Abstract
Introduction:
As global urbanization intensifies, the physical and mental stressors of modern life have led to the growing prevalence of suboptimal health conditions. Spending time in a forest benefits human health and well-being. In this context, based on the forest spatial types (forest interior and forest edge spaces), landscape elements (architecture, water and roads) and forest stands (coniferous, broadleaf and bamboo forests), this study investigated the effects of different forest spatial landscape characteristics on the restorative potential for college students, aesthetic preference and eye movement behavior (total fixation duration and fixation count).
Methods:
In this study, a total of 60 subjects were exposed to 42 photographs depicting typical forest landscapes acquired through field studies. The Short-version Revised Restoration and Preference Scale and eye-tracking technology, were employed to study the recovery efficiency and visual attraction of forest spatial of different forest spatial types, element compositions and forest stands.
Results:
(1) The restorative potential and aesthetic preference score of forest edge spaces were significantly higher than those of forest interior spaces. (2) The restorative potential of bamboo forests was significantly higher than those of coniferous and broadleaf forests. (3) In terms of forest interior space, the restorative potential of “forest + 1 element” composition and “forest + 2 elements” composition was significantly higher than that of pure forest, and the restorative potential of interior space of bamboo forest was significantly higher than those of coniferous and broadleaf forests. (4) In terms of forest edge space, the restorative potential of “forest + 2 elements” composition was significantly higher than that of pure forest, and the restorative potential of pure forests was significantly higher than that of the “forest + 1 element” composition. (5) The restorative potential of forest spatial landscape characteristics positively correlated with aesthetic preference and negatively correlated with total fixation duration and fixation count. These results can provide a reference for future forest landscape research, construction and management.
1. Introduction
With the intensification of global urbanization, physical and mental pressure from the impact of life has resulted in the increasing prominence of sub-health problems such as high blood pressure, anxiety, depression, etc., (Gong et al., 2012; McKenzie et al., 2013). There is a growing emphasis on the environmental qualities of natural areas such as landscape and soundscape by the public. The natural environment influences human cognition, perception, behavior, and emotions. Viewing and hearing nature has been proven to have restorative benefits (Van den Berg et al., 2016; Jahani et al., 2021), including restoring attention (Kaplan and Kaplan, 1989) and reducing stress (Ulrich, 1981), which helps to improve human health. To reduce the negative impact of urban environment on residents, increasing numbers of researchers have begun to pay attention to the positive role of forest environments (Sonntag-Öström et al., 2014; Song et al., 2015). Previous studies have shown that high-density vegetation can effectively restore the attention of participants and evoke their most positive mood (Chiang et al., 2017). Thus, forest interior spaces with higher vegetation density can more effectively restore attention than forest edge spaces and exterior spaces. Some researchers have concluded that the forest environment with light is a positive factor for restoration (Sonntag-Öström et al., 2011), and people tend to choose relatively open woodlands or forest landscapes because these spaces are pleasant to look at and physically accessible (Gill et al., 2015). In addition, researchers have found that different landscape types, such as lakes, lawns and topography; landscape elements, such as plants and water; and landscape components, such as bamboo forests, pavilions and flagstone pavements; have different effects on physiological and psychological restoration (Deng et al., 2020a). Landscape elements, such as greenery, lawns and benches, are crucial to the restorative experience of an urban forest environment (Vujcic and Tomicevic-Dubljevic, 2018). College students found that forests of Betula platyphylla were more effective at alleviating anxiety from employment pressure than Acer and Querces forests (Guan et al., 2017). Old forests and mature stands are more restorative than young stands (Simkin et al., 2020). These studies indicate that the forest environments vary in their effects on restoration. Spatial types, element compositions and forest stands have different effects on restoration. However, there are few studies on the differential effects on restoration between them.
Studies on preferences describe the forest environments that people seek out and want to visit. The early studies on forest environmental preference only compared different spatial types, such as the study by Paletto et al. (2013) that investigated the perceptions of individuals on forest management. The results showed that the respondents generally preferred mixed and open forests with a high degree of natural diversity and a well-articulated structure. Chiang et al. (2017) concluded that individuals prefer the locations of forest from the interior to exterior, as well as medium to low vegetation density. However, these studies did not analyze the role of specific landscape elements, and their conclusions are too limited to guide the construction of forest landscapes. Recent studies have shown that landscape elements affect the assessment of environmental preference (Jahani and Saffariha, 2020; Li J. et al., 2020), and subjects prefer natural landscapes characterized by forests and water rather than grasslands, rocks and human infrastructure (Pastorella et al., 2017). In addition to forest colors and vegetation, individuals also focus on unique or interesting landscape elements (Gao et al., 2020). Forest tourists prefer stands with a closed canopy and ground vegetation (Ebenberger and Arnberger, 2019). The emergence of natural dead trees, fallen trunks and artificial traces will significantly negatively impact their perception of forest landscapes (Arnberger et al., 2018; Rathmann et al., 2020). Therefore, it is highly significant to explore aesthetic preferences for forest spatial types, element compositions and forest stands to guide the construction of forest landscapes.
To compare the differences in restorative potential and aesthetic preference differences of forest spatial landscape characteristics, we need to use tools to evaluate and accurately express the perception of forest environment restoration and preference (Tenngart and Hagerhall, 2008). Previous studies used many scales as the measurement standards of restorative environment, including the Perceived Restorativeness Scale (PRS; Hartig et al., 1997), Restorative State Scale (RSS; Van den Berg et al., 2014) and Short-version Revised Restoration Scale (SRRS; Han, 2003). There are many PRS projects with 28 questions that focus on the perception of restorative environments or assess the possibility of environmental restoration. The RSS is composed of nine sentences, and it is commonly used to evaluate changes in the restorative state of participants with time before and after intervention (Ha and Kim, 2021). The SRRS is a more streamlined version that was developed based on the Self-rating Restoration Scale (RS), which has eight questions, including topics related to both personal restorative state and the evaluation of environmental restoration. Both correlation analysis and PCA showed that the convergent construct validity and divergent construct validity of the SRRS were satisfactory. Deng et al. (2020b) drew from the SRRS scale to develop the Short-version Revised Restoration and Preference Scale (SRRPS) to evaluate the psychological restoration and aesthetic preference under natural environmental stimulation. The SRRPS consists of five dimensions and nine questions that involve emotion, physiology, cognition, behavior and aesthetic preference, such as “My breathing becomes gentle,” and “The landscape here is very beautiful.” It is a feasible scale to evaluate the potential of environmental restorative potential and aesthetic preference.
Eye-tracking technology is a feasible technique to use to analyze the attraction of a landscape. The information of eye-tracking can be used to assist in explaining landscape preference because this technology can automatically establish two types of objective visualization images (a heat map and a gaze plot; Conniff and Craig, 2016; Noland et al., 2017). Typically, the elements in the landscape are established to specific Areas of Interest (AOI), and the eye-tracking data in these AOIs are analyzed in more detail and calculated (Huang and Lin, 2020). Studies have shown that the total duration of fixation and fixation count of stimulus materials are considered to be attractive judgments (Behe et al., 2015, 2020), and the fixation count significantly positively correlates with the subjective preference rating (Zheng et al., 2021). In poor restorative environments, eye movements fixate more frequently for shorter durations (Martínez-Soto et al., 2019). Studies have shown that compared with an urban environment, there are fewer eye movements when the natural environment is observed. The average fixation count significantly negatively correlates with the environmental restorative potential because observing the natural environment requires less cognitive effort than observing an urban environment (Franěk et al., 2018). Therefore, an analysis of fixation indicators can provide new insights to study the restoration of forest spatial landscape characteristics. In this study, we asked the following questions:
-
Which forest spatial types, element compositions and forest stands are more restorative and attractive?
-
What is the correlation between the restorative potential of forest spatial landscapes and aesthetic preference and fixation indicators?
2. Materials and methods
2.1. Forest spatial landscape classification
Owing to the complex composition of the forest environment, it is difficult to simultaneously explore all the forest spatial types, landscape elements and forest stands. Therefore, this study refers to previous studies and combines their findings with on-site forest investigations and actual situation of forests (Chiang et al., 2017). Through this process, the current common ways of combining landscape spaces and elements were identified. This resulted in the use of two forest spatial types, seven element compositions and three forest stands from the spatial, element and stand levels (Table 1), which formed 42 combinations of forest spatial landscapes. The reason for the introduction of bamboo forests in this study is that China is known as the “World Bamboo Kingdom” and has rich bamboo resources known as the second forest (Wang et al., 2020).
Table 1
| Classification | Meaning |
|---|---|
| Two forest spatial types | Forest interior space (FIS), forest edge space (FES). |
| Seven element compositions | Pure forest (F0), “forest +1 element” composition (F1: forest + roads, forest + architecture, forest + water), “forest +2 elements” composition (F2: forest + roads + water, forest + roads + architecture, forest + architecture + water). |
| Three forest stands | Coniferous forest (Co), broadleaf forest (Br), bamboo forest (Ba). |
Classification and meaning of forest spatial landscapes.
2.2. Stimulus
In this study, photos of forest landscapes were selected as the stimulus materials. Photographs can be conveniently operated and strongly controlled for an experiment. Many studies of landscape restoration benefits and eye movement behavior have proven that there is no significant difference between viewing the photograph and viewing the actual landscape (Gao et al., 2019; Xiang et al., 2021). To ensure that the research was representative, we chose to collect photos in various forest landscapes in Yuping Mountain Forest, Micang Mountain Forest, and Shunan Bamboo Sea Forest (Supplementary Table S1). The three forests represent forest stands that were dominated by coniferous forests, broadleaf forests and bamboo forests, respectively.
Based on the Classification of forest spatial landscape in Table 1, we conducted our research from September to November 2020. During shooting, the following norms were observed: (1) Uniformly use the same camera (XT-100, Fuji Film Investment Co., Ltd., China) in a 16:9 ratio in landscape orientation; (2) Take photos when there is enough light, from 9:00 to 11:30 and 14:00 to 16:30, and turn off the flash; (3) Avoid photographing all external factors that may interfere with the perception of the crowd, such as pedestrians, facilities and other non-forest landscape elements; (4) The same researcher take all the photographs and take at a level close to the eye level (Chen et al., 2020; Zhang et al., 2021).
A total of 336 forest landscape photos were taken. We used the montage method after the pictures were screened, added, deleted and combined by professionals (Waldheim et al., 2014). A total of 42 photos were finally created for the experiment (Figure 1). Within the photographs, all landscape elements, except for the different forest stand and combinations, remained consistent. This approach was adopted to minimize potential influences arising from factors such as shooting angles, element appearances, landscape colors, and other visual variables. These photographs can simultaneously reflect forest spatial types, landscape elements, and stand types at the study site.
Figure 1

The 42 stimulus materials. (1) FIS0, pure forest in the forest interior space; FES0, pure forest in the forest edge space; (2) FIS1, “forest +1 element” composition in the forest interior space; FES1, “forest +1 element” composition in the forest edge space; (3) FIS2, “forest +2 elements” composition in the forest interior space; FES2, “forest +2 elements” composition in the forest edge space; (4) FIS-Co, coniferous forest interior space; FIS-Br, broadleaf forest interior space; FIS-Ba, bamboo forest interior space; (5) FES-Co, coniferous forest edge space; FES-Br, broadleaf forest edge space; FES-Ba, bamboo forest edge space.
2.3. Methods
2.3.1. Experimental site
The experiment was conducted in an academic building at Sichuan Agricultural University (Chengdu City, China; 103.861542°E, 30.705273°N) from November to December 2020. The experimental room was quiet and ventilated without any smells. The temperature was controlled at 19°C – 24°C, and the humidity was 40–50%.
2.3.2. Participants
Young people are frequent participants in forest tourism and are commonly chosen as a subject group (Kaplan and Herbert, 1987). Compared to the middle-aged and older age groups, young people tend to have fewer underlying health issues and often experience sub-health. On this basis, sixty participants were recruited, and their ages were between 18 and 28 (mean age: 20.86 ± 1.96 years; gender proportion: 1:1). There were equal numbers of men and women. All the participants had normal uncorrected or corrected visual acuity, such as wearing contact lenses. None of the participants were sick during the experiment. Smoking or drinking alcohol, coffee or functional drinks were not allowed before the experiment.
2.3.3. Indicators
Previous experience indicated that enthusiasm for the questionnaire will diminish significantly when it is too long. It was necessary to simultaneously evaluate the restorative potential and aesthetic preference of forest space landscapes owing to the large number of pictures. Therefore, SRRPS was selected (Deng et al., 2020b). All the questions were accurately translated into Chinese and evaluated using a Likert 7 scale (range from “1- totally disagree” to “7- totally agree”).
A Tobii Pro Glasses 2 head-mounted eye tracker system1 was used for the experiment. The total duration and count of fixation were selected for analysis combined with the heat maps. A longer duration of total fixation indicated that the participants spent more time interpreting the environment, and a higher fixation count indicated a greater degree of attention or interest in the landscape (Guo et al., 2017).
2.3.4. Procedure
We divided 42 photographs into four groups (Microsoft PowerPoint presentations, Redmond, CA, United States) to eliminate any effect from the sequence of photographs. Each photograph was scheduled to appear twice randomly, so each group contained 21 target photographs. These four groups had different modes of presentations and durations when applied to eye-tracking experiments and SRRPS (Figures 2A,B). The 60 participants were randomly divided into four groups, and 15 participants in each group watched the corresponding eye-tracking and SRRPS photographs. The study was conducted with the permission of the local Ethics Committee. The ethical approval number is SICAU202011150035.
Figure 2

Photographs presentation and flowchart for experiment. (A) The group for eye-tracking experiment; (B) the group for SRRPS experiment; (C) experimental flowchart.
We explained the procedure of the experiment in detail for each participant before starting it and obtained written informed consent. The participants entered the experimental room alone, faced the computer screen, sat in a comfortable chair, adjusted the viewing distance, and ensured that the vision was clear. The researchers assisted them in wearing and calibrating the eye tracker. After the beginning of the eye-tracking experiment, the participants watched eye-tracking photographs, and the researchers continued to record eye-tracking data. At the end of the eye-tracking experiment, after 2 min of relaxation, the participants watched the corresponding SRRPS photographs and filled out the questionnaire. The whole experiment was controlled within 30 min, and the experimental procedure is shown in Figure 2C.
2.4. Statistical analysis
We used Tobii Pro Lab (version 1.171.34906) from Tobii Pro Sweden (TOBII, Sweden) to render the collected eye-tracking data (excluding data with a sampling rate of <80%) and the stimulus materials. The AOI in each experimental photo was divided and exported into the heat maps and eye-tracking data. Microsoft Excel 2016 was utilized to quantify the eye-tracking and SRRPS data. The effective rate of eye-tracking data in this experiment was 83.3%, which is within the normal range (Lund, 2016). We used SPSS v. 26.0 (IBM, Inc., Armonk, NY, United States) to analyze the data as described: (1) The average score of the emotional, physiological, cognitive, and behavioral dimensions of SRRPS was used as the restorative potential score, and the score of one visual preference question was used as the aesthetic preference score. A one-way analysis of variance (ANOVA) is a statistical analysis method used to test for significant differences between the means of two and more samples and is commonly used in landscape preference studies (Schirpke et al., 2023; Zhou et al., 2023). We used it to compare the differences of restorative potential, aesthetic preference and fixation indicators, including total fixation duration and fixation A value of p < 0.05 was considered to indicate statistical significance. (2) A Spearman correlation coefficient analysis was used to study the relationship between restorative potential score and the aesthetic preference score and fixation indicators.
3. Results
3.1. The subjective score
3.1.1. Restorative potential score
A comparison of the restoration of different forest spatial types is shown in Figure 3A and observed that the restoration score of forest edge spaces (FES, 4.56) was significantly higher than that of the forest interior space (FIS, 4.19; p < 0.01). This difference suggests that a lower forest density and brighter forest edge environment could produce higher recovery benefits. In addition, we analyzed the restoration differences of different element compositions (Figure 3B). The results of the forest interior space showed that the restoration scores of FIS1 and FIS2 (4.28 and 4.24, respectively) were significantly higher than those of FIS0 (3.78; p < 0.01). In contrast, the analysis of forest edge spaces indicated that the restoration score of FES2 (4.95) was significantly higher than those of FES0 and FES1 (4.49 and 4.20, respectively; p < 0.01), and the restoration score of FES0 (4.49) was significantly higher than that of FES1 (4.20; p < 0.05). These values indicate that adding landscape elements in forests can result in an additional increase in the restoration of environment. However, the restoration of pure forests at the edge of forest was more effective than that of adding only one landscape element. A comparison of the restoration of different forest stands is shown in Figure 3C and indicated that the restoration score of bamboo forests (Ba, 4.53) was significantly higher than those of coniferous forests (Co, 4.33) and broadleaf forests (Br, 4.27; p < 0.05). In addition, we analyzed the difference in restoration of forest space composed of different forest stands (Figure 3D). Examination of the data on forest interior spaces indicated that the restoration score of bamboo internal space (FIS-Ba) was significantly higher than those of coniferous forests (FIS-Co) and broadleaf forests (FIS-Br), while the restoration score of forest edge spaces was not affected by different types of forests.
Figure 3

Restoration score of different forest spatial landscape characteristics. (A) Restoration score of different forest spatial types; (B) restoration score of different element compositions; (C) restoration score of different forest stands; (D) the restoration score of forest space composed of different forest stands. The data are mean ± standard deviation. *p < 0.05. **p < 0.01.
3.1.2. Aesthetic preference score
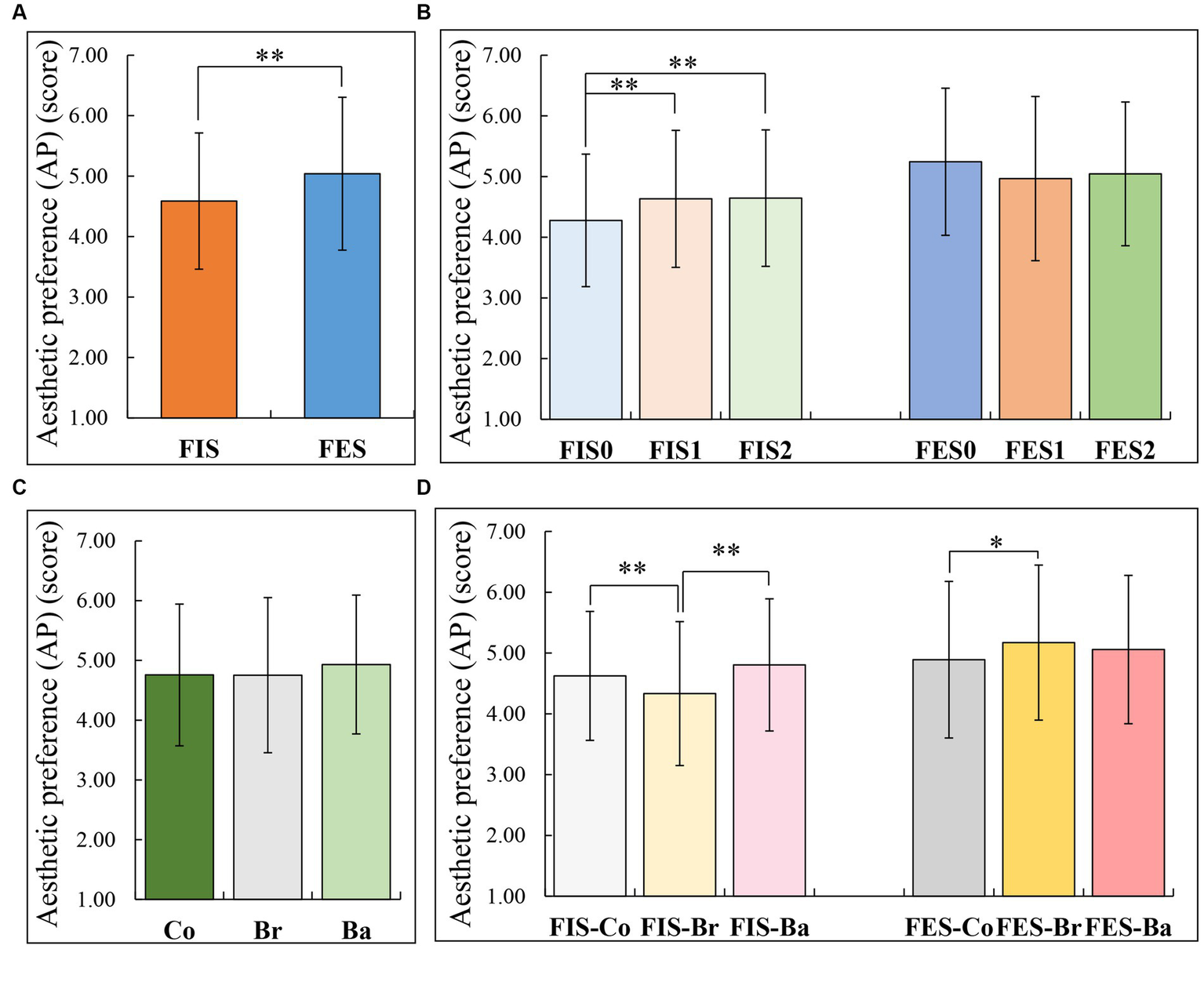
As shown in Figure 4A, we compared the aesthetic preference of different types of spatial forests and observed that the aesthetic preference score of the forest edge space (FES, 5.04) was significantly higher than that of the forest interior space (FIS, 4.59; p < 0.01), which is consistent with the results of restoration potential. In addition, we analyzed the differences in aesthetic preference of different element compositions (Figure 4B) and found that the aesthetic preference scores of FIS2 and FIS1 (4.64 and 4.63, respectively) were significantly higher than those of FIS0 (4.28; p < 0.01) in the forest interior space, while the aesthetic preference scores of the forest edge spaces were not affected by different element compositions. As shown in Figure 4D, we analyzed the differences of aesthetic preference in forest spaces composed of different stands. Viewing the forest interior spaces resulted in significantly higher aesthetic preference scores for FIS-Ba and FIS-Co (4.80 and 4.62, respectively) than those of the FIS-Br (4.33; p < 0.01). The aesthetic preference scores for the forest edge spaces were significantly higher for the FES-Br, and the aesthetic preference score (5.17) was significantly higher than that for the FES-Co (4.89; p < 0.05).
Figure 4

Aesthetic preference score of different forest spatial landscape characteristics. (A) Aesthetic preference score of different forest spatial types; (B) aesthetic preference score of different element compositions; (C) aesthetic preference score of different forest stands; (D) aesthetic preference score of forest space composed of different forest stands.
3.2. Eye movement behavior
3.2.1. Total fixation duration
As shown in Figure 5A, we compared the total fixation duration of different forest spatial types and found that the total fixation duration of forest interior spaces (FIS, 6.34 s) was significantly longer than that of the forest edge spaces (FES, 5.74 s; p < 0.01). In addition, we analyzed the differences in total fixation duration of different elements (Figure 5B). Viewing the forest interior spaces indicated that the total fixation duration of FIS2 (6.59 s) was significantly longer than that of FIS1 (6.17 s; p < 0.05) and FIS0 (5.89 s; p < 0.01). The total fixation duration of FES1 and FES2 (6.18 s and 5.90 s, respectively) for the forest edge spaces was significantly longer than that of FES0 (4.20 s; p < 0.01). Also, although no significant differences were observed, FES1 received more fixation duration than FES2. This result indicated that participants may not naturally pay more attention to images with multiple elements than to simpler photographs. We compared the total fixation duration of different forest stands, and the total fixation duration of coniferous forests (Co, 6.06 s) was significantly higher than that of broadleaf forests (Br, 5.61 s; p < 0.05; Figure 5C).
Figure 5

Total fixation duration of different forest spatial landscape characteristics. (A) Total fixation duration of different forest spatial types; (B) total fixation duration of different element compositions; (C) total fixation duration of different forest stands; (D) total fixation duration of forest spaces composed of different forest stands.
3.2.2. Fixation count
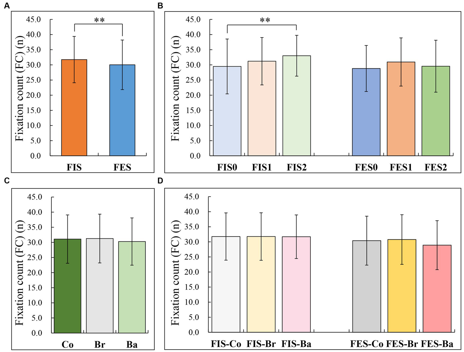
As shown in Figure 6A, we compared the fixation count in different forest spatial types and found that the fixation count in forest interior spaces (FIS, 31.7-fold) was significantly higher than that in forest marginal spaces (FES, 30-fold; p < 0.01). In addition, we analyzed the difference in fixation count of different element compositions (Figure 6B) and found that the fixation count of FIS2 (33.0-fold) was significantly higher than that of FIS0 (39.5-fold; p < 0.01) for the forest interior spaces.
Figure 6

Fixation count of different forest spatial landscape characteristics. (A) Fixation count of different forest spatial types; (B) fixation count of different elements; (C) fixation count of different forest stands; (D) the count of forest spatial fixation composed of different forest stands.
3.2.3. Attention characteristics
The position of attention of the subjects and duration, as well as their attention to forest spatial landscape elements, differed significantly when different forest spatial landscapes were viewed in some representative heat maps (Figure 7). A total of 42 forest spatial landscape characteristics heat maps are shown in Supplementary Figure S1. The distribution and duration of the fixation positions were more dispersed when the fixation points in forest edge spaces were viewed; the fixation duration was shorter, and the fixation points in the forest interior spaces were more concentrated with a longer fixation duration (Figures 7A,B). The fixations of the subjects on coniferous and bamboo forests tended to depict straight trunks, with fixations distributed along the trunks, resulting in more concentrated and longer fixation durations; the subjects had a wide range of fixation points and a shorter fixation duration in broadleaf forests (Figures 7B–D).
Figure 7

Heat maps of different forest spatial landscape characteristics. (A) FES-Co; (B) FIS-Co; (C) FIS-Ba; (D) FIS-Br; (E) FIS1 (bamboo forest + architecture); (F) FIS1(bamboo forest + road); (G) FIS1 (bamboo forest + water); (H) FIS2 (broadleaf forest + architecture + road); (I) FIS2 (coniferous forest + road + water); (J) FES1 (bamboo forest + architecture); (K) FES2 (coniferous forest + road + water); (L) FES2 (coniferous forest + architecture + water). The heat maps show the location and absolute count of attention of the subjects. The red spots represent the most frequent and most interesting area, and the green spots represent the least frequent and interesting area. FES, forest edge space; FIS; forest interior space.
In terms of attention to the landscape elements of forest space, when the forest landscape of “forest +1 element” composition was viewed, the subjects paid more attention to the architecture, and in particular, they were attentive to the words of the architecture (e.g., the name of the architecture; Figure 7E). In contrast, while watching water and roads, they preferred to depict their contours, and the line of sight diverged along the shape of the elements (Figures 7F,G). When watching the forest landscape of “forest +2elements” composition, the subjects paid high attention to the architecture. Their attention points were more concentrated on the plaques of architecture, which had emotional words (Figure 7H). In contrast, their points of attention to water and roads were relatively scattered (Figure 7I). When viewing the forest edge landscape of “forest +1 element” composition, the attention points of subjects were divergent; they preferred to look at a point in the landscape elements for a long time (Figure 7J). When watching the forest edge landscape of “forest + two elements” composition, their attention points were distributed over a large range, and the visual range was more extensive. The boundary between water and roads is more concentrated (Figure 7K). Simultaneously, they also paid attention to the reflection in open lake (Figure 7L).
3.3. Correlation analysis
3.3.1. Relationship between the restorative potential, aesthetic preference and fixation indicators
In general, the restorative potential of forest spatial landscapes positively correlated with aesthetic preference (Table 2A; p < 0.01) and negatively correlated with the total fixation duration and fixation count (p < 0.01). In other words, a higher restorative potential of forest spatial landscape resulted in a higher score of aesthetic preference. In contrast, a shorter period of total fixation duration resulted in a lower fixation count and vice versa. This is consistent with the findings of previous studies that indicate that aesthetic preference plays a vital role in the experience of relaxation and decompression (Herzog et al., 2003; Wang et al., 2019; Deng et al., 2020b). Kaplan’s attention restoration theory concluded that soft fascination is attractive, but it does not allow direct attention. The observation of highly charming scenes does not easily cause unconscious attention (Huang and Lin, 2020). Thus, the fixation count in highly restorative environments is significantly lower than that in poor restorative environments (Berto et al., 2008). A longer attention span indicates that there is more effort in cognition and information extraction (Kennedy, 2016), and a greater cognitive effort is required to address environments that are less restorative.
Table 2
| (A) Different forest spatial types | |||
|---|---|---|---|
| FIS + FES | FIS | FES | |
| AP | 0.097** | 0.109* | 0.045 ns |
| TFD | −0.104** | −0.056 ns | −0.114* |
| FC | −0.100** | −0.056 ns | −0.115* |
| n | 1,050 | 525 | 525 |
| (B) Different element compositions | ||||||
|---|---|---|---|---|---|---|
| FIS0 | FIS1 | FIS2 | FES0 | FES1 | FES2 | |
| AP | −0.053 ns | 0.254** | −0.025 ns | −0.141 ns | 0.032 ns | 0.155* |
| TFD | 0.024 ns | −0.191** | 0.029 ns | −0.032 ns | −0.092 ns | −0.182* |
| FC | 0.024 ns | −0.191** | 0.029 ns | 0.071 ns | −0.092 ns | −0.182* |
| n | 75 | 225 | 225 | 75 | 225 | 225 |
| (C) Different forest stands | |||
|---|---|---|---|
| Co | Br | Ba | |
| AP | 0.162** | 0.066 ns | 0.056 ns |
| TFD | −0.131* | −0.141* | −0.037 ns |
| FC | −0.114 ns | −0.156** | −0.022 ns |
| n | 350 | 350 | 350 |
| (D) Forest spatial composition of different forest stands | ||||||
|---|---|---|---|---|---|---|
| FIS-Co | FIS-Br | FIS-Ba | FES-Co | FES-Br | FES-Ba | |
| AP | 0.220** | −0.044 ns | 0.095 ns | 0.079 ns | 0.037 ns | 0.016 ns |
| TFD | −0.024 ns | −0.083 ns | −0.025 ns | −0.165* | −0.153 ns | −0.038 ns |
| FC | −0.024 ns | −0.083 ns | −0.025 ns | −0.144 ns | −0.207* | −0.012 ns |
| n | 175 | 175 | 175 | 175 | 175 | 175 |
The correlation results between the restorative potential of different forest spatial landscape characteristics and aesthetic preference and fixation indicators.
Spearman correlation coefficient. *p < 0.05 (double tail). **p < 0.01 (double tail). ns, no significant difference; AP, aesthetic preference; TFD, total fixation duration; FC, fixation count; FIS, forest interior spaces; FES, forest edge spaces.
After a more detailed delineation of the forest space, additional correlation analysis indicated that the restorative potential was not related to aesthetic preference and fixation indicators (Tables 2B–D) in the forest interior and exterior spaces with different stand types or number of elements. The total fixation duration and fixation count at multiple levels indicate that aesthetic preference cannot be simply related to restorative potential and eye movement fixation indicators. Thus, the factors that affect forest environmental restoration merit further study.
3.3.2. Relationship between aesthetic preference and fixation indicators
A correlation analysis between the aesthetic preference and fixation index of different forest spatial landscape characteristics clearly indicated that a significant positive correlation between aesthetic preference and total fixation duration and fixation count was only observed in the interior space of broadleaf forests (FIS-Br; p < 0.05; Table 3).
Table 3
| FIS-Co | FIS-Br | FIS-Ba | FES-Co | FES-Br | FES-Ba | |
|---|---|---|---|---|---|---|
| TFD | −0.020 ns | 0.213* | −0.019 ns | 0.004 ns | −0.094 ns | −0.106 ns |
| FC | −0.020 ns | 0.213* | −0.019 ns | 0.044 ns | −0.128 ns | −0.059 ns |
| n | 175 | 175 | 175 | 175 | 175 | 175 |
Correlation results between forest spatial aesthetic preferences and fixation indicators of different forest stand types.
Spearman correlation coefficient. *p < 0.05 (double tail). **p < 0.01 (double tail). ns, no significant difference; TFD, total fixation duration; FC, fixation count; FIS, forest interior spaces; FES, forest edge spaces.
Previous studies that utilized eye movements when evaluating natural landscapes showed that the evaluation of landscape spatial quality positively correlated with the fixation duration and fixation count (Guo et al., 2017), but this study only found a positive correlation in the FIS-Br group. The perspective of image fractal structure should be considered in these types of studies. The research of Franěk et al. (2019) on fixation found that images with higher fractal complexity resulted in fewer numbers of fixations, indicating that it is one-sided to simply link fixation with aesthetic preference. Thus, the factors that affect fixation merit further study.
4. Discussion
4.1. Effects of different forest spatial types on the restorative potential and aesthetic preference
Different spatial structures could lead to differences in physical and mental restoration. Relevant spatial structure theory delineates that those good results of spatial perception are physical and mental pleasure caused by the external environment (Gehl, 1987). Previous studies on biodiversity have shown that forest interiors are more biodiverse than the forest edge and forest exterior spaces. They have complex multi-layer vegetation structure and are good habitats, which could lead to more effective restorative responses (Budd, 1996). In addition, a moderate level of vegetation will lead to the best recovery results (Jiang et al., 2014). The forest can more effectively improve the emotions of participants, and high-density vegetation can induce a more positive mood (Chiang et al., 2017). However, our study found that the forest edge spaces provided more obvious restoration to the participants. The reason could be that the levels of vegetation in the pictures of forest interior spaces in previous studies were rich, and the forest edge vegetation appeared to be neat and rigid. This study controlled this error by ensuring that the forest landscapes displayed in the pictures were as consistent as possible in terms of vegetation levels and landscape elements except for large differences in canopy density. Thus, our stimulus materials were sufficient. In addition, the landscape of forest edge spaces is more open and transparent, which enables the observation of a broader vision. This more transparent and bright forest edge space results in higher restoration. This also confirms research by Li C. et al. (2020) in which the level of brightness of the forest landscape will lead to differences in physiological and psychological restoration. Bright sunny scenes more effectively alleviate the pressure.
4.2. Effect of different element compositions on the restorative potential and aesthetic preference
Previous studies have shown that landscape elements related to nature, such as tree richness, water, flowers, and slopes among others, can further increase the restoration of the natural environment (Stigsdotter et al., 2017; Jahani, 2019; Wang et al., 2019). The researchers applied artificial intelligence modeling techniques to develop RBF (radial basis function), SVM (Support Vector Machine), and MLP (Multi-layer perceptron) models for predicting the visual quality of forest and park landscapes. They found that landscapes with more water bodies, rocky hills, flowers and decorations cover have higher potential for aesthetic and mental restoration (Jahani and Rayegani, 2020; Jahani and Saffariha, 2020, 2021; Jahani et al., 2022). This is close to the results of this study. We found that whether in the internal space of the forest or the edge space of the forest, the restorative potential of the forest landscape was significantly enhanced after one or two nature-mimicking landscape elements were added to the pure forest. Compared with completely natural forests (Gundersen and Helge, 2011), particularly in areas with dense vegetation, it is preferable to place paths or trails, which may increase the readability of forests and enhance the restoration of environment (Kaplan, 2007; Eriksson and Nordlund, 2013). Among the three landscape elements, architecture was the most likely to cause a visual response from the participants, followed by water. Previous studies have also shown that in the natural environment, flowers, characteristic architecture and sculptures can improve the visual response of the environment (Todorova et al., 2004; Weber et al., 2014), and participants are more satisfied after viewing forest waterscape spaces (Gao et al., 2020). In this study, we also found that the restoration of pure forest in the forest edge spaces was higher than that of the “forest +1 element” composition, which could be that the pure forest foreground in the forest edge space is a lawn. Forest lawns are usually considered as places for camping, rest and private conversation (Liu et al., 2019), which can promote physical and mental relaxation, and therefore, have more restorative potential.
Although previous studies have confirmed that human traces may lead to negative effects, such as ground paving, enclosure materials and activity facilities, because most of these hard landscape components, such as pavilions, planting beds and retaining walls, are poorly maintained (Acar et al., 2006; Jahani and Saffariha, 2020). However, the selected landscape elements in this study were well maintained and could be coordinated with the selected forests, such as architecture with forest cultural characteristics and lakes with sculptures. These cultural and artistic elements are generally considered to be highly restorative and tend to attract more attention and serve as an important source of discovery for new things (Packer and Bond, 2010). Tourists prefer to stay in such a natural environment, and some environments that are well maintained actually make it easier for people to recover (Zhao et al., 2018).
4.3. Effects of different forest stands on the restorative potential and aesthetic preference
In Chinese culture, meaningful native species and plants can help to stimulate pleasant memories and evoke cultural identity (Lu et al., 2021). Bamboo has a long history of cultivation in China. People not only like the shape of bamboo but also appreciate its cultural connotations. Bamboo has solid roots and straight stems. It is firm and upright and has always been compared to a gentleman. Therefore, compared with coniferous forest (Cryptomeria and Metasequoia) and broadleaf forest (Cyclobalanopsis) landscapes, bamboo forest (Phyllostachys) landscapes are considered to be more restorative because of their cultural attributes.
Furthermore, the restorative potential and aesthetic preference of bamboo and coniferous forests are higher than those of broadleaf forests in the interior spaces of forests. This could be because the trunks of bamboo and coniferous forests are slender and straight and look neater on a detailed scale. Aesthetic value of broad leaves forest might be correlated to the number of species, tree and canopy density. However, the forest landscapes with the higher rate of Alnus subcordata and Carpinus betulus species, the aesthetic quality reduces (Jahani et al., 2023). The Fagaceae-dominated broadleaf forests selected for this study might contain a mixture of species that reduce aesthetic quality. In contrast, the trunks in broadleaf forests are more curved, which makes them appear chaotic. In addition, the leaves of bamboo are light green; those of coniferous forests are dark green, and the leaves in broadleaf forests are yellow green. Studies have shown that leaf color (green, light green, yellow-green, green-red, and greenish white) can improve the relaxation and emotional state of college students in different countries (Liu et al., 2021). Green and green-white plants can induce relaxation and calmness in most Japanese students, and light green and greenish yellow most effectively stimulate the calm and happy emotions of Egyptian students. Therefore, it is also possible that the differences in leaf colors affect the restoration of the three forest landscapes. However, in the middle scale of forest edge spaces, the field of vision is more open. Therefore, the subjects pay more attention to the outline of the forest. There is little difference in the trunks and colors of the three forests, so there is no significant difference in restoration.
4.4. Implications for future forest landscape design
As one of the elements participating in the landscape, people connect with the environment through physiological and psychological responses (Deng et al., 2020a). Different types of landscapes, spaces and elements have different psychophysiological effects on the human (Chiang et al., 2017; Guan et al., 2017; Noland et al., 2017). It is necessary to assess the public’s forest aesthetic preferences, which can inform landscape theories and guide the planning and management of urban parks, urban forests, forest landscapes, etc., (Zhang et al., 2021; Chen et al., 2023; de la Fuente de Val, 2023; Wang et al., 2023; Yuan et al., 2023; Zhou et al., 2023). In this study, we applied psychophysical measures to explore the effects of different landscape stimulations on physiological and psychological changes in human restorative experiences and differences in visual attraction from objective (restorative potential) and subjective (aesthetic preference) perspectives. This indicates that the two important factors in attracting crowds are the spaciousness of space and the richness of elements. Some certain sources of cultural or emotional influence may be more attractive and more beneficial to people. In addition, a highly-beneficial forest landscape should not only emphasize the positive impacts of the natural forest itself, but also focus on the integration between natural forest and artificial landscape elements. In the design of future forest, this finding suggests a lower forest density to produce a brighter and more open environment, meanwhile, add culture-related and art-related landscape components which could evoke positive emotion resulting in higher restoration and attractiveness.
4.5. Limitations
Alternatively, the division of forest spatial landscape merits further optimization. This study only focused on forests characterized by simple composition and selected the most basic landscape elements. Some special elements, such as forest facilities and understory vegetation, need to be considered in future research.
Secondly, the architectures selected in this study have some text. The word may have attracted the participants’ visual attention and thus had confounded the fixation data for the buildings. In future studies, buildings without text and with simple colors should be selected to eliminate this effect.
Thirdly, this study only selected college students as the subjects, and the applicability of the study is limited. In the future, participants of different ages and different professional backgrounds should be recruited for further research. In addition, only 60 subjects were recruited in this study. Increasing the number of participants could enhance result accuracy, and enlarging the sample size is advisable to mitigate potential bias in future experiments.
Finally, the photographs in this study were taken in early autumn. Differences in forest restoration and aesthetic preferences in other seasons should be further considered in the future.
Statements
Data availability statement
The raw data supporting the conclusions of this article will be made available by the authors, without undue reservation.
Ethics statement
The studies involving humans were approved by Ethics Committee of Sichuan Agricultural University. The studies were conducted in accordance with the local legislation and institutional requirements. The participants provided their written informed consent to participate in this study.
Author contributions
YW and GL: conceptualization, methodology, formal analysis, writing – original draft, writing – review and editing, visualization, conceptualization, methodology, investigation, and visualization. MJ: conceptualization, methodology, writing – review and editing, and funding acquisition. QY, BL, and NL: investigation. ZL, HS, XL, QC, JD, and XY: writing – review and editing. All authors contributed to the article and approved the submitted version.
Funding
This research was funded by the Natural Science Foundation of Sichuan Province (grant number 2022NSFSC0097) and the financial support for the Sichuan Science and Technology Program (grant number 2021YFYZ0006).
Conflict of interest
The authors declare that the research was conducted in the absence of any commercial or financial relationships that could be construed as a potential conflict of interest.
Publisher’s note
All claims expressed in this article are solely those of the authors and do not necessarily represent those of their affiliated organizations, or those of the publisher, the editors and the reviewers. Any product that may be evaluated in this article, or claim that may be made by its manufacturer, is not guaranteed or endorsed by the publisher.
Supplementary material
The supplementary material for this article can be found online at: https://www.frontiersin.org/articles/10.3389/ffgc.2023.1218134/full#supplementary-material
Footnotes
References
1
Acar C. Kurdoglu B. C. Kurdoglu O. Acar H. (2006). Public preferences for visual quality and management in the Kackar Mountains National Park (Turkey). Int. J. Sustain. Dev. World Ecol.13, 499–512. doi: 10.1080/13504500609469699
2
Arnberger A. Ebenberger M. Schneider I. E. Cottrell S. Schlueter A. C. von Ruschkowski E. et al . (2018). Visitor preferences for visual changes in bark beetle-impacted Forest recreation settings in the United States and Germany. Environ. Manag.61, 209–223. doi: 10.1007/s00267-017-0975-4
3
Behe B. K. Bae M. Huddleston P. T. Sage L. (2015). The effect of involvement on visual attention and product choice. J. Retail. Consum. Serv.24, 10–21. doi: 10.1016/j.jretconser.2015.01.002
4
Behe B. K. Huddleston P. T. Childs K. L. Chen J. Muraro I. S. (2020). Seeing through the forest: the gaze path to purchase. PLoS One15:e0240179. doi: 10.1371/journal
5
Berto R. Massaccesi S. Pasini M. (2008). Do eye movements measured across high and low fascination photographs differ? Addressing Kaplan's fascination hypothesis. J. Environ. Psychol.28, 185–191. doi: 10.1016/j.jenvp.2007.11.004
6
Budd W. W. (1996). “Land mosaics: the ecology of landscapes and regions” in Landscape and Urban Planning. ed. FormanR. T. T., vol. 36 (Cambridge: Cambridge University Press), 229–231.
7
Chen Y. Ma Q. Xu L. Shi Y. Lu Z. Wu Y. et al . (2023). Spatial sight analysis of Hangzhou Xiaoyingzhou based on tourists’ landscape preference. Front. Archit. Res. doi: 10.1016/j.foar.2023.08.003
8
Chen J. Zhou C. Li F. (2020). Quantifying the green view indicator for assessing urban greening quality: an analysis based on internet-crawling street view data. Ecol. Indic.113:106192. doi: 10.1016/j.ecolind.2020.106192
9
Chiang Y.-C. Li D. Jane H.-A. (2017). Wild or tended nature? The effects of landscape location and vegetation density on physiological and psychological responses. Landsc. Urban Plan.167, 72–83. doi: 10.1016/j.landurbplan.2017.06.001
10
Conniff A. Craig T. (2016). A methodological approach to understanding the wellbeing and restorative benefits associated with greenspace. Urban For. Urban Green.19, 103–109. doi: 10.1016/j.ufug.2016.06.019
11
Deng L. Li X. Luo H. Fu E.-K. Ma J. Sun L.-X. et al . (2020a). Empirical study of landscape types, landscape elements and landscape components of the urban park promoting physiological and psychological restoration. Urban For. Urban Green.48:126488. doi: 10.1016/j.ufug.2019.126488
12
Deng L. Luo H. Ma J. Huang Z. Sun L.-X. Jiang M.-Y. et al . (2020b). Effects of integration between visual stimuli and auditory stimuli on restorative potential and aesthetic preference in urban green spaces. Urban For. Urban Green.53:126702. doi: 10.1016/j.ufug.2020.126702
13
Ebenberger M. Arnberger A. (2019). Exploring visual preferences for structural attributes of urban forest stands for restoration and heat relief. Urban For. Urban Green.41, 272–282. doi: 10.1016/j.ufug.2019.04.011
14
Eriksson L. Nordlund A. (2013). How is setting preference related to intention to engage in forest recreation activities?Urban For. Urban Green.12, 481–489. doi: 10.1016/j.ufug.2013.07.004
15
Franěk M. Petružálek J. Šefara D. (2019). Eye movements in viewing urban images and natural images in diverse vegetation periods. Urban For. Urban Green.46:126477. doi: 10.1016/j.ufug.2019.126477
16
Franěk M. Šefara D. Petružálek J. Cabal J. Myška K. (2018). Differences in eye movements while viewing images with various levels of restorativeness. J. Environ. Psychol.57, 10–16. doi: 10.1016/j.jenvp.2018.05.001
17
Gao T. Liang H. Chen Y. Qiu L. (2019). Comparisons of landscape preferences through three different perceptual approaches. Int. J. Environ. Res. Public Health16:4754. doi: 10.3390/ijerph16234754
18
Gao Y. Zhang T. Zhang W. Meng H. Zhang Z. (2020). Research on visual behavior characteristics and cognitive evaluation of different types of forest landscape spaces. Urban For. Urban Green.54:126788. doi: 10.1016/j.ufug.2020.126788
19
Gehl J. (1987) Life between Buildings: Using Public Space. Washington DC: Island Press.
20
Gill N. Dun O. Brennan-Horley C. Eriksen C. (2015). Landscape preferences, amenity, and bushfire risk in New South Wales, Australia. Environ. Manag.56, 738–753. doi: 10.1007/s00267-015-0525-x
21
Gong P. Liang S. Carlton E. J. Jiang Q. Wu J. Wang L. et al . (2012). Urbanisation and health in China. Lancet379, 843–852. doi: 10.1016/S0140-6736(11)61878-3
22
Guan H. Wei H. He X. Ren Z. An B. (2017). The tree-species-specific effect of forest bathing on perceived anxiety alleviation of young-adults in urban forests. Ann. For. Res.327–341. doi: 10.15287/afr.2017.897
23
Gundersen V. Helge F. L. (2011). Naturally dead and downed wood in Norwegian boreal forests: public preferences and the effect of information. Scand. J. For. Res.26, 110–119. doi: 10.1080/02827581.2010.536567
24
Guo S.-L. Zhao N.-X. Zhang J.-X. Liu P.-X. Xu S. Xu D.-D. (2017). Landscape visual quality assessment based on eye movement: college student eye-tracking experiments on tourism landscape pictures(in Chinese). Resour. Sci.39, 1137–1147. doi: 10.18402/resci.2017.06.13
25
Ha J. Kim H. J. (2021). The restorative effects of campus landscape biodiversity: assessing visual and auditory perceptions among university students. Urban For. Urban Green.64:127259. doi: 10.1016/j.ufug.2021.127259
26
Han K.-T. (2003). A reliable and valid self-rating measure of the restorative quality of natural environments. Landsc. Urban Plan.64, 209–232. doi: 10.1016/S0169-2046(02)00241-4
27
Hartig T. Korpela K. Evans G. Gärling T. (1997). A measure of restorative quality in environments. Scand. Housing Plann. Res.14, 175–194. doi: 10.1080/02815739708730435
28
Herzog T. R. Colleen M. P. Nebel M. B. (2003). Assessing the restorative components of environments. J. Environ. Psychol.23, 159–170. doi: 10.1016/S0272-4944(02)00113-5
29
Huang A. S.-H. Lin Y.-J. (2020). The effect of landscape colour, complexity and preference on viewing behaviour. Landsc. Res.45, 214–227. doi: 10.1080/01426397.2019.1593336
30
Jahani A. (2019). Forest landscape aesthetic quality model (FLAQM): a comparative study on landscape modelling using regression analysis and artificial neural networks. J. For. Sci.65, 61–69. doi: 10.17221/86/2018-JFS
31
Jahani A. Allahverdi S. Saffariha M. Alitavoli A. Ghiyasi S. (2022). Environmental modeling of landscape aesthetic value in natural urban parks using artificial neural network technique. Model. Earth Syst. Environ.8, 163–172. doi: 10.1007/s40808-020-01068-2
32
Jahani A. Kalantary S. Alitavoli A. (2021). An application of artificial intelligence techniques in prediction of birds soundscape impact on tourists’ mental restoration in natural urban areas. Urban For. Urban Green.61:127088. doi: 10.1016/j.ufug.2021.127088
33
Jahani A. Rayegani B. (2020). Forest landscape visual quality evaluation using artificial intelligence techniques as a decision support system. Stoch. Env. Res. Risk A.34, 1473–1486. doi: 10.1007/s00477-020-01832-x
34
Jahani A. Saffariha M. (2020). Aesthetic preference and mental restoration prediction in urban parks: An application of environmental modeling approach. Urban For. Urban Green.54:126775. doi: 10.1016/j.ufug.2020.126775
35
Jahani A. Saffariha M. (2021). Modeling and prediction of the aesthetics of urban parks based on landscape complexity criterion. Int. J. Environ. Sustain. Dev.77, 27–40. doi: 10.22059/JNE.2021.305142.2020
36
Jahani A. Saffariha M. Barzegar P. (2023). Landscape aesthetic quality assessment of forest lands: an application of machine learning approach. Soft. Comput.27, 6671–6686. doi: 10.1007/s00500-022-07642-3
37
Jiang B. Chang C.-Y. Sullivan W. C. (2014). A dose of nature: tree cover, stress reduction, and gender differences. Landsc. Urban Plan.132, 26–36. doi: 10.1016/j.landurbplan.2014.08.005
38
Kaplan R. (2007). Employees’ reactions to nearby nature at their workplace: the wild and the tame. Landsc. Urban Plan.82, 17–24. doi: 10.1016/j.landurbplan.2007.01.012
39
Kaplan R. Herbert E. J. (1987). Culture and sub-culture comparisons in preferences for natural setting. Landsc. Urban Plan.14, 281–293. doi: 10.1016/0169-2046(87)90040-5
40
Kaplan R. Kaplan S. (1989) The Experience of Nature: A Psychological PerspectiveCambridge: Cambridge university press.
41
Kennedy A. (2016). Book review: eye tracking: a comprehensive guide to methods and measures. Q. J. Exp. Psychol.69, 607–609. doi: 10.1080/17470218.2015.1098709
42
de la Fuente de Val G. (2023). The effect of spontaneous wild vegetation on landscape preferences in urban green spaces. Urban For. Urban Green.81:127863. doi: 10.1016/j.ufug.2023.127863
43
Li C. Sun C. Sun M. Yuan Y. Li P. (2020). Effects of brightness levels on stress recovery when viewing a virtual reality forest with simulated natural light. Urban For. Urban Green.56:126865. doi: 10.1016/j.ufug.2020.126865
44
Li J. Zhang Z. Jing F. Gao J. Ma J. Shao G. et al . (2020). An evaluation of urban green space in Shanghai, China, using eye tracking. Urban For. Urban Green.56:126903. doi: 10.1016/j.ufug.2020.126903
45
Liu Y. Hu M. Zhao B. (2019). Audio-visual interactive evaluation of the forest landscape based on eye-tracking experiments. Urban For. Urban Green.46:126476. doi: 10.1016/j.ufug.2019.126476
46
Liu K. Mohamed E. Liu B. Fujii E. (2021). Foliage colors improve relaxation and emotional status of university students from different countries. Heliyon7:e06131. doi: 10.1016/j.heliyon.2021.e06131
47
Lu S. Wu F. Wang Z. Cui Y. Chen C. Wei Y. (2021). Evaluation system and application of plants in healing landscape for the elderly. Urban For. Urban Green.58:126969. doi: 10.1016/j.ufug.2020.126969
48
Lund H. (2016). Eye tracking in library and information science: a literature review. Library Hi Tech34, 585–614. doi: 10.1108/LHT-07-2016-0085
49
Martínez-Soto J. de la Fuente Suárez L. A. Gonzáles-Santos L. Barrios F. A. (2019). Observation of environments with different restorative potential results in differences in eye patron movements and pupillary size. IBRO Reports7, 52–58. doi: 10.1016/j.ibror.2019.07.1722
50
McKenzie K. Murray A. Booth T. (2013). Do urban environments increase the risk of anxiety, depression and psychosis? An epidemiological study. J. Affect. Disord.150, 1019–1024. doi: 10.1016/j.jad.2013.05.032
51
Noland R. B. Weiner M. D. Gao D. Cook M. P. Nelessen A. (2017). Eye-tracking technology, visual preference surveys, and urban design: preliminary evidence of an effective methodology. J. Urbanism10, 98–110. doi: 10.1080/17549175.2016.1187197
52
Packer J. Bond N. (2010). Museums as restorative environments. Curator Mus. J.53, 421–436. doi: 10.1111/j.2151-6952.2010.00044.x
53
Paletto A. De Meo I. Cantiani M. G. Maino F. (2013). Social perceptions and Forest management strategies in an Italian alpine community. Mt. Res. Dev.33, 152–160. doi: 10.1659/MRD-JOURNAL-D-12-00115.1
54
Pastorella F. Giacovelli G. De Meo I. Paletto A. (2017). People’s preferences for alpine forest landscapes: results of an internet-based survey. J. For. Res.22, 36–43. doi: 10.1080/13416979.2017.1279708
55
Rathmann J. Sacher P. Volkmann N. Mayer M. (2020). Using the visitor-employed photography method to analyse deadwood perceptions of forest visitors: a case study from Bavarian forest National Park, Germany. Eur. J. For. Res.139, 431–442. doi: 10.1007/s10342-020-01260-0
56
Schirpke U. Mölk F. Feilhauer E. Tappeiner U. Tappeiner G. (2023). How suitable are discrete choice experiments based on landscape indicators for estimating landscape preferences?Landsc. Urban Plan.237:104813. doi: 10.1016/j.landurbplan.2023.104813
57
Simkin J. Ojala A. Tyrväinen L. (2020). Restorative effects of mature and young commercial forests, pristine old-growth forest and urban recreation forest - a field experiment. Urban For. Urban Green.48:126567. doi: 10.1016/j.ufug.2019.126567
58
Song C. Ikei H. Kobayashi M. Miura T. Taue M. Kagawa T. et al . (2015). Effect of forest walking on autonomic nervous system activity in middle-aged hypertensive individuals: a pilot study. Int. J. Environ. Res. Public Health12, 2687–2699. doi: 10.3390/ijerph120302687
59
Sonntag-Öström E. Nordin M. Lundell Y. Dolling A. Wiklund U. Karlsson M. et al . (2014). Restorative effects of visits to urban and forest environments in patients with exhaustion disorder. Urban For. Urban Green.13, 344–354. doi: 10.1016/j.ufug.2013.12.007
60
Sonntag-Öström E. Nordin M. Slunga J. L. Lundell Y. Brännström R. Dolling A. (2011). Can the boreal forest be used for rehabilitation and recovery from stress-related exhaustion? A pilot study. Scand. J. For. Res.26, 245–256. doi: 10.1080/02827581.2011.558521
61
Stigsdotter U. K. Corazon S. S. Sidenius U. Kristiansen J. Grahn P. (2017). It is not all bad for the grey city – a crossover study on physiological and psychological restoration in a forest and an urban environment. Health Place46, 145–154. doi: 10.1016/j.healthplace.2017.05.007
62
Tenngart I. C. Hagerhall C. M. (2008). The perceived restorativeness of gardens – assessing the restorativeness of a mixed built and natural scene type. Urban For. Urban Green.7, 107–118. doi: 10.1016/j.ufug.2008.01.001
63
Todorova A. Asakawa S. Aikoh T. (2004). Preferences for and attitudes towards street flowers and trees in Sapporo, Japan. Landsc. Urban Plan.69, 403–416. doi: 10.1016/j.landurbplan.2003.11.001
64
Ulrich R. S. (1981). Natural versus urban scenes some psychophysiological effects. Environ. Behav.13, 523–556. doi: 10.1177/0013916581135001
65
Van den Berg A. E. Jorgensen A. Wilson E. R. (2014). Evaluating restoration in urban green spaces: does setting type make a difference?Landsc. Urban Plan.127, 173–181. doi: 10.1016/j.landurbplan.2014.04.012
66
Van den Berg A. E. Joye Y. Koole S. L. (2016). Why viewing nature is more fascinating and restorative than viewing buildings: a closer look at perceived complexity. Urban For. Urban Green.20, 397–401. doi: 10.1016/j.ufug.2016.10.011
67
Vujcic M. Tomicevic-Dubljevic J. (2018). Urban forest benefits to the younger population: the case study of the city of Belgrade, Serbia. Forest Policy Econ.96, 54–62. doi: 10.1016/j.forpol.2018.08.006
68
Waldheim C. Hansen A. Ackerman J.S. Corner J. Brunier Y. Kennard P. et al . (2014) Composite Landscapes: Photomontage and Landscape Architecture. Berlin: Hatje Cantz.
69
Wang Y. Jiang M. Huang Y. Sheng Z. Huang X. Lin W. et al . (2020). Physiological and psychological effects of watching videos of different durations showing urban bamboo forests with varied structures. Int. J. Environ. Res. Public Health17:3434. doi: 10.3390/ijerph17103434
70
Wang Y. Zhang Q. Li J. (2023). Effect of Plantscape preference on the psychological recovery of university students: based on the mediating effect of prototype landscape consciousness. Urban For. Urban Green.88:128088. doi: 10.1016/j.ufug.2023.128088
71
Wang R. Zhao J. Meitner M. J. Hu Y. Xu X. (2019). Characteristics of urban green spaces in relation to aesthetic preference and stress recovery. Urban For. Urban Green.41, 6–13. doi: 10.1016/j.ufug.2019.03.005
72
Weber F. Kowarik I. Säumel I. (2014). A walk on the wild side: perceptions of roadside vegetation beyond trees. Urban For. Urban Green.13, 205–212. doi: 10.1016/j.ufug.2013.10.010
73
Xiang Y. Liang H. Fang X. Chen Y. Xu N. Hu M. et al . (2021). The comparisons of on-site and off-site applications in surveys on perception of and preference for urban green spaces: which approach is more reliable?Urban For. Urban Green.58:126961. doi: 10.1016/j.ufug.2020.126961
74
Yuan S. Browning M. H. E. M. McAnirlin O. Sindelar K. Shin S. Drong G. et al . (2023). A virtual reality investigation of factors influencing landscape preferences: natural elements, emotions, and media creation. Landsc. Urban Plan.230:104616. doi: 10.1016/j.landurbplan.2022.104616
75
Zhang G. Yang J. Wu G. Hu X. (2021). Exploring the interactive influence on landscape preference from multiple visual attributes: openness, richness, order, and depth. Urban For. Urban Green.65:127363. doi: 10.1016/j.ufug.2021.127363
76
Zhao J. Xu W. Ye L. (2018). Effects of auditory-visual combinations on perceived restorative potential of urban green space. Appl. Acoust.141, 169–177. doi: 10.1016/j.apacoust.2018.07.001
77
Zheng J. Tarin M. W. K. Jiang D. Li M. Ye J. Chen L. et al . (2021). Which ornamental features of bamboo plants will attract the people most?Urban For. Urban Green.61:127101. doi: 10.1016/j.ufug.2021.127101
78
Zhou X. Cen Q. Qiu H. (2023). Effects of urban waterfront park landscape elements on visual behavior and public preference: evidence from eye-tracking experiments. Urban For. Urban Green.82:127889. doi: 10.1016/j.ufug.2023.127889
Summary
Keywords
forest spatial, aesthetic preference, restorative potential, mental health, eye tracking
Citation
Wang Y, Liu G, Jiang M, Yang Q, Chen Q, Li X, Luo Z, Song H, Du J, Yu X, Lv B and Li N (2023) Effects of forest spatial types, element compositions and forest stands on restorative potential and aesthetic preference. Front. For. Glob. Change 6:1218134. doi: 10.3389/ffgc.2023.1218134
Received
06 May 2023
Accepted
16 October 2023
Published
02 November 2023
Volume
6 - 2023
Edited by
Ali Jahani, University of Tehran, Iran
Reviewed by
Saba Kalantari, Tehran University of Medical Sciences, Iran; Maryam Saffariha, University of California, Davis, United States; Majid Makhdoum, University of Tehran, Iran
Updates
Copyright
© 2023 Wang, Liu, Jiang, Yang, Chen, Li, Luo, Song, Du, Yu, Lv and Li.
This is an open-access article distributed under the terms of the Creative Commons Attribution License (CC BY). The use, distribution or reproduction in other forums is permitted, provided the original author(s) and the copyright owner(s) are credited and that the original publication in this journal is cited, in accordance with accepted academic practice. No use, distribution or reproduction is permitted which does not comply with these terms.
*Correspondence: Mingyan Jiang, jmy@sicau.edu.cn
†These authors have contributed equally to this work and share first authorship
Disclaimer
All claims expressed in this article are solely those of the authors and do not necessarily represent those of their affiliated organizations, or those of the publisher, the editors and the reviewers. Any product that may be evaluated in this article or claim that may be made by its manufacturer is not guaranteed or endorsed by the publisher.