11 | 13.95 ± 0.38 | 50.40 |
| C:P | 11.13∼195.59 | 69.60 ± 1.87 | 49.46 |
| N:P | 1.17∼17.10 | 5.53 ± 0.15 | 50.15 |
Descriptive statistic of soil C, N, and P stoichiometry in forest on Guangxi Province.
SE, standard error; CV, coefficient of variance.
FIGURE 2

Correlation coefficients of soil C, N, and P stoichiometry. ***Means P < 0.001, **means P < 0.05.
3.2. Soil C, N, and P concentrations and stoichiometric characteristics among soil and vegetation types
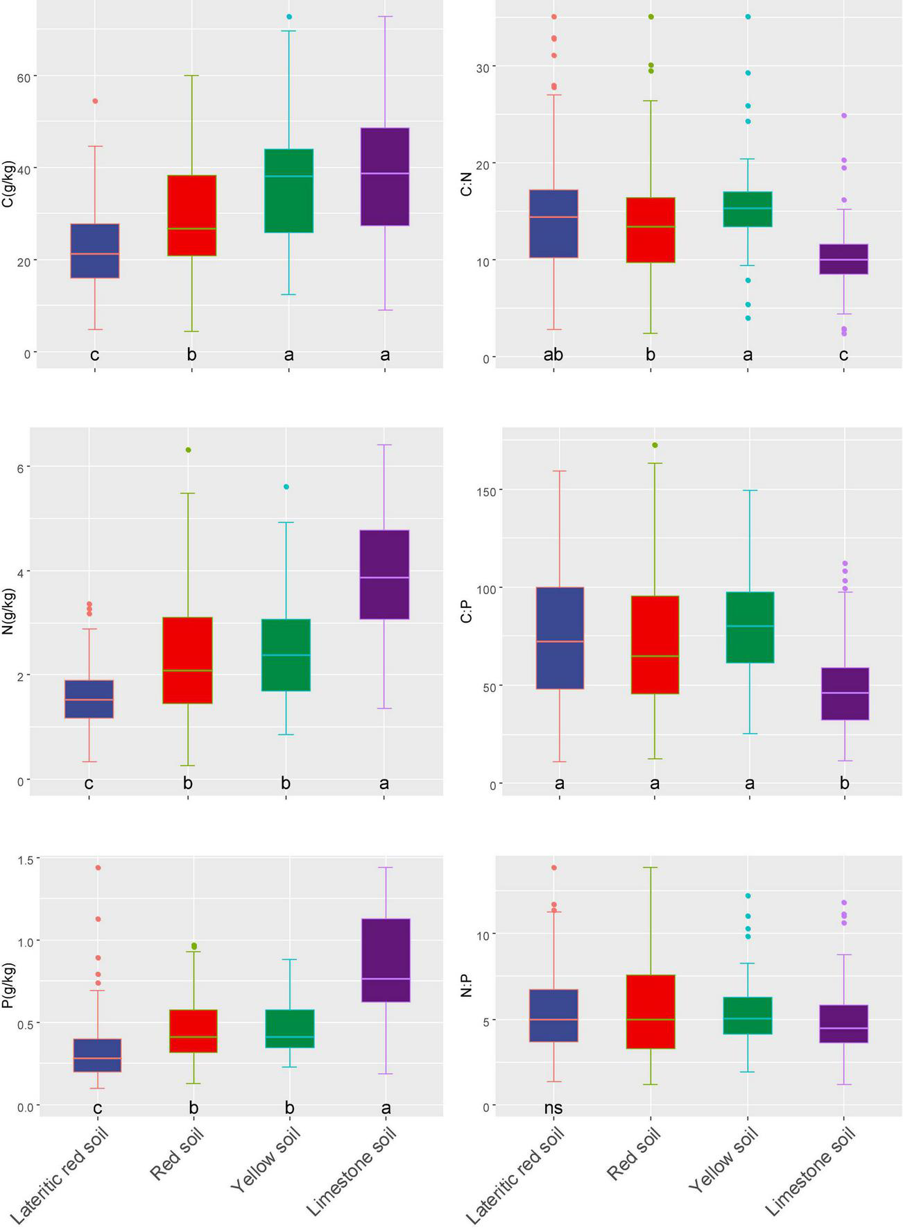
For different soil types, the sequence of C, N, and P contents was limestone soil > yellow soil > red soil > lateritic red soil (Figure 3). The ANOVA results identified that differences were not statistically significant in soil C contents among limestone soil and yellow soil, nor in the relationships with N and P contents among yellow soil and red soil. C, N, and P concentrations showed significant differences across other soil types. In terms of stoichiometric characteristics, limestone soil C:N and N:P ratios were significantly lower than the other soil types. Yellow soil C:N ratios were significantly higher than those of red soil. Other stoichiometric ratios were observed no significant differences among soil types.
FIGURE 3

The soil C, N, and P stoichiometric properties respectively under different soil types of the main forests in Guangxi.
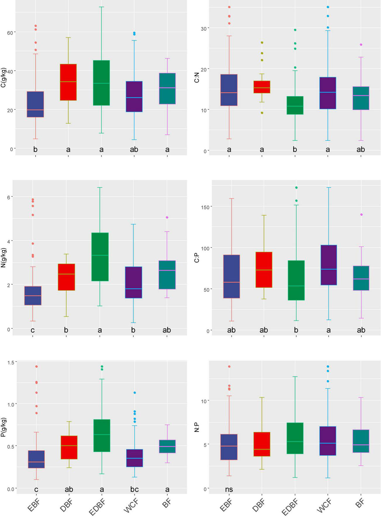
Forest types showed significant influences on soil C, N, P, C:N, and N:P ratios (Figure 4). The EDBF had the highest soil C, N, and P contents, whereas EBF had the lowest soil C and N contents. The lowest P content was in WCF. The content of C in EBF was observed to exhibit significantly lower than that in DBF, EDBF, and BF. Compared to other forest types, the N concentrations in EBF were significantly lower. The content of N in EDBF was observed to exhibit significantly higher than that in DBF and WCF. P concentrations were significantly higher in EDBF and BF than in EBF and WCF. The C:N ratios were significantly lower in EDBF than in EBF, DBF, and WCF. The C:P ratios were significantly lower in EDBF than in WCF.
FIGURE 4

The soil C, N, and P stoichiometric properties respectively under different vegetation of the main forests in Guangxi. EBF, DBF, EDBF, WCF, BF represent evergreen broadleaf forest, deciduous broadleaf forest, mixed evergreen and deciduous broadleaf forest, warm coniferous forest, and bamboo forest. Different lower letters indicate significant differences in soil C, N, and P and their stoichiometric properties among the five forest types.
3.3. Relationships between soil C, N, and P concentrations and stoichiometric characteristics with geographical and climatic factors
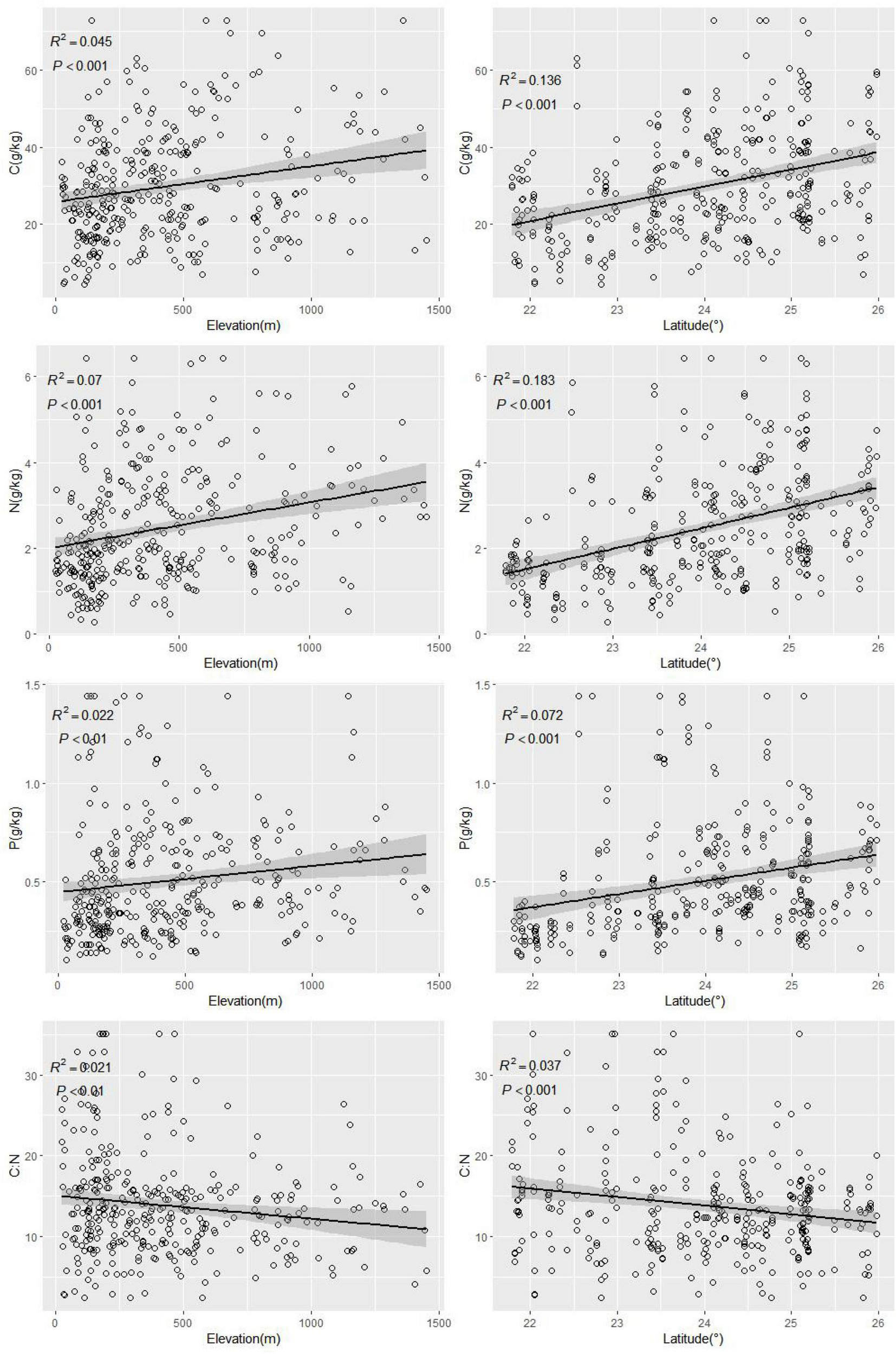
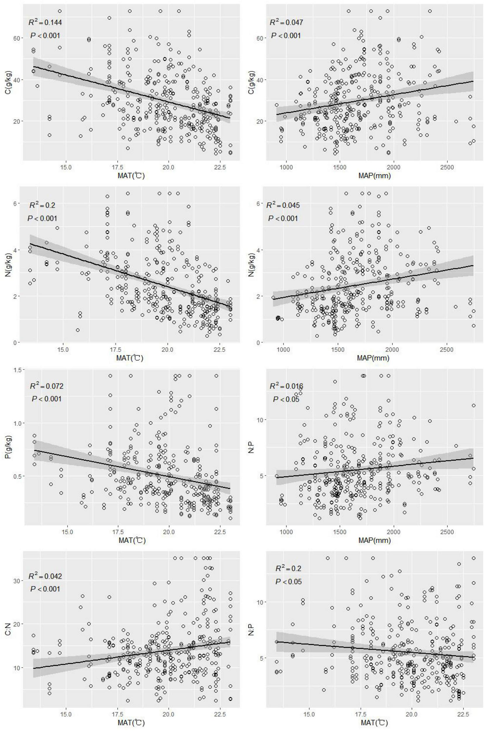
Linear regression showed that soil C, N, and P concentrations increased with increasing elevation and latitude, while soil C:N ratios decreased with increasing elevation and latitude (Figure 5). There is no significant relationship between other soil stoichiometric properties and geographical factors. Soil C, N, and P contents and N:P ratios decreased, while C:P ratios increased, with increasing MAT (Figure 6). Soil C, N, and P contents and N:P ratios increased with increasing MAP. No significant relationship was observed between other soil stoichiometric properties and climatic factors.
FIGURE 5

Significant relationships between soil C, N, P, C:N and elevation, latitude.
FIGURE 6

Significant relationships between soil C, N, P, C:N, N:P and MAT, MAP.
3.4. Factors contributing to soil C, N, and P concentrations and stoichiometric characteristics
The best-fit random forest models explained 43.46, 64.02, 68.61, 32.93, 39.64, and 37.87% of the variation in C, N, and P contents and their stoichiometric characteristics, respectively (Figure 7). For soil C, both latitude and MAP had strong influences. Soil type was the largest explanation for soil N and P contents. Latitude and longitude were the key factors determining the soil stoichiometric ratios. Overall, soil types, latitude, longitude, MAP, and MAT were the most important drivers of soil C, N, and P contents and their stoichiometric characteristics in Guangxi forest.
FIGURE 7

Importance (the relative increase in mean square error, %IncMSE) of variables contributing to soil C, N, P concentrations and their ratios in Guangxi forests.
4. Discussion
The contents of soil C, N, and P and their stoichiometric characteristics play a crucial role in indicating the soil organic matter quality, and nutrient cycling (Cleveland and Liptzin, 2007; Bui and Henderson, 2013; Feng et al., 2017; Yang et al., 2018; Tao et al., 2020). In the present study, soil C, N, and P contents were determined from 115 forest plots in the subtropical/tropical area of China. Our results showed that the average soil C (29.80 g/kg) and N (2.46 g/kg) content were slightly higher than both global and Chinese averages (Cleveland and Liptzin, 2007; Tian et al., 2010). Cleveland and Liptzin (2007) showed that the global average soil C and N concentrations are 25.71 and 2.1 g/kg, respectively. Tian et al. (2010) documented mean soil C and N concentrations in China’ s surface soil (0–10 cm) at 24.56 and 1.88 g/kg, respectively. However, average C (57.22 g/kg) and N (4.07 g/kg) concentrations were found to be higher in the 0–30 cm soil depth at the global scale (Xu et al., 2013). Xu et al. (2013) also showed that average soil C and N concentrations were 28.28 and 2.22 g/kg, respectively, in tropical/subtropical forests: values which are close to those observed in our study. The soil P concentration (0.51 g/kg) observed by Xu et al. (2013) was lower than China’s average (0.78 g/kg), but consistent with the global mean value (0.52 g/kg) (Tian et al., 2010; Xu et al., 2013).
C:N is a useful and sensitive indicator of organic matter decomposition in soils (Tian et al., 2010; Tao et al., 2020). The C:P is commonly used as an indicator of the mineralization capacity of organic phosphorus in soil. A lower C:P ratio generally suggests a higher availability of phosphorus in the soil (Tao et al., 2020; Yu and Chi, 2020). Our results show that the ratios of C:N and C:P, were 13.95 and 69.60, respectively. Cleveland and Liptzin (2007) demonstrated that C:N and C:P were 12.26 and 81.95 for most surface soils across a wide range of global forests. Xu et al. (2013) founded that the average C:N and C:P ratio values were 14.01 and 111.18, respectively, using a global dataset of 3,422 measurements. For tropical/subtropical forests only, the values were 12.76 and 73.00, respectively (Xu et al., 2013). For Chinese 0–10 cm depth soil, Tian et al. (2010) indicated that the ratios of C:N and C:P were 12.34 and 52.65, respectively while Hui et al. (2021) reported ratios of 16.28 and 79.73 in tropical forests. These C:N values are similar to those reported here. The greater differences in C:P ratio values between our study and the above studies are due to the different stoichiometric ratios at large spatial scales in diverse ecosystems. However, in this study, using total P instead of organic P causes a bias is that it is the stoichiometry of soil organic matter that relates to microbial mineralization of organic P and to stoichiometry of microbial biomass. Thus, total P includes inorganic P—and most of it in mineral and thus not directly plant available form—which has nothing to do neither with soil organic matter stoichiometry nor microbial biomass stoichiometry. Since mineralizable organic P is part of P that can replenish the pool of plant available P–only phosphate or its protonated forms may directly be taken up by plants. By measuring total phosphorus instead of organophosphorus, researchers may overestimate the amount of plant-available phosphorus in the soil, as not all TP is readily available for plant uptake (Turner and Haygarth, 2001). This could lead to incorrect conclusions about the limiting nutrient in a given ecosystem and may lead to inappropriate management strategies, such as overuse of phosphorus fertilizers.
Both N and P are vital elements for plant growth and development (Zhong et al., 2015). The N:P ratio is used to evaluate the threshold of nutrient limitation (Penuelas et al., 2012; Tao et al., 2020; Yu and Chi, 2020). The average N:P value in this study was 5.53, which is consistent with those of Xu et al. (2013) and Hui et al. (2021), who presented soil N:P values of 5.72 and 5.41 in tropical/subtropical forest at global scale and in tropical forests on Hainan Island, respectively. However, our result was lower than the average (6.59) for global surface soils, and higher than the average (4.2) for China’s topsoil (Cleveland and Liptzin, 2007; Tian et al., 2010).
Soil C and N are mainly derived from plant litter decomposition above and below ground, and soil P is dependent on rock weathering. Consistent results report that soil C and N have higher coefficients of correlation than those among other elements (Jiang and Guo, 2019; Yu et al., 2019; Tao et al., 2020; Wang et al., 2022), and similar coefficients of correlation to those of the relationship between C and P. These results are corresponding with Tao et al. (2020) and Wang et al. (2022), who reported positive correlations. A non-significant relationship between C and P has also been observed in some earlier research (Qiao et al., 2018). In our study, the correlation coefficient was lower between C:N and C than that between C:N and N, which indicates that soil C:N is primarily influenced by soil N. In addition, soil C:P is governed by P rather than C, as shown by the higher correlation coefficient of P compared with C. Meanwhile, soil N:P is also controlled by soil P. However, these results are not consistent with Tao et al. (2020), who demonstrated that soil C:N and C:P were primarily influenced by soil C, whereas N:P was controlled by soil N. These different results might be due to divergent geographical locations, land use, and vegetation types (Zhou et al., 2015).
As a result of differences in soil parent materials, the soil C, N, and P contents and their stoichiometric characteristics exhibit a clear differences across the four soil types (Li et al., 2012). In addition, climate and vegetation are two important factors that influence soil types. Climate influences soil formation by influencing weathering processes, erosion rates, and soil moisture content, while vegetation influences soil characteristics by influencing organic matter input, nutrient cycling, and soil structure. Our results demonstrate soil type was the crucial driving factor for soil N and P concentrations (Figure 6). In the present study, the N and P contents in azonal limestone soil exceeded significantly those in zonal soil. This may reflect the high Ca contents in limestone soil, which strongly binds C (Li et al., 2017). C, N, and P concentrations also displayed significant relationships. Meanwhile, the lowest C:N and C:P ratios occurred in limestone soil compared to other soil types. Thus, soil type strongly influenced the stoichiometric ratios. Low C:N ratios are linked to strong microbial decomposition and rapid mineralization, perhaps due to constrained resources in limestone soil areas (Yu and Chi, 2020). Lateritic red soil had the highest leaching effect among these ferrallitic soils, leading to large nutrient loss. Thus, soil C, N, and P contents in lateritic red soil were significantly lower than those in other soil types.
Plants govern soil nutrient concentrations and their stoichiometry ratios through nutrient absorption, litterfall inputs, and root exudates (Bui and Henderson, 2013; Bing et al., 2016; Jiang and Guo, 2019; Liao et al., 2022; Wang et al., 2022). Thus, different vegetation forms could modify the soil nutrient composition. The EBF in our study displayed lower soil C, N, and P contents, as a result of low litter production and quality relative to other vegetation communities. Moreover, deciduous trees can provide richer litterfall for microbial decomposition (Bing et al., 2016). The mean concentrations of leaf N and P were shown to be lower in EBF than in DBF (Tang et al., 2018). We also found that the EBDF in karst regions had the highest N concentrations, consistent with the results of Yu and Chi (2020). However, the C:N ratios were lower than those of other broadleaf forests.
Many previous studies have indicated that soil stoichiometries were influenced by geographic location parameters, such as altitude and latitude (He et al., 2016; Jiang and Guo, 2019; Hui et al., 2021; Sheng et al., 2022). In this study, latitude and longitude were the most important determinants of soil stoichiometry. The concentrations of C, N and P in soil were positively correlated with altitude and latitude (Figures 5, 6). This result conformed to the finding from the old study that soil C and N contents showed a significant linear increases with elevation (He et al., 2016). Similarly, Lu et al. (2017) observed that soil N and P contents significantly increased with the increasing elevation in the evergreen broad-leaved forest of China. Hui et al. (2021) also found that soil P increased with latitude. This is mainly because the decrease in temperature with increasing altitude would inhibit soil microbial activity, which will weaken the mineralization of organic carbon and ammonia, and eventually lead to the increase of soil nutrients (Han et al., 2023). We observed the soil C:N ratios exhibited a significant negative correlation with elevation and latitude. Jiang and Guo (2019) observed a similar trend whereby soil C:N ratios decreased with increasing elevation. This pattern may reflect the slow decomposition rate of organic matter at high altitude, because of low temperatures (Zhai et al., 2019), but could also due to differences in soil type at different elevations. However, other related studies have demonstrated that soil C:N values increased linearly with elevation in tropical forests (He et al., 2016; Hui et al., 2021; Han et al., 2023). Sheng et al. (2022) also founded that soil C:N was positively correlated with elevation in paddy soils. For latitude, consistent results suggested that the lowest soil C:N values were found at higher latitude (Feng et al., 2017; Tong et al., 2023). However, Fang et al. (2019) found that there was no significant correlation between soil C:N and latitude in the Loess Plateau, which is inconsistent with our findings. The weak correlation between C:N ratios and latitude may be due to the fact that the trend of soil N with latitude is roughly similar to the trend of soil C with dimensionality (Tian et al., 2010; Fang et al., 2019).
Climatic factors such as MAT and MAP play a vital part in soil development, and thus affecting element cycling and nutrient availability (Bing et al., 2016; Zhang et al., 2017; Jiang and Guo, 2019; Dong et al., 2020). In this study, we discovered that the C, N, P contents and N:P values were significantly negatively correlated with MAT, while C:N values was significantly positively correlated with MAT. The positive relationships between soil C:N ratios and MAT, indicating that soil N decreases faster than soil C with increasing temperature. The C and N concentrations and N:P values exhibited a positive correlation with MAP. Several studies support our findings. Zhang et al. (2017) found that soil N and P concentrations exhibited a negative correlation with MAT, and that soil N concentrations and N:P values were positively correlated with MAP in the desert environment. These results may be attributable to higher plant productivity and organic matter production in higher precipitation regions (Bing et al., 2016; Shi et al., 2016). Since there is a strong correlation between soil C and N, nitrogen concentration could also be associated with soil C. Under variations of temperature, soil P concentration displayed a lower slope than soil N concentration (Figure 5), thus the relationship between N:P and MAT was dependent on the relationship between N and MAT. Some previous results which disagree with these findings exhibited that temperature was negatively related to soil C:N values in cold Nordic forests (Callesen et al., 2007). Jiang and Guo (2019) found that soil C and N concentrations and N:P values showed a significant positive correlation with MAT in farmland. Zhang et al. (2017) also observed a positive correlation between N:P and MAT. This difference may be attributed to variations in temperature range or indirectly to variations in vegetation type.
5. Conclusion
This study detected the concentrations and ratios of C, N and P in surface soils within different soil and vegetation types along environmental gradients in southern China. Forest soil had relatively high concentrations of C, N, and P in this region. Contents and stoichiometric characteristics differed among soil types and vegetation types. The highest soil C, N, and P concentrations and the lowest C:N and C:P ratios were observed in limestone soil. The C, N, and P concentrations in EDBF were significantly higher than in EBF, and the C:N and C:P ratios in EDBF was significantly lower than that in WCF. However, the N:P values of different soil and vegetation types were not significantly different. Additionally, elevation, latitude, MAT, and MAP showed strong correlations with some elemental concentrations and ratios. For Soil C, both latitude and MAP had strong influences. Soil type contributed the most explanation of soil N and P. Latitude and longitude were the key factors determining the soil stoichiometric ratios. Collectively, soil types, vegetation types, geographical, and climatic factors played important roles in soil C, N, and P contents and their ratios. This research improves our understanding of nutrient patterns and the dominant factors affecting elemental stoichiometry in the study region, which would be beneficial for optimizing future forest management. In addition, the study of biotic and abiotic factors affecting soil C:N:P dynamics and distribution is helpful to predict the response of soil C:N:P dynamics to human disturbance and global climate change.
Statements
Data availability statement
The raw data supporting the conclusions of this article will be made available by the authors, without undue reservation.
Author contributions
ML: writing—original draft, conceptualization, and methodology. FZ: methodology, conceptualization, funding acquisition, and writing—review and editing. SL: data curation. HZ, ZZ, WP, and TS: investigation. KW: conceptualization and funding acquisition. HD: software, investigation, writing—original draft, and funding acquisition. All authors contributed to the article and approved the submitted version.
Funding
This study was supported by National Key Research and Development Program of China (2022YFF1300703), National Natural Science Foundation of China (42071073, 32071846, and 42277245), Youth Innovation Promotion Association of the Chinese Academy of Sciences (2021366), and Hechi Distinguished Expert Program to FZ.
Conflict of interest
The authors declare that the research was conducted in the absence of any commercial or financial relationships that could be construed as a potential conflict of interest.
Publisher’s note
All claims expressed in this article are solely those of the authors and do not necessarily represent those of their affiliated organizations, or those of the publisher, the editors and the reviewers. Any product that may be evaluated in this article, or claim that may be made by its manufacturer, is not guaranteed or endorsed by the publisher.
Footnotes
References
1
Ågren G. I. Wetterstedt J. ÅM. Billberger M. F. K. (2012). Nutrient limitation on terrestrial plant growth—modeling the interaction between nitrogen and phosphorus.New Phytol.194953–960. 10.1111/j.1469-8137.2012.04116.x
2
Aponte C. Marañón T. García L. (2010). Microbial C, N, and P in soils of mediterranean oak forests: influence of season, canopy cover and soil depth.Biogeochemistry10177–92. 10.1007/s10533-010-9418-5
3
Bao S. (2000). Soil and Agricultural Chemistry Analysis.Beijing: China Agriculture Press.
4
Berg B. McClaugherty C. A. (2003). Plant Litter: Decomposition. Humus Formation. Carbon Sequestration.Berlin: Springer. 10.1007/978-3-662-05349-2
5
Bing H. J. Wu Y. H. Zhou J. Sun H. Y. Luo J. Wang J. P. et al (2016). Stoichiometric variation of carbon, nitrogen, and phosphorus in soils and its implication for nutrient limitation in alpine ecosystem of Eastern Tibetan Plateau.J. Soils Sediments16405–416. 10.1007/s11368-015-1200-9
6
Boudjabi S. Chenchouni H. (2022). Soil fertility indicators and soil stoichiometry in semi-arid steppe rangelands. Catena210:105910. 10.1016/j.catena.2021.105910
7
Breiman L. (2001). Random forests.Mach. Learn.455–32. 10.1023/A:1010933404324
8
Bui E. N. Henderson B. L. (2013). C:N:P stoichiometry in Australian soils with respect to vegetation and environmental factors.Plant Soil373553–568. 10.1007/s11104-013-1823-9
9
Callesen I. Raulund-Rasmussen K. Westman C. J. Tau-Strand L. (2007). Nitrogen pools and C:N ratios in well-drained Nordic forest soils related to climate and soil texture.Boreal Environ. Res.12681–692.
10
Cao Y. Li Y. N. Zhang G. Q. Zhang J. Chen M. (2020). Fine root C:N:P stoichiometry and its driving factors across forest ecosystems in northwestern China.Sci. Total Environ.737:140299. 10.1016/j.scitotenv.2020.140299
11
Cao Y. Zhang P. Chen Y. M. (2018). Soil C:N:P stoichiometry in plantations of N-fixing black locust and indigenous pine, and secondary oak forests in Northwest China.J. Soils Sediments181478–1489. 10.1007/s11368-017-1884-0
12
Cleveland C. C. Liptzin D. (2007). C:N:P stoichiometry in soil: is there a “Redfield ratio” for the microbial biomass?Biogeochemistry85235–252. 10.1007/s10533-007-9132-0
13
Crovo O. Aburto F. Albornoz M. F. Southard R. (2021). Soil type modulates the response of C, N, P stocks and stoichiometry after native forest substitution by exotic plantations.Catena197:104997. 10.1016/j.catena.2020.104997
14
Dong Z. W. Li C. J. Li S. Y. Lei J. Q. Zhao Y. Umut H. (2020). Stoichiometric features of C, N, and P in soil and litter of Tamarix cones and their relationship with environmental factors in the Taklimakan Desert, China.J. Soils Sediments20690–704. 10.1007/s11368-019-02481-6
15
Du H. Liu L. Su L. Zeng F. P. Wang K. L. Peng W. X. et al (2019). Seasonal changes and vertical distribution of fine root biomass during vegetation restoration in a Karst Area, Southwest China.Front. Plant Sci.9:2001. 10.3389/fpls.2018.02001
16
Elser J. J. Sterner R. W. Gorokhova E. Fagan W. F. Markow T. A. Cotner J. B. et al (2000). Biological stoichiometry from genes to ecosystems.Ecol. Lett.3540–550. 10.1046/j.1461-0248.2000.00185.x
17
Fang Z. Li D. D. Jiao F. Yao J. Du H. T. (2019). The latitudinal patterns of leaf and soil C:N:P stoichiometry in the loess plateau of China.Front. Plant Sci.10:85. 10.3389/fpls.2019.00085
18
FAO (2020). Global Forest Resources Assessment 2020: Main Report.Rome: FAO.
19
Feng D. F. Bao W. K. Pang X. Y. (2017). Consistent profile pattern and spatial variation of soil C/N/P stoichiometric ratios in the subalpine forests.J. Soils Sediments172054–2065. 10.1007/s11368-017-1665-9
20
Güsewell S. (2010). N:P ratios in terrestrial plants: variation and functional significance.New Phytol.164243–266. 10.1111/j.1469-8137.2004.01192.x
21
Han Y. W. Jia Y. F. Wang G. A. Tan Q. Q. Liu X. J. Chen C. J. (2023). Coupling of soil carbon and nitrogen dynamics in drylands under climate change.Catena221:106735. 10.1016/j.catena.2022.106735
22
Hapfelmeier A. Hothorn T. Ulm K. Strobl C. (2014). A new variable importance measure for random forests with missing data.Stat. Comput.2421–34. 10.1007/s11222-012-9349-1
23
He X. J. Hou E. Q. Liu Y. Wen D. Z. (2016). Altitudinal patterns and controls of plant and soil nutrient concentrations and stoichiometry in subtropical China.Sci. Rep.6:24261. 10.1038/srep24261
24
Hui D. F. Yang X. T. Deng Q. Liu Q. Wang X. Yang H. et al (2021). Soil C:N:P stoichiometry in tropical forests on Hainan Island of China: spatial and vertical variations.Catena201:105228. 10.1016/j.catena.2021.105228
25
Jiang Y. F. Guo X. (2019). Stoichiometric patterns of soil carbon, nitrogen, and phosphorus in farmland of the Poyang lake region in Southern China.J. Soils Sediments193476–3488. 10.1007/s11368-019-02317-3
26
Kirkby C. A. Kirkegaard J. A. Richardson A. E. Wade L. J. Blanchard C. Batten G. (2011). Stable soil organic matter: a comparison of C:N:P:S ratios in Australian and other world soils.Geoderma163197–208. 10.1016/j.geoderma.2011.04.010
27
Lei L. Q. Lu L. H. Nong Y. Ming A. G. Liu S. L. He Y. (2017). Stoichiometry characterization of soil C, N and P of Pinus massoniana plantations at aifferent age stages.For. Res.30954–960.
28
Li D. J. Wen L. Yang L. Q. Luo P. Xiao K. C. Chen H. et al (2017). Dynamics of soil organic carbon and nitrogen following agricultural abandonment in a karst region.J. Geophys. Res. Biogeosci.122230–242. 10.1002/2016JG003683
29
Li Y. Wu J. S. Liu S. L. Shen J. L. Huang D. Y. Su Y. R. et al (2012). Is the C:N:P stoichiometry in soil and soil microbial biomass related to the landscape and land use in southern subtropical China?Glob. Biogeochem. Cycles26:4002. 10.1029/2012GB004399
30
Liao C. Long C. Y. Zhang Q. Cheng X. L. (2022). Stronger effect of litter quality than micro-organisms on leaf and root litter C and N loss at different decomposition stages following a subtropical land use change.Funct. Ecol.36896–907. 10.1111/1365-2435.13999
31
Lu M. Z. Liu K. P. Zhang L. J. Zeng F. P. Song T. Q. Peng W. X. et al (2022). Stoichiometric variation in soil carbon, Nitrogen, and phosphorus following cropland conversion to forest in Southwest China.Forests13:1155. 10.3390/f13081155
32
Lu T. Zhang W. Niu J. Lin Y. Wu M. (2017). Study on spatial variability and driving factors of stoichiometry of nitrogen and phosphorus in soils of typical natural zones of China. Acta Pedol. Sin. 54, 682–692.
33
Manzoni S. Trofymow J. A. Jackson R. B. Porporato A. (2010). Stoichiometric controls on carbon, nitrogen, and phosphorus dynamics in decomposing litter.Ecol. Monogr.8089–106. 10.1890/09-0179.1
34
Ostrowska A. Porêbska G. (2015). Assessment of the C/N ratio as an indicator of the decomposability of organic matter in forest soils.Ecol. Indic.49104–109. 10.1016/j.ecolind.2014.09.044
35
Peng X. B. Hu G. Hu C. Lu C. Y. Huang K. K. Pang Q. L. et al (2021). Latitudinal pattern of carbon, nitrogen, and phosphorus contents and their ecological stoichiometry in Eucalyptus plantations in Guangxi.Chin J. Appl. Environ. Biol.271194–1202.
36
Penuelas J. Sardans J. Rivas-Ubach A. Janssens I. A. (2012). The human-induced imbalance between C, N and P in Earth’s life system.Glob. Change Biol.183–6. 10.1111/j.1365-2486.2011.02568.x
37
Qiao J. B. Zhu Y. J. Jia X. X. Huang L. M. Shao M. A. (2018). Vertical distribution of soil total nitrogen and soil total phosphorus in the critical zone on the Loess Plateau.China. Catena166310–316. 10.1016/j.catena.2018.04.019
38
R Core Team (2021). R: a Language and Environment for Statistical Computing.Vienna: R Foundation for Statistical Computing.
39
Sardans J. Rivas-Ubach A. Peñuelas J. (2012). The elemental stoichiometry of aquatic and terrestrial ecosystems and its relationships with organismic lifestyle and ecosystem structure and function: a review and perspectives.Biogeochemistry1111–39. 10.1007/s10533-011-9640-9
40
Sheng H. Yin Z. R. Zhou P. Thompson M. L. (2022). Soil C:N:P ratio in subtropical paddy fields: variation and correlation with environmental controls.J. Soils Sediments2221–31. 10.1007/s11368-021-03046-2
41
Shi S. W. Peng C. H. Wang M. Zhu Q. A. Yang G. Yang Y. Z. et al (2016). A global meta-analysis of changes in soil carbon, nitrogen, phosphorus and sulfur, and stoichiometric shifts after forestation.Plant Soil407323–340. 10.1007/s11104-016-2889-y
42
Tang Z. Y. Xu W. T. Zhou G. Y. Bai Y. F. Li J. X. Tang X. L. et al (2018). Patterns of plant carbon, nitrogen, and phosphorus concentration in relation to productivity in China’s terrestrial ecosystems. (vol 115, pg 4033, 2018).Proc. Natl. Acad. Sci. U S A.115E6095–E6096. 10.1073/pnas.1700295114
43
Tao Y. Zhou X. B. Zhang S. H. Lu H. Y. Shao H. B. (2020). Soil nutrient stoichiometry on linear sand dunes from a temperate desert in central Asia.Catena195:104847. 10.1016/j.catena.2020.104847
44
Thompson K. Parkinson J. A. Band S. R. Spencer R. E. (2010). A comparative study of leaf nutrient concentrations in a regional herbaceous flora.New Phytol.136679–689. 10.1046/j.1469-8137.1997.00787.x
45
Tian H. Q. Chen G. S. Zhang C. Melillo J. M. Hall C. A. S. (2010). Pattern and variation of C:N:P ratios in China’s soils: a synthesis of observational data.Biogeochemistry98139–151. 10.1007/s10533-009-9382-0
46
Tong R. Wu T. Jiang B. Wang Z. Xie B. Zhou B. (2023). Soil carbon, nitrogen, and phosphorus stoichiometry and its influencing factors in Chinese fir plantations across subtropical China.Front. For. Glob. Change5:1086328. 10.3389/ffgc.2022.1086328
47
Tong R. Zhou B. Jiang L. Ge X. Shi J. (2021). Leaf litter carbon, nitrogen and phosphorus stoichiometry of chinese fir. (cunninghamia lanceolata). across china.Glob. Ecol. Conserv.27:e01542. 10.1016/j.gecco.2021.e01542
48
Turner B. L. Haygarth P. M. (2001). Biogeochemistry. phosphorus solubilization in rewetted soils.Nature411:258. 10.1038/35077146
49
Wang L. L. Zhang G. H. Zhu P. Z. Xing S. K. Wang C. S. (2022). Soil C, N and P contents and their stoichiometry as affected by typical plant communities on steep gully slopes of the Loess Plateau, China.Catena208:105740. 10.1016/j.catena.2021.105740
50
Wang X. G. Lu X. T. Zhang H. Y. Dijkstra F. A. Jiang Y. G. Wang X. B. et al (2020). Changes in soil C:N:P stoichiometry along an aridity gradient in drylands of northern China. Geoderma361:114087. 10.1016/j.geoderma.2019.114087
51
Wright I. J. Reich P. B. Cornelissen J. H. C. Falster D. S. Garnier E. Hikosaka K. (2010). Assessing the generality of global leaf trait relationships.New Phytol.166485–496. 10.1111/j.1469-8137.2005.01349.x
52
Xu X. F. Thornton P. E. Post W. M. (2013). A global analysis of soil microbial biomass carbon, nitrogen and phosphorus in terrestrial ecosystems.Glob. Ecol. Biogeogr.22737–749. 10.1111/geb.12029
53
Yang Y. Liu B. R. An S. S. (2018). Ecological stoichiometry in leaves, roots, litters and soil among different plant communities in a desertified region of Northern China.Catena166328–338. 10.1016/j.catena.2018.04.018
54
Yang Y. Luo Y. (2011). Carbon: nitrogen stoichiometry in forest ecosystems during stand development.Glob. Ecol. Biogeogr.20354–361. 10.1111/j.1466-8238.2010.00602.x
55
Yu P. J. Liu S. W. Xu Q. Fan G. H. Huang Y. X. Zhou D. W. (2019). Response of soil nutrients and stoichiometric ratios to short-term land use conversions in a salt-affected region, northeastern China.Ecol. Eng.12922–28. 10.1016/j.ecoleng.2019.01.005
56
Yu Y. H. Chi Y. K. (2020). Ecological stoichiometric characteristics of soil at different depths in a karst plateau mountain area of China.Polish J. Environ. Stud.29969–978. 10.15244/pjoes/102781
57
Zhai X. J. Liu K. S. Finch D. M. Huang D. Tang S. M. Li S. Y. et al (2019). Stoichiometric characteristics of different agroecosystems under the same climatic conditions in the agropastoral ecotone of northern China.Soil Res.57875–882. 10.1071/SR18355
58
Zhang J. H. Cai D. X. Lu L. H. LiYX Li H. Min H. L. et al (2020). Soil ecological stoichiometry of different aged Teak. (Tectona grandis). plantations.Acta Ecol. Sin.405718–5728.
59
Zhang K. Su Y. Z. Yang R. (2019). Variation of soil organic carbon, nitrogen, and phosphorus stoichiometry and biogeographic factors across the desert ecosystem of Hexi Corridor, northwestern China.J. Soils Sediments1949–57. 10.1007/s11368-018-2007-2
60
Zhang X. M. Wang Y. D. Zhao Y. Xu X. W. Lei J. Q. Hill R. L. (2017). Litter decomposition and nutrient dynamics of three woody halophytes in the Taklimakan desert highway shelterbelt.Arid Land Res. Manag.31335–351. 10.1080/15324982.2017.1300613
61
Zhong Y. Yan W. M. Shangguan Z. P. (2015). Soil organic carbon, nitrogen, and phosphorus levels and ltocks after long-term nitrogen fertilization.Clean-Soil Air Water431538–1546. 10.1002/clen.201400872
62
Zhou Y. Boutton T. W. Wu X. B. (2018). Soil C:N:P stoichiometry responds to vegetation change from grassland to woodland.Biogeochemistry140341–357. 10.1007/s10533-018-0495-1
63
Zhou Z. H. Wang C. K. Zhang Q. Z. (2015). The effect of land use change on soil carbon, nitrogen, and phosphorus contents and their stoichiometry in temperate sapling stands in northeastern China.Acta Ecol. Sin.356694–6702. 10.5846/stxb201403290589
Summary
Keywords
soil stoichiometry, forest types, climatic factors, geographical sites, forest ecosystems
Citation
Lu M, Zeng F, Lv S, Zhang H, Zeng Z, Peng W, Song T, Wang K and Du H (2023) Soil C:N:P stoichiometry and its influencing factors in forest ecosystems in southern China. Front. For. Glob. Change 6:1142933. doi: 10.3389/ffgc.2023.1142933
Received
12 January 2023
Accepted
24 March 2023
Published
11 April 2023
Volume
6 - 2023
Edited by
Yahya Kooch, Tarbiat Modares University, Iran
Reviewed by
Zhenfeng Xu, Sichuan Agricultural University, China; Jörg Luster, Snow and Landscape Research (WSL), Switzerland
Updates
Copyright
© 2023 Lu, Zeng, Lv, Zhang, Zeng, Peng, Song, Wang and Du.
This is an open-access article distributed under the terms of the Creative Commons Attribution License (CC BY). The use, distribution or reproduction in other forums is permitted, provided the original author(s) and the copyright owner(s) are credited and that the original publication in this journal is cited, in accordance with accepted academic practice. No use, distribution or reproduction is permitted which does not comply with these terms.
*Correspondence: Hu Du, hudu@isa.ac.cn
This article was submitted to Forest Soils, a section of the journal Frontiers in Forests and Global Change
Disclaimer
All claims expressed in this article are solely those of the authors and do not necessarily represent those of their affiliated organizations, or those of the publisher, the editors and the reviewers. Any product that may be evaluated in this article or claim that may be made by its manufacturer is not guaranteed or endorsed by the publisher.