Abstract
The objective of this study was to investigate the impact of forest fires on tree diversity and their regeneration in three fire-prone forests of Uttarakhand, India. We used Landsat 5, 7, and 8 satellite imagery to prepare fire frequency maps and the study area was divided into four fire frequency classes. Ten plots were marked in each fire frequency class to assess diversity and regeneration pattern of tree species. A total of 14 tree species belonging to 14 genera and 13 families were sampled during the study period. We found that tree species diversity was higher in areas with low fire frequencies in comparison to the areas with no fire frequency class. We also observed that regeneration of tree species varied significantly across all fire frequency classes and forest types, with increasing dominance of certain fire-tolerant species in areas with frequent fires. Of the 33,678 individuals (tree, sapling, and seedling) recorded in all the fire frequency classes, 12,630 were in Sal Forest, 8,033 were in Chir-pine Forest, and 13,015 were in Mixed Forest. The study suggests that if forest fire incidences continue at current levels, the forests could experience a decline in tree diversity. Although forest fire is a natural occurrence in many ecosystems, the increasing frequency and intensity of fires due to human activities such as land-use change and climate change have disrupted the natural fire regime.
Introduction
Forest fire is a natural ecological disturbance agent that can have diverse effects on ecosystem composition, structure, and function at both the landscape and regional scale (Whelan, 1995; Keane et al., 2002; Negi, 2019; Bargali et al., 2022a). However, anthropogenic activities such as dependency on non-timber forest product and agricultural area expansion are among the primary causes of forest fires, which negatively impact species diversity, nutrient dynamics, and regeneration potential, and also emit greenhouse gases that contribute to global climate warming (Amiro, 2001; Murthy et al., 2006; Bhandari et al., 2012; Chaturvedi et al., 2017; Ray et al., 2019). In the Western Himalayan state of Uttarakhand, India, forest fire is a major issue especially during the dry season and adversely impacts forest ecosystems (Rikhari and Palni, 1999; Babu et al., 2016; Bargali et al., 2020). Long-term impacts of forest fire correspond to both the frequency and seasonality of the fire incidences; however, certain species exhibit adaptations to fire such as thick bark and altered germination timing for post-fire re-establishment of forest ecosystems (Khan and Tripathi, 1989; Bargali, 2018; Fule et al., 2021). Fire frequencies known to affect the density of seedlings and saplings of certain species, as lower densities were observed in high fire frequency zones (Hutchinson et al., 2012; Jhariya et al., 2012). Changes in vegetation structure and successional patterns due to fires can promote the expansion of fire-tolerant tree, grass, and shrub species and replace normal species regeneration patterns (Furley et al., 2008; Ryan and Williams, 2011; Syaufina and Ainuddin, 2011; Negi, 2019). However, studies on the post-fire regeneration of woody species in Himalaya are lacking (Negi, 2019). To address this knowledge gap, the present study aims to (1) analyze forest fire frequency patterns using satellite imagery, (2) examine how tree species diversity responds to fires, and (3) assess how the regeneration of woody species co-occurs with fire frequency classes in the three major fire-prone forests of Uttarakhand, Western Himalaya, India. Quantifying post-fire changes in regeneration and tree diversity in the fire-prone forests of Uttarakhand would be helpful for ecological assessment, sustainable forest management, and forest planning.
Materials and methods
Study site
Uttarakhand is a region located in the Western Himalaya of northern India, spanning from 28°43′N to 31°27′N and 77°34′ to 81°02′ E. It serves as a transitional zone between the Tibetan Plateau in the north, the Upper Gangetic Plains in the south, and the East Himalayan provinces in the western. The region is categorized into three zones: the Himalaya, the Shiwalik, and the Terai area, and has a climate ranging from subtropical to alpine (FSI, 2007). It experiences an annual rainfall of 92.31 mm1 and a mean annual temperature (MAT) of 13.12–29.27°C (Negi, 2019). Uttarakhand boasts of 45.6% forest cover, including nine forest categories, such as tropical moist deciduous forests, tropical dry deciduous forests, sub-tropical pine forests, Himalayan moist temperate forests, Himalayan dry temperate forests, sub-alpine forests, moist alpine scrub, dry alpine scrub, and tree outside forests Bargali et al. (2022b). The state has a protected area network of six national parks, seven wildlife sanctuaries, and four conservation reserves, covering 7376.33 km2 (13.79%) of the state’s total geographic area (National Wildlife Database Cell). Uttarakhand reported 21,487 forest fire incidence out of the 345,989 incidence in India from November 2020 to June 2021 (Uttarakhand Forest Department). These fires occur annually between November and May due to natural and anthropogenic reasons, such as the accumulation of inflammable materials like dry leaves, twigs, and pine needles (Bahuguna and Upadhyay, 2002; Babu et al., 2016). The purpose of this study was to examine the effect of forest fire frequency on tree diversity and regeneration in three fire-prone forests in Uttarakhand Himalaya: Sal forests (Shorea robusta Gaertn.) at Motichur, Haridwar district; Chir-pine forests (Pinus roxburghii Sarg.) at Mauna Forest, Nainital district; and mixed forests of Banj-oak (Quercus leucotrichophora A.Camus) and Chir-pine (P. roxburghii) at Dhaulchina, Almora district. These selected forest types were identified based on their predominant occurrence and widely acknowledged significance in shaping ecosystem functioning. Previous studies have provided evidence of their substantial impact on diverse ecological factors, but limited to species richness, biodiversity, structural patterns, phenological dynamics, tree composition, allocation of biomass, primary productivity, nutrient cycling, accumulation of organic matter, and rates of decomposition (Joshi et al., 2022).
Fire frequency mapping
Forest fire frequency maps were developed for Uttarakhand state using Landsat 5, 7, and 8 satellite images spanning a period of 10 years (2011–2020) (Table 1).
TABLE 1
| Satellite | Month/Season |
| Landsat 5 | March 2011–February 2013 (winter and summer) |
| Landsat 7 | March 2013–February 2017 (winter and summer) |
| Landsat 8 | March 2017–February 2020 (winter and summer) |
Date/Season of the data used for forest fire mapping.
The MODIS hotspot data or active fire data (MOD14) from the official website of the Fire Information for Resource Management System (FIRMS) of NASA were downloaded and merged with the shapefile data of fire points. Satellite images of each selected sites were extracted, geo-corrected, and classified into four frequency classes (i.e., no fire, low fire, moderate fire, and high fire frequency classes) (Figure 1).
FIGURE 1

Systematic diagram showing the methodology adapted for fire frequency mapping (Bargali et al., 2017).
Supervised classification was employed to classify the extracted and geo-corrected satellite images of selected study sites (i.e., Sal Forest, Pine Forest, and Mixed Forest) (Table 2).
TABLE 2
| Forest frequency class | District | ||
| Almora | Haridwar | Nainital | |
| High fire | 112.5 | 37.5 | 164.74 |
| Low fire | 930.36 | 351.94 | 956.88 |
| Moderate fire | 341.58 | 214.64 | 443.53 |
| No fire | 1568.52 | 1700.93 | 2362.63 |
District wise area (Sq. km.) in each fire frequency classes.
A fishnet was created using the data management tool in ArcMap software, and the fire points and raster were spatially joined to generate the fire frequency map. A total of 16,206 fire points were recorded and further categorized into four fire frequency classes for the entire state. To exclude fire points that fall on settlements, we overlaid the settlement layer on top of the fire point layer. This ensured that only fire points within forest regions were used in our analysis. The fire frequency further classified into four frequency classes, namely, no fire, low fire, moderate fire, and high fire frequency class as depicted in Figure 2. To avoid bias, in each fire frequency class, we have selected 1 ha area for each forest types (Table 3).
FIGURE 2

Fire frequency map, sampling points, and selected forest types in the studied sites.
TABLE 3
| Class code | Fire frequency class | No. of plots | Area selected for study (ha) | No. of individuals (ind. ha–1) | ||
| Tree | Sapling | Seedling | ||||
| Sal Forest (SF) | ||||||
| SNF | No fire | 10 | 1 | 620 | 780 | 2,120 |
| SLF | Low fire | 10 | 1 | 655 | 880 | 2,330 |
| SMF | Moderate fire | 10 | 1 | 560 | 560 | 1,810 |
| SHF | High fire | 10 | 1 | 485 | 430 | 1,400 |
| Chir-pine forest (C-PF) | ||||||
| C-PNF | No fire | 10 | 1 | 776 | 480 | 820 |
| C-PLF | Low fire | 10 | 1 | 837 | 660 | 990 |
| C-PMF | Moderate fire | 10 | 1 | 720 | 420 | 730 |
| C-PHF | High fire | 10 | 1 | 630 | 320 | 650 |
| Mixed Forest (MiF) | ||||||
| MFNF | No fire | 10 | 1 | 650 | 830 | 1,820 |
| MFLF | Low fire | 10 | 1 | 720 | 890 | 2,200 |
| MFMF | Moderate fire | 10 | 1 | 480 | 710 | 1,910 |
| MFHF | High Fire | 10 | 1 | 335 | 640 | 1,830 |
Description of selected fire frequency classes, plot studied, burned area, species diversity and stem density test types in the studied sites.
SNF, Sal Forest no fire; SLF, Sal Forest low fire; SMF, Sal moderate fire; SHF, Sam High Fire; C-PNF, Chir-pine no fire; C-PLF, Chir-pine low fire; C-PMF, Chir-pine moderate fire; C-PHF, Chir-pine high fire; MFNF, Mixed forest no fire; MFLF, Mixed forest low fire; MFMF, Mixed forest moderate fire; MFHF, Mixed forest high fire.
Validation of fire frequency by forest fringe community
The fire frequency classes (namely, no fire, low fire, moderate fire, and high fire areas) were verified through consultation with the resident communities adjoining to the study sites. Once the validation of fire frequency classes was completed in each forest type, the demarcation of long-term study plots was made. The selection process includes the identification of three distinct forest types, and delineation of four fire frequency within each forest. Consequently, we identified a total of twelve study sites, located in different forest type with assigned specific fire frequency class. Our approach was to capture a broad range of fire frequency regimes across three major forest types, ensuring a comprehensive understanding of the relationship between fire and vegetation dynamics.
Field data sampling
Over a period of 2 years (2019–2020), a field study was conducted to collect floristic data from 12 plots (each 1 hectare in size) in selected forests that had undergone significant forest cover loss due to forest fires. Forests were stratified into three types: Sal Forest (SF), Chir-pine forest (C-PF), and Mixed Forest (MF), and selected for quantitative assessment. Stratified random sampling was used to sample plots within each forest type and fire frequency (Bargali et al., 2022a). In total, 120 plots were marked, covering a total area of 12 hectares, with 40 plots in each forest type, equally distributed among three forest types. Within each plot, all living woody trees with >3 cm diameter at breast height were measured and identified. Voucher specimens were collected for unidentified individuals in the field. The identification process involved using checklists of Uttarakhand, the flora of Uttarakhand, and relevant literature (Osmaston, 1927; Polunin and Stainton, 1984; Pant, 1986). Field vegetation data were gathered in September and October 2020, and GPS (Oregon 700, Garmin) was used to map field sampling points. Collar diameter, girth at breast height, and plant height were measured for all woody plants (>1 cm DBH) inside the plots. Additionally, two 5 × 5 m subplots were laid on two corners of the plot to enumerate seedlings and saplings. Individuals with >30 cm CBH were defined as trees, however, individuals with CBH >10 and <30 cm were considered as sapling and individuals having CBH < 10 cm were considered as seedlings.
Data analysis
In the present study total number of species across all fire frequency classes was calculated for three growth forms (seedlings, saplings, and trees). Stem density was determined for each growth form in each class, and one-way ANOVA was used to identify significant differences in these factors among the frequency classes. The diversity index of trees was evaluated using the Shannon-Wiener index (H’) (Shannon and Wiener, 1963). The study results were presented in terms of stem density and the number of species for all growth forms per fire frequency class. Statistical analyses were conducted using the ORIGIN 2023 software.
Results
Fire points under different fire frequency classes
As per the data collected on fire incidents under various fire frequency classes, there was a consistent reduction in the area affected by fires as the frequency of fires increased (Figure 2).
Over the 10 years period from 2011 to 2020, only 115 points (0.71% area) fell into the high fire frequency class (HF), 738 points (4.51% area) fell into the low fire frequency class (LF), 2,979 points (18.21% area) fell into the moderate fire frequency class (MF), and 12,524 points (76.57% area) fell into the no fire frequency class (NF) (Figure 2).
Species abundance and diversity
The study analyzed stem density, species diversity, and Shannon-Wiener values across three forest types: Sal Forest, Chir-Pine Forest, and Mixed Forest. A total of 7,468 stems from 36 tree species belonging to 29 genera and 26 families were observed. Stem density varied across forest types and growth stages, with SF having a density range of 485 to 655 stems ha–1 during tree growth, 430 to 880 stems per hectare as saplings, and 1,400 to 2,330 stems per hectare as seedlings. Species diversity was also found to vary by fire class, with SF having the highest diversity, and MiF the lowest. We calculated the Shannon-Wiener (H’) values for each forest type and found that they were recorded between 1.54 to 1.93 for SF, 1.21 to 1.34 for C-PF, and 0.16 to 0.26 for MiF (Figure 3). Finally, stem diameter distribution showed a reverse J-shaped curve in all fire classes, with lower DBH stems being more prevalent and decreasing with increasing fire frequency (Figure 4).
FIGURE 3

Shannon-Weiner index (H’) for all the selected forest types and their fire frequency classes.
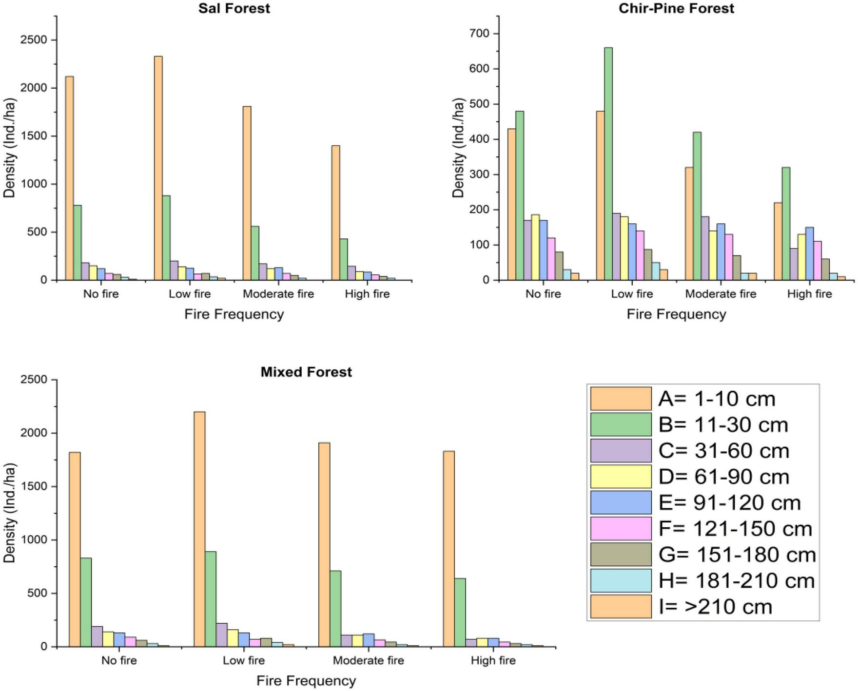
FIGURE 4

Stem diameter class distribution in all the frequency classes of selected forest types.
Tree species regeneration
The analysis of the tree data revealed a statistically significant (p-value = 0.0003, R2 = 0.890) relationship between the number of tree species and fire frequency classes in studied forests (Figures 5A–D). The results suggest that fire frequency has a highly significant (p ≤ 0.001) impact on tree species diversity in these forests. Specifically, the number of tree species is low in forests with HF frequency compared to NF or LF frequency.
FIGURE 5

Relationship of forest fire frequency classes with (A) number of tree species, (B) number of sapling species, (C) number of seedling species, and (D) total number of species (tree + sapling + seedling).
The analysis of the sapling data shows that there is a significant (p-value = 0.042, R2 = 0.852) relationship between the number of sapling species and fire frequency in studied forests (Figure 5B). Overall, the data suggests that fire frequency has a significantly positive (p ≤ 0.05) impact on the number of sapling species in the three forest types. However, fire frequency has shown a non-significant impact on the numbers of seedling species in these forest types.
Sal Forest
The stem density in Sal Forest in different girth classes was compared between the four fire frequency classes: NF, LF, MF, and HF (Figure 4). In the 1–10 cm girth class, the highest stem density was recorded in the LF class (2,330 individuals ha–1), followed by NF (2,120 individuals ha–1), MF (1,810 individuals ha–1), and HF (1,400 individuals ha–1). Similarly, in the 11–30 cm girth class, the highest stem density was recorded in the LF class (880 individuals ha–1), followed by NF (780 individuals ha–1), MF (560 individuals ha–1), and HF (430 individuals ha–1). In the 31–60 cm girth class, the highest stem density was recorded in the NF class (180 individuals ha–1), followed by LF (200 individuals ha–1), MF (170 individuals ha–1), and HF (145 individuals ha–1). In the 61–90 cm girth class, the highest stem density was recorded in the NF class (150 individuals ha–1), followed by LF (140 individuals ha–1), MF (120 individuals ha–1), and HF (90 individuals ha–1). In the 91–120 cm girth class, the highest stem density was recorded in the NF class (120 individuals ha–1), followed by LF (125 individuals ha–1), MF (130 individuals ha–1), and HF (85 individuals ha–1). In the 121–150 cm girth class, the highest stem density was recorded in the NF class (70 individuals ha–1), followed by LF (65 individuals ha–1), MF (70 individuals ha–1), and HF (55 individuals ha–1). In the 151–180 cm girth class, the highest stem density was recorded in the NF class (60 individuals ha–1), followed by MF (50 individuals ha–), LF (70 individuals ha–1), and HF (40 individuals ha–1). In the 180–210 cm girth class, the highest stem density was recorded in the NF class (30 individuals ha–1), followed by LF (35 individuals ha–1), MF (20 individuals ha–1), and HF (20 individuals ha–1). Finally, in the >210 cm girth class, the highest stem density was recorded in the NF class (10 individuals ha–1), followed by LF (20 individuals ha–1), and no stems were recorded in the MF and HF classes. In all fire frequency categories, the density of trees decreases as the girth classes increase S. robusta is the most abundant species in all four fire frequency classes, followed by M. philippensis, S. cumini, B. monosperma, and A. marmelos. The abundance of S. robusta is highest in the LF and NF classes, and lowest in the HF class. Conversely, the abundance of M. philippensis and S. cumini is highest in the HF class. B. monosperma shows the highest abundance in the MF class, while A. marmelos has the highest abundance in the LF class. In the sapling category, S. robusta is again the most abundant species in all four fire frequency classes. However, the abundance of other species differs from the tree category. M. philippensis is the second most abundant species, followed by E. laevis, S. oleosa, and C. fistula. The abundance of S. robusta and M. philippensis is highest in the NF and LF classes, and lowest in the MF and HF classes. E. laevis and S. oleosa show the highest abundance in the LF and MF classes, respectively. C. fistula is only present in significant numbers in the LF class. In the seedling category, S. robusta is again the most abundant species in all four fire frequency classes, followed by M. philippensis, E. laevis, and Schleichera oleosa. The abundance of S. robusta is highest in the NF class and decreases with increasing fire frequency. M. philippensis shows the highest abundance in the NF and LF classes and is absent in the MF and HF classes. E. laevis shows the highest abundance in the NF and LF classes, while S. oleosa is only present in significant numbers in the NF class. The results suggest that S. robusta in the Sal forest is the most abundant species across all three growth stages (tree, sapling, and seedling) and all four fire frequency classes (Table 4).
TABLE 4
| Forest type (s) | Species | NF | LF | MF | HF |
| Sal Forest | |||||
| Tree | |||||
| 1. | Shorea robusta | 33.38 | 36.25 | 12.12 | 6.14 |
| 2. | Mallotus philippensis | 13.35 | 16.14 | 14.26 | 8.24 |
| 3. | Syzygium cumini | 14.3 | 18.12 | 16.12 | n/p |
| 4. | Butea monosperma | 9.538 | 12.06 | 16.28 | 8.23 |
| 5. | Aegle marmelos | 7.154 | 14.8 | 6.21 | n/p |
| Sapling | |||||
| 1. | Shorea robusta | 37.28 | 38.26 | 16.23 | 20.24 |
| 2. | Mallotus philippensis | 37.74 | 39.24 | 14.25 | 10.62 |
| 3. | Ehretia laevis | 12.98 | 14.21 | 4.23 | n/p |
| 4. | Schleichera oleosa | 7.98 | 6.24 | 2.15 | 7.34 |
| 5. | Cassia fistula | 3.99 | 16.26 | 0.67 | 0.24 |
| Seedling | |||||
| 1. | Shorea robusta | 59.72 | 52.12 | 16.14 | 18.13 |
| 2. | Mallotus philippensis | 16.56 | 12.26 | n/p | 3.2 |
| 3. | Ehretia laevis | 10.88 | 8.2 | 8.12 | n/p |
| 4. | Schleichera oleosa | 12.48 | 10.26 | n/p | n/p |
| Pine forest | |||||
| Tree | |||||
| 1. | Pinus roxburghii | 73.68 | 46.18 | 16.12 | 10.26 |
| 2. | Myrica esculenta | 26.31 | 28.12 | 14.13 | 10.16 |
| Sapling | |||||
| 1. | Pinus roxburghii | 23.07 | 29.29 | 16.18 | 6.13 |
| 2. | Myrica esculenta | 30.76 | 32.23 | 18.14 | 12.8 |
| 3. | Pyrus pashia | 46.15 | 16.14 | n/p | n/p |
| Seedling | |||||
| 1. | Pinus roxburghii | 49.38 | 38.42 | 14.4 | 12.5 |
| 2. | Myrica esculenta | 12.34 | 13.18 | 10.8 | 6.18 |
| 3. | Quercus leucotrichophora | 7.4 | 8.12 | n/p | n/p |
| 4. | Lyonia ovalifolia | 24.69 | 14.14 | 10.18 | n/p |
| Mixed Forest | |||||
| Tree | |||||
| 1. | Pinus roxburghii | 38.35 | 16.46 | 8.16 | 6.1 |
| 2. | Myrica esculenta | 13.69 | 18.1 | 6.1 | 3.2 |
| 3. | Quercus leucotrichophora | 18.26 | 26.26 | 4.26 | n/p |
| Sapling | |||||
| 1. | Pinus roxburghii | 22.22 | 28.13 | 4.82 | 6.2 |
| 2. | Myrica esculenta | 24.69 | 26.25 | 10.12 | 8.23 |
| 3. | Quercus leucotrichophora | 14.81 | 16.3 | 6.25 | 8.63 |
| Seedling | |||||
| 1. | Pinus roxburghii | 43.95 | 20.18 | 3.12 | 4.3 |
| 2. | Myrica esculenta | 9.15 | 10.16 | 2.23 | 1.14 |
| 3. | Quercus leucotrichophora | 13.73 | 8.3 | 2.63 | 2.63 |
| 4. | Rhododendron arboreum | 13.73 | 6.2 | 4.23 | 1.44 |
| 5. | Lyonia ovalifolia | 19.41 | 2.11 | 4.23 | 2.44 |
Abundance of tree species at different growth stages (tree, sapling, and seedling) across all fire frequency classes.
Chir-pine forest
In the Pine Forest, the highest densities across all girth classes were observed in the LF frequency class, followed by NF, MF, and HF frequency classes, respectively. In the 1–10 cm girth class, the stem density was highest in the LF (Figure 4) frequency class with 480 individuals ha–1, followed by the NF frequency class with 430 individuals ha–1. The stem density was lowest in the HF frequency class with 220 individuals ha–1, followed by the MF frequency class with 320 individuals ha–1. In the 11–30 cm girth class, the stem density was highest in the LF frequency class with 660 individuals ha–1, followed by the NF frequency class with 480 individuals ha–1. The stem density was lowest in the HF frequency class with 320 individuals ha–1, followed by the MF frequency class with 420 individuals ha–1. In the 31–60 cm girth class, the stem density was highest in the MF frequency class with 180 individuals ha–1, followed by the NF frequency class with 170 individuals ha–1. The stem density was lowest in the HF frequency class with 90 individuals ha–1. In the 61–90 cm girth class, the stem density was highest in the LF frequency class with 180 individuals ha–1, followed by the MF frequency class with 140 individuals ha–1. The stem density was lowest in the HF frequency class with 130 individuals ha–1. In the 91–120 cm girth class, the stem density was highest in the LF frequency class with 160 Individuals ha–1, followed by the MF frequency class with 160 individuals ha–1. The stem density was lowest in the HF frequency class with 150 individuals ha–1. In the 121–150 cm girth class, the stem density was highest in the LF frequency class with 140 individuals ha–1, followed by the MF frequency class with 130 individuals ha–1. The stem density was lowest in the HF frequency class with 110 individuals ha–1. In the 151–180 cm girth class, the stem density was highest in the NF frequency class with 87 individuals ha–1, followed by the LF frequency class with 70 individuals ha–1. The stem density was lowest in the HF frequency class with 60 individuals ha–1. In the 180–210 cm girth class, the stem density was highest in the NF frequency class with 50 individuals ha–1, followed by the LF frequency class with 30 individuals ha–1. The stem density was lowest in the MF and HF frequency classes with 20 individuals ha–1. In the >210 cm girth class, the stem density was highest in the NF frequency class with 30 individuals ha–1, followed by the LF frequency class with 20 individuals ha–1. The stem density was lowest in the MF and HF frequency classes with 20 and 10 individuals ha–1, respectively. P. roxburghii is highly fire-resistant, with 73.68% of trees surviving a NF scenario, 46.18% surviving in LF, 16.12% in MF, and 10.26% in HF. M. esculenta, on the other hand, is less fire-resistant, with only 26.31% of trees surviving a no-fire scenario, 28.12% in LF, 14.13% in MF, and 10.16% in HF. P. roxburghii saplings showing more fire resistance than M. esculenta saplings. Additionally, P. pashia is listed as a sapling that is highly resistant to LF but has no saplings recorded on MF and HF classes. L. ovalifolia is recorded as a seedling that is moderately fire-resistant, with 24.69% in NF scenario, 14.14% in LF and10.18% in MF, and no seedlings recorded on HF frequency class.
Mixed Forest
In the tree layer the P. roxburghii can withstand a high percentage of low frequency fires (NF and LF), but is less tolerant to moderate and high frequency fires (MF and HF). M. esculenta, on the other hand, has lower tolerance to low frequency fires but can withstand moderate and high frequency fires to a greater extent (Figure 4). In the sapling category, P. roxburghii has a similar trend as in the tree category, showing higher tolerance to low frequency fires and lower tolerance to moderate and high frequency fires. M. esculenta has a higher tolerance to all fire frequencies in the sapling category compared to the tree category. Q. leucotrichophora has a moderate tolerance to all fire intensities in the sapling category. In the seedling category, P. roxburghii has the highest tolerance to all fire frequencies, but R. arboreum and L. ovalifolia show relatively lower tolerance to moderate and high frequency fires. M. esculenta and Q. leucotrichophora have moderate tolerance to all fire frequencies in the seedling category.
Discussion
The effect of fire frequency on tree density also varies across forest types. In SF, the tree density decreases with an increase in fire frequency, while in PF, the effect of fire frequency on tree density is less pronounced. In MiF, the tree density also decreases with an increase in fire frequency, but the effect is less severe compared to SF. In the present study, significant differences in species diversity were observed in the selected forest types of Uttarakhand. While species diversity increased in the LF frequency. For the SF, the highest tree diversity is observed in the no fire and low fire classes. The tree diversity decreases with increasing fire frequency, and the lowest tree diversity is observed in the high fire frequency class. For the PF, the tree diversity is the same across all fire frequency classes. For the MF, the highest tree diversity is observed in the no fire and low fire classes and the tree diversity decreases with increasing fire frequency. The lowest tree diversity is observed in the high fire class. Our results show that species richness and stand density decreased in high fire frequency class which could be due to the result of the poor regeneration processes that decrease species diversity in higher fire frequency classes. Our results support similar findings reported by Negi (2019), Bisht et al. (2020), Joshi et al. (2022), Bargali et al. (2022a) in different forests of Uttarakhand. Our results also support similar findings reported in the tropical dry deciduous forest of Chhattisgarh (Jhariya et al., 2012), in Mudumalai Tiger Reserve (Kodandapani et al., 2008; Verma and Jayakumar, 2015), and Sathyamangalam Tiger Reserve (Sathya and Jayakumar, 2017). Decreased species richness was also reported by Saha (2002), Saha and Howe (2003) in the dry deciduous forest of Central India. Our results also suggest that the low fire frequency could be beneficial for the regeneration of tree species. This result is concurrent with other experimental studies by Saha and Howe (2003) in the dry deciduous forest of Central India and in the Central Himalayan regions (Pande et al., 2014). According to Kodandapani (2001), mid-frequency fires enhance greater regeneration of seedlings due to the release of chemicals and nutrients locked up in old herbages as well as increasing light intensity, thus allowing rapid seed growth and low mortality rates once they successfully cross from the seedling stage to the sapling stage. Expanded soil supplement and the removal of seed dormancy could also explain the findings regarding the germination of specific tree species (Goldammer, 1988; Saha, 2002).
The density of trees varies across the forest types. SF has the highest tree density followed by PF and MF. The results showed that the highest sapling density values are found in the NF and LF, and lowest in HF frequency class for all three types of forests (Sal, Chir-Pine, and Mixed). This suggests that the absence or low fire are generally beneficial for regeneration of sapling of tree species. Conversely, the lowest sapling density values are generally found in the “High fire” frequency class for all three types of forests. This suggests that high fire frequency has a negative impact on sapling growth. In terms of the moderate fire frequency classes, the results are somewhat variable. For the SF, sapling density is highest in the LF frequency class and lowest in the MF frequency class. For the C-PF, sapling density is highest in the MF frequency class and lowest in the LF frequency class. For the MF forest, sapling density is highest in the LF frequency class and lowest in the MF frequency class. Overall, it appears that sapling density is generally highest in the NF frequency class and lowest in the HF frequency class, with variable responses to LF and MF frequencies depending on the forest type. The benefits of moderate or low disturbance for species regeneration have also been reported by Khan et al. (1987) and Maram and Khan (1998). This is in contrast to studies by Gould et al. (2002), Mondal and Sukumar (2014) in Mudumalai Tiger Reserve which found increasing numbers of seedlings and saplings in a single-burnt class compared to the control class. Jhariya et al. (2012) reported that seedlings follow a similar trend in all fire frequency classes.
Conclusion
Our study highlights the varying effects of forest fires on tree species recovery in the Sal, Chir-Pine, and Mixed forests of Uttarakhand, Western Himalaya, India. It was observed that low fire event did not have a significant positive impact on the regeneration of species. Our findings suggest that low fire frequency inhibited the regeneration of seedling densities but increased species richness and tree density. On the other hand, high fire frequencies also hinder the growth of regenerating seedlings. Therefore, the recovery of tree species is impacted by all fire frequencies, whether high or low. Across all fire frequency classes, except for low fire frequency, there was less diversity than the control and an increasing dominance of certain fire-tolerant species with increasing fire frequency. In the Sal Forest, S. robusta is most abundant in the no fire frequency class but declines with increasing fire frequency. Mallotus philippensis is highly abundant in the no fire and low fire frequency classes but not recorded in the moderate fire and high fire classes. In the Pine Forest, low fire frequency class exhibits the highest density across all girth classes, followed by no, moderate, and high fire frequency classes. P. roxburghii shows high fire resistance, with survival rates of 73.68% (NF), 46.18% (LF), 16.12% (MF), and 10.26% (HF). Pyrus pashia shows high resistance as a sapling to low fire but no presence as saplings in the moderate and high fire frequency classes. In the Mixed Forest, M. esculenta exhibits greater tolerance to all fire frequencies as saplings compared to trees, while Q. leucotrichophora showed moderate tolerance as saplings. In the seedling category, P. roxburghii shows the highest tolerance to all fire frequencies, while R. arboreum and L. ovalifolia show relatively lower tolerance to moderate and high-frequency fires. M. esculenta and Q. leucotrichophora exhibit moderate tolerance to all fire frequencies as seedlings. Our study concludes that all fire frequency classes have significant impact on the regeneration of tree species, with low fire frequency being beneficial. The healthy regeneration of species is essential for maintaining plant species diversity and density in any ecosystem. This study provides a valuable baseline dataset for future in-depth studies related to forest fires, and further research is needed to explore the different ecological aspects and effects of fire on forest vegetation in Uttarakhand, Western Himalaya.
Statements
Data availability statement
The raw data supporting the conclusions of this article will be made available by the authors, without undue reservation.
Author contributions
HB: conceptualization data collection, methodology, data analysis, writing, software, and visualization. DB: conceptualization, supervision, methodology, validation, and writing—review. RS and VU: conceptualization, supervision, investigation, validation, and writing—review. AP: supervision, investigation, validation, and writing—review. RR: validation and writing—review. All authors contributed to the article and approved the submitted version.
Acknowledgments
The authors express their gratitude to the Director of G. B. Pant National Institute of Himalayan Environment (GBPNIHE) for providing institutional support. We acknowledge the Department of Zoology and Environment Science at Gurukula Kangri (Deemed to be University), Haridwar, for their logistic support. The authors thanks to G. C. S. Negi, former Scientist “G” at GBPNIHE, for his valuable suggestions and inputs.
Conflict of interest
The authors declare that the research was conducted in the absence of any commercial or financial relationships that could be construed as a potential conflict of interest.
Publisher’s note
All claims expressed in this article are solely those of the authors and do not necessarily represent those of their affiliated organizations, or those of the publisher, the editors and the reviewers. Any product that may be evaluated in this article, or claim that may be made by its manufacturer, is not guaranteed or endorsed by the publisher.
Footnotes
References
1
Amiro B. D. (2001). Paired-tower measurements of carbon and energy fluxes following disturbance in the boreal forest.Glob. Chang. Biol.7253–268. 10.1046/j.1365-2486.2001.00398.x
2
Babu K. V. S. Roy A. Prasad P. R. (2016). Forest fire risk modeling in Uttarakhand Himalaya using Terra satellite datasets.Eur. J. Remote Sens.49381–395. 10.5721/EuJRS20164921
3
Bahuguna V. K. Upadhyay A. (2002). Forest fires in India: policy initiatives for community participation.Int. For. Rev.4122–127. 10.1505/IFOR.4.2.122.17446
4
Bargali H (2018). Forest fire frequency in Nainital District of Uttarakhand state.Riga: LAP Lambert Academic Publishing.
5
Bargali H. Calderon L. P. P. Sundriyal R. C. Bhatt D. (2022a). Impact of forest fire frequency on floristic diversity in the forests of Uttarakhand, western Himalaya. Trees Forests People9:100300. 10.1016/j.tfp.2022.100300
6
Bargali H. Gupta S. Malik D. S. Matta G. (2017). Estimation of fire frequency in Nainital District of Uttarakhand state by using satellite images. J. Remote Sens. GIS6, 1–5. 10.4172/2469-4134.1000214
7
Bargali H. Kumar A. Singh P. (2022b). Plant studies in Uttarakhand, Western Himalaya: A comprehensive review. Trees Forests People8:100203. 10.1016/j.tfp.2022.100203
8
Bargali H. Singh P. Bhatt D. (2020). Role of Chir Pine (Pinus roxburghii Sarg.) in the forest fire of Uttarakhand Himalaya.ENVIS Bull. Himalayan Ecol.2882–85.
9
Bhandari B. S. Mehta J. P. Semwal R. L. (2012). “Forest fire in Uttarakhand Himalaya: an overview,” in Glimpses of forestry research in the Indian Himalayan region, edsNegiG. C. S.DhyaniP. P. (Almora: G.B. Pant Institute of Himalayan Environment & Development), 167–176.
10
Bisht D. Singh P. Sundriyal R. C. (2020). Forest status under fire regime: an ecological assessment in Upper-Kosi watershed in Almora district, Uttarakhand, India.Indian J. For.43206–211. 10.54207/bsmps1000-2021-89G23K
11
Chaturvedi R. K. Raghubanshi A. S. Tomlinson K. W. Singh J. S. (2017). Impacts of human disturbance in tropical dry forests increase with soil moisture stress. J. Veg. Sci. 28, 997–1007. 10.1111/jvs.12547
12
FSI (2007). ISFR India State of Forest Report 2007. Dehradun: Forest Survey of India.
13
Fule P. Z. Garkoti S. C. Semwal R. L. (2021). Frequent burning in chir pine forests Uttarakhand, India.Fire Ecol.171–11. 10.1186/s42408-021-00106-3
14
Furley P. A. Rees R. M. Ryan C. M. Saiz G. (2008). Savanna burning and the assessment of long-term fire experiments with particular reference to Zimbabwe.Prog. Phys. Geogr.32611–634. 10.1177/0309133308101383
15
Goldammer J. G. (1988). Rural land-use and wildland fires in the tropics.Agrofor. Sys.6235–252. 10.1007/BF02344761
16
Gould K. A. Fredericksen T. S. Morales F. Kennard D. Putz F. E. Mostacedo B. et al (2002). Post-fire tree regeneration in lowland Bolivia: Implications for fire management.Forest Ecol. Manag.165225–234. 10.1016/S0378-1127(01)00620-X
17
Hutchinson T. F. Yaussy D. A. Long R. P. Rebbeck J. Sutherland E. K. (2012). Long-term (13-year) effects of repeated prescribed fires on stand structure and tree regeneration in mixedoak forests.Forest Ecol. Manag.28687–10010.1016/j.foreco.2012.08.036
18
Jhariya M. K. Bargali S. S. Swamy S. L. Kittur B. (2012). Vegetational structure, diversity and fuel load in fire affected areas of tropical dry deciduous forests in Chhattisgarh.Vegetos25210–224.
19
Joshi V. C. Bisht D. Sundriyal R. C. Pant H. (2022). Species richness, diversity, structure, and distribution patterns across dominating forest communities of low and mid-hills in the Central Himalaya. Geol. Ecol. Landsc. 1–11. 10.1080/24749508.2021.2022424
20
Keane R. E. Ryan K. C. Veblen T. T. Allen C. D. Logan J. A. Hawkes B. et al (2002). Cascading effects of fire exclusion in the Rocky Mountain ecosystems: a literature review. General Technical Report. RMRSGTR-91.Fort Collins, CO: U.S. Department of Agriculture. 10.2737/RMRS-GTR-91
21
Khan M. L. Rai J. P. N. Tripathi R. S. (1987). Population structure of some tree species in disturbed and protected subtropical forests of north-east India.Acta Oecol.8247–255.
22
Khan M. L. Tripathi R. S. (1989). Effects of stump diameter, stump height and sprout density on the sprout growth of four tree species in burnt and unburnt forest plot.Acta Oecol.10303–316.
23
Kodandapani N. (2001). Forest fires. Resonance6, 34–41. 10.1007/BF02868242
24
Kodandapani N. Cochrane M. A. Sukumar R. (2008). A comparative analysis of spatial, temporal, and ecological characteristics of forest fires in seasonally dry tropical ecosystems in the Western Ghats, India.Forest Ecol. Manag.256607–617. 10.1016/j.foreco.2008.05.006
25
Maram M. K. Khan M. L. (1998). Regeneration status of trees in various categories of forests in Manipur.J. Hill Res.11178–182.
26
Mondal N. Sukumar R. (2014). Characterising weather patterns associated with fire in a seasonally dry tropical forest in southern India.Int. J. Wildland Fire.23196–201. 10.1071/WF13002
27
Murthy M. S. R. Badarinath K. V. S. Gharai B. Rajshekhar G. Roy P. S. (2006). The Indian forest fire response and assessment system (INFFRAS).Int For Fire News3472–77. 10.1111/btp.12219
28
Negi G. C. S. (2019). Forest fire in Uttarakhand: causes, consequences and remedial measures.Int. J. Ecol. Environ. Sci.4531–37.
29
Osmaston A. E. (1927). A forest flora for Kumaon, Allahabad. Available online at: https://fsi.nic.in/
30
Pande R. Bargali K. Pande N. (2014). Impacts of disturbance on the population structure and regeneration status of tree species in a Central Himalayan Mixed-Oak Forest.India. Taiwan J. For. Sci.29179–192.
31
Pant P. C. (1986). Flora of Corbett National Park. Kolkata: Botanical Survey of India, 224.
32
Polunin O. Stainton A. (1984). Flowers of the Himalaya. Oxford: Oxford University Press.
33
Ray T. Malasiya D. Dar J. A. Khare P. K. Khan M. L. Verma S. et al (2019). Estimation of greenhouse gas emissions from vegetation fires in Central India.Clim. Chang. Environ. Sustain.732–38. 10.5958/2320-642X.2019.00005.X
34
Rikhari H. C. Palni L. M. S. (1999). Fire affects ground flora dynamics of forest ecosystem: A case study from Central Himalaya.Trop. Ecol.40145–151.
35
Ryan C. M. Williams M. (2011). How does fire intensity and frequency affect miombo woodland tree populations and biomass?Ecol. App.2148–60. 10.1890/09-1489.1
36
Saha S. (2002). Anthropogenic fire regime in a deciduous forest of central India.Curr. Sci.821144–1147.
37
Saha S. Howe H. F. (2003). Species composition and fire in a dry deciduous forest.Ecology843118–3123. 10.1890/02-3051
38
Sathya M. Jayakumar S. (2017). Post-fire regeneration status of tree species in a tropical dry deciduous forest of Southern India.J. Trop. For. Sci.29305–317. 10.26525/jtfs2017.29.3.305317
39
Shannon C. E. Wiener W. (1963). The mathematical theory of communities. Champaign, IL: University of Illinois Press.
40
Syaufina L. Ainuddin A. N. (2011). Impacts of fire on Southeast Asia tropical forests biodiversity: A review.Asian J. Plant Sci.10238–244. 10.3923/ajps.2011.238.244
41
Verma S. Jayakumar S. (2015). Post-fire regeneration dynamics of tree species in a tropical dry deciduous forest Western Ghats, India.Forest Ecol. Manag.34175–82. 10.1016/j.foreco.2015.01.005
42
Whelan R. J. (1995). The ecology of fire.Cambridge, MA: Cambridge University Press.
Summary
Keywords
fire frequency, forest fire, tree diversity, regeneration, Uttarakhand, Western Himalaya, India
Citation
Bargali H, Bhatt D, Sundriyal RC, Uniyal VP, Pandey A and Ranjan R (2023) Effect of forest fire on tree diversity and regeneration in the forests of Uttarakhand, Western Himalaya, India. Front. For. Glob. Change 6:1198143. doi: 10.3389/ffgc.2023.1198143
Received
31 March 2023
Accepted
05 June 2023
Published
18 July 2023
Volume
6 - 2023
Edited by
Zishan Ahmad Wani, Baba Ghulam Shah Badshah University, India
Reviewed by
Gajendra Singh, Uttarakhand Space Application Centre (USAC), India; Rupali Sharma, Dr. Yashwant Singh Parmar U.H.F, India; Pradeep Singh, Kumaun University, India
Updates
Copyright
© 2023 Bargali, Bhatt, Sundriyal, Uniyal, Pandey and Ranjan.
This is an open-access article distributed under the terms of the Creative Commons Attribution License (CC BY). The use, distribution or reproduction in other forums is permitted, provided the original author(s) and the copyright owner(s) are credited and that the original publication in this journal is cited, in accordance with accepted academic practice. No use, distribution or reproduction is permitted which does not comply with these terms.
*Correspondence: Himanshu Bargali, himanshubargali44@gmail.com; orcid.org/0000-0003-1364-2769Aseesh Pandey, draseeshpandey@gmail.com; orcid.org/0000-0001-8063-2646
Disclaimer
All claims expressed in this article are solely those of the authors and do not necessarily represent those of their affiliated organizations, or those of the publisher, the editors and the reviewers. Any product that may be evaluated in this article or claim that may be made by its manufacturer is not guaranteed or endorsed by the publisher.