Abstract
Monochamus saltuarius Gebler was first identified as a new vector of pine wilt disease in Northeast China in 2018, and monitoring of M. saltuarius has become a key strategy to prevent and control the disease in this region. However, the potential distributions of M. saltuarius in China are unclear. In this study, we clarified bioclimatic environmental variables affecting the distribution of M. saltuarius, predicted the geographically suitable habitats of M. saltuarius in current and future climate conditions, and determined changes in the spatial pattern of a suitable distribution area of M. saltuarius under current and future climate conditions. This is the first study to use the optimized maximum entropy model and ArcGIS to accurately predict suitable geographical areas for M. saltuarius based on different climatic conditions in China. and the average area under the receiver operating characteristic curve reached 0.954 ± 0.0024. Of the 32 bioclimatic variables, temperature seasonality, precipitation of wettest month, precipitation seasonality, maximum temperature of the warmest month, and elevation played significant roles in determining the potential distribution of M. saltuarius, with contribution rates to the model of 32.1, 31.8, 11.5, 7.5, and 6.5%, respectively. Under the current climate scenario, the predicted suitable areas for M. saltuarius were mainly at latitudes north of 33° in China, and larger suitable areas were mainly distributed in Northeast China and North China, with areas of 87.04 × 104 and 73.15 × 104 km2, respectively. Using future climatic scenarios SSP126 and SSP585, the predicted suitable areas of M. saltuarius will continue to expand from that of 2040, 2070, and 2100, with highly and moderately suitable areas showing larger increasing trends but low suitable distribution areas will decrease to varying degrees. The potential suitable areas of M. saltuarius may increase greatly in Northwest, Central, and Eastern China. This study provides important scientific theoretical knowledge for effectively controlling and preventing M. saltuarius and pine wilt disease in northern China.
1. Introduction
Bursaphelenchus xylophilus (Steiner and Buhrer) Nickle can cause pine wilt disease (PWD), which systematically infects and causes wilting of healthy pines (Sun, 1982; Mamiya, 1983). Bursaphelenchus xylophilus leads to high mortality of conifer trees, including of Pinus plants and non-Pinus plants such as Picea, Larix, Abies, and Cedrus (Nunes et al., 2013; Foit et al., 2019). PWD was first discovered in 1982 in Pinus thunbergii Parl. in Nanjing, Jiangsu province of China (Sun, 1982). Since then, it has become one of the most destructive forest quarantine pests, causing very large economic and ecological losses (Gao et al., 2017; Ye and Wu, 2022). As of February 2023, PWD had spread to 700 county-level administrative regions in 19 provinces of China (Figure 1) and continuously spread to the northern and western parts of China (Li et al., 2022; Ye and Wu, 2022; Zhang et al., 2022; Zong and Bi, 2022).
FIGURE 1

Actual epidemic distribution areas of pine wilt disease in China by March 2023 (Data obtained from the No. 7 bulletin of National Forestry and Grassland Administration [NFGA], 2023).
As a plant parasitic nematode, B. xylophilus lives in the xylem of host pines, and its natural transmission relies on insect vectors that are transported from infected host plants to healthy plants (Aikawa, 2008; Li M. et al., 2021). Currently, the main vector insects that can carry B. xylophilus are beetles in the genus Monochamus (Cerambycidae) (Linit et al., 1983; Kobayashi et al., 1984; Linit, 1988; Li et al., 2020; Li M. et al., 2021). The 4th dispersal juveniles of B. xylophilus attach to the surface respiratory trachea and reproductive systems of the vector insect before eclosion (Pan et al., 2020). When vector insects eclose from pines killed by B. xylophilus, they feed on a new healthy host plant and release B. xylophilus, which then infects the healthy host tree (Balestrini et al., 2009; Zhao et al., 2013; Zhang et al., 2020). Therefore, vector insects are an important link in the PWD infection system, and efficient control of vector insects is the most important measure for preventing PWD (Linit et al., 1983; Kobayashi et al., 1984; Linit, 1988; Li et al., 2020, 2022; Li M. et al., 2021Ye and Wu, 2022).
Monochamus saltuarius is among the main vector insects of B. xylophilus in Southeast Asia, including China, South Korea, and Japan (Takizawa and Shoji, 1982; Sato et al., 1987; Jikumaru and Togashi, 1995; Kim et al., 2006; Koo et al., 2013; Han et al., 2016; Yu and Wu, 2018; Li et al., 2020; Li M. et al., 2021). Before 2016, Monochamus alternatus was the only insect vector of B. xylophilus in China and was widely distributed south of the Yellow River; its northern boundary was Dalian, Liaoning province (Li et al., 2007; Wu et al., 2013; Gao et al., 2023). However, in recent years, M. saltuarius has been considered as a novel vector of B. xylophilus in PWD-infected pines in high-latitude and newly invaded areas of China, including in Jilin and Liaoning provinces (Yu and Wu, 2018; Li et al., 2020; Li M. et al., 2021). Monochamus saltuarius plays a key role in carrying, spreading, and assisting the pathogen B. xylophilus to enter its host, and in its transmission efficiency and harmful effects (Ye, 2019; Li et al., 2022; Ye and Wu, 2022).
Monochamus saltuarius is a native species that is widespread in northern China and was a common pest in Shanxi, Inner Mongolia, Liaoning, Jilin, and Heilongjiang provinces before being identified as a new vector insect of B. xylophilus in these areas (Ye, 2019; Li M. et al., 2021; Figure 2). Moreover, by feeding on host plants, M. saltuarius can enable full-scale invasion of B. xylophilus and directly threaten healthy host trees in northern China (Chen et al., 1959; Wang, 2014; Yu et al., 2019). However, studies predicting M. saltuarius invasion in China have not been performed, preventing accurate prevention and control measures for M. saltuarius and PWD.
FIGURE 2

Distribution areas of Monochamus saltuarius in China.
There is an urgent need to carry out the research on the distribution and change of the potential suitable areas of M. saltuarius in China. An optimized MaxEnt model based on the 175 latest county-level geographical distribution points was used to predict a suitable distribution of M. saltuarius in China during different climatic conditions. The main objectives of this study were to (1) clarify the related bioclimatic environmental variables affecting the distribution of M. saltuarius, (2) predict geographically suitable areas for M. saltuarius under different climate conditions, and (3) determine changes in the spatial pattern of M. saltuarius in different climate conditions. This study provides important scientific theoretical knowledge for the effective control and prevention of M. saltuarius and PWD in northern China.
2. Materials and methods
2.1. Data collection
A total of 175 county-level geographical distribution points of M. saltuarius was obtained from four sources. First, 58 distribution points were obtained from field surveys of the distribution of M. saltuarius in different regions of China. Second, 69 distribution points were obtained from published references. Third, seven distribution points of M. saltuarius were obtained from the National Animal Specimen Database.1 Fourth, 41 distribution points were obtained from the relevant databases and official websites. To remove the influence of spatial autocorrelation and sampling bias, the distribution point data of M. saltuarius were imported into ArcGIS10.7, and the buffer analysis function in the software was used for sparse processing of distribution points to ensure that there was one M. saltuarius distribution point within areas of 25 km2.
2.2. Selection of variables
A total of 19 bioclimatic variables, 12 monthly average values about the wind speed as historical weather data and terrain elevation were downloaded from the WorldClim website (Supplementary Table 1). Future climate data were simulated using SSP126 and SSP585 of Beijing Climate Central Climate System Model 2 Medium Resolution (BCC-CSM2-MR), and the simulated time periods included the years 2050, 2070, and 2100. To avoid autocorrelation between bioclimatic variables and overfitting (Sillero, 2011; Fotheringham and Oshan, 2016; Li X. et al., 2021; Gao et al., 2023), the 32 variables were screened and removed when the MaxEnt selected variables affecting the distribution of M. saltuarius. This step was performed to control the impact of redundant information on the simulation results and retain the environmental variables that limited the distribution of M. saltuarius. Initially, the MaxEnt was used to model the 32 variables, and the contribution rate of each variable was calculated. We continued to process bioclimatic variables using Pearson correlation analysis and removed variables with correlation coefficients higher than 0.8 (Supplementary Figure 1). Finally, eight variables were selected from 32 bioclimatic variables to predict the potential geographical distribution of M. saltuarius (Table 1).
TABLE 1
| Code | Variables | Contribution rate/% |
| Bio4 | Temperature seasonality (°C) | 32.1 |
| Bio13 | Precipitation of wettest month (mm) | 31.8 |
| Bio15 | Precipitation seasonality (mm) | 11.5 |
| Bio5 | Max temperature of warmest month (°C) | 7.5 |
| Elev | Elevation (m) | 6.5 |
| Bio9 | Mean temperature of driest quarter (°C) | 6.0 |
| Wind3 | Wind speed in March (m/s) | 2.8 |
| Wind9 | Wind speed in September (m/s) | 1.8 |
The contribution rates of selected variables affecting the geographical distribution of M. saltuarius.
2.3. Model setting and analysis
The feature combinations and regularized multipliers of the model were optimized using the “ENMeval” package in R to screen the optimal combination and reduce the model complexity, and then randomly selected 75% of the data for model training and 25% for model testing. The regularization multiplier value of the MaxEnt model was set to change from 0.5 to 4 with an increase of 0.5 each time. Moreover, the accuracy of the MaxEnt was evaluated as the area under the receiver operating characteristic curve (AUC). A larger AUC value indicates higher model accuracy, and the evaluation criteria of the model were as follows: failure, poor, fair, good, and excellent. Finally, we used the Jenks’ natural breaks method (Qi et al., 2015; Ge et al., 2021) to reclassify the predicted suitable habitats for M. saltuarius into four categories, namely non-suitable (0–0.09), low suitable (0.09–0.0.28), moderately suitable (0.28–0.5), and highly suitable (0.5–1.00).
3. Results
3.1. Optimization and evaluation
The optimized MaxEnt parameters were adjusted to feature combination = LQHP, regularization multiplier = 0.5, ΔAICc = 0, and AUCDIFF = 0.054 (Table 2). Evaluation of the optimized MaxEnt model showed that the average AUC (0.954 ± 0.0024) of the simulation run results of the MaxEnt model repeated 10 times was higher than 0.9 (Figure 3), demonstrating that the prediction results reached an high standard. Therefore, the MaxEnt model, which was set to optimize parameters.
TABLE 2
| Default | Optimization | |
| RM | 1.0 | 0.5 |
| FC | LQHP | LQHP |
| Mean AUC | 0.904 | 0.906 |
| AUCDIFF | 0.058 | 0.054 |
| ORMTP | 0.076 | 0.076 |
| OR10 | 0.355 | 0.360 |
| ΔAICc | 39.274 | 0 |
The performance of MaxEnt model under default and optimized settings.
RM means regularization multiplier, FC means feature combination, AUC means area under the ROC curve, AUCDIFF means the difference between the training AUC and the test AUC, ORMTP means the “Minimum Training Presence” omission rate, OR10 means the 10% training omission rate, ΔAICc means Akaike information criterion.
FIGURE 3

Receiver operating characteristic curve and areas under the curve for the optimized MaxEnt model.
3.2. Key bioclimatic environmental variables
Eight variables were screened to predict the potential geographical distribution of M. saltuarius. Among them, the bioclimatic variables Bio4, Bio13, and Bio15 showed higher contribution rates, with a cumulative contribution rate of 75.4% (Table 2). Furthermore, the importance results of the selected bioclimatic variables using the Jackknife test showed that Bio4, Bio5, Bio13 and Elev were the variables with higher regularized training gains were when only one bioclimatic variable was used (Figure 4). Therefore, the key bioclimatic variables restricting the distribution of M. saltuarius were Bio4, Bio5, Bio13, Bio15, and Elev.
FIGURE 4

Importance of key bioclimatic variables in MaxEnt model for the distribution of Monochamus saltuarius determined using the Jackknife test. “Without variable” represents the regularized training gain of the model without this variable, “With only variable” represents the regularized training gain of the model with only this variable, “With all variable” represents the regularized training gain of the model with all variables.
3.3. Current risk areas
Based on the historical climatic data and current distribution data, a suitable area for M. saltuarius was predicted using the current climate scenario (Figure 5), and the predicted total area was approximately 193.59 × 104 km2, accounting for approximately 20.10% of the total land area of China. The predicted areas of high, moderate, and low suitability for M. saltuarius were 40.26 × 104, 60.76 × 104, and 92.57 × 104 km2, accounting for 20.8, 31.38, and 47.82% of the total predicted suitable areas, respectively. The predicted suitable habitats of M. saltuarius were mainly at latitudes north of 33° in China, and the larger suitable areas were mainly distributed in Northeast and North China, with areas of 87.04 × 104 and 73.15 × 104 km2, respectively (Figure 6). There were some suitable distribution areas for M. saltuarius in Central, East, and Northwest China, with almost no predicted areas of M. saltuarius in Southwest and South China.
FIGURE 5

Predicted map of suitable distribution areas of Monochamus saltuarius in China under current climate conditions.
FIGURE 6

Predicted suitable distribution areas of Monochamus saltuarius in different regions of China under current climate conditions.
3.4. Future risk areas
We predicted the potentially suitable areas of M. saltuarius in 2040, 2070, and 2100 using future climatic scenarios (Figure 7). The predicted potentially suitable areas of M. saltuarius continued to expand in future climatic scenarios (Figure 8). Moreover, the center point of the suitable distribution area at different times of M. saltuarius were predicted to shift with future climate change, showing an obvious spreading trend to the south and west (Figure 9). The range of centroid shifting occurred in Inner Mongolia. Moreover, highly and moderately suitable areas showed a larger increasing trend, but areas with low suitability distributions decreased to varying degrees (Table 3).
FIGURE 7

Predicted map of potential suitable distribution areas of Monochamus saltuarius in China under the future climate conditions of SSP126 and SSP585.
FIGURE 8

Changes in potential suitable areas of Monochamus saltuarius in different future climate conditions compared with the current areas.
FIGURE 9

Changes in geographical centers of potential distribution areas of Monochamus saltuarius in different periods.
TABLE 3
| Decade | Scenarios | Total | Predicted area (104 km2) | Comparison with current (%) | ||||
| Highly | Moderately | Low | Highly | Moderately | Low | |||
| Current | – | 193.59 | 40.26 | 60.76 | 92.57 | |||
| 2040s | ssp-126 | 216.10 | 54.60 | 70.73 | 90.77 | 35.62 | 16.41 | −1.94 |
| ssp-585 | 221.58 | 58.14 | 77.79 | 85.65 | 44.41 | 28.03 | −7.48 | |
| 2070s | ssp-126 | 222.47 | 57.81 | 73.05 | 91.61 | 43.59 | 20.23 | −1.04 |
| ssp-585 | 213.85 | 56.19 | 69.27 | 88.39 | 39.57 | 14.01 | −4.52 | |
| 2100s | ssp-126 | 218.78 | 58.12 | 73.22 | 87.44 | 44.36 | 20.51 | −5.54 |
| ssp-585 | 216.60 | 58.12 | 71.39 | 87.09 | 44.36 | 17.50 | −5.92 | |
The difference in potential suitable areas for M. saltuarius under current and future climate scenarios.
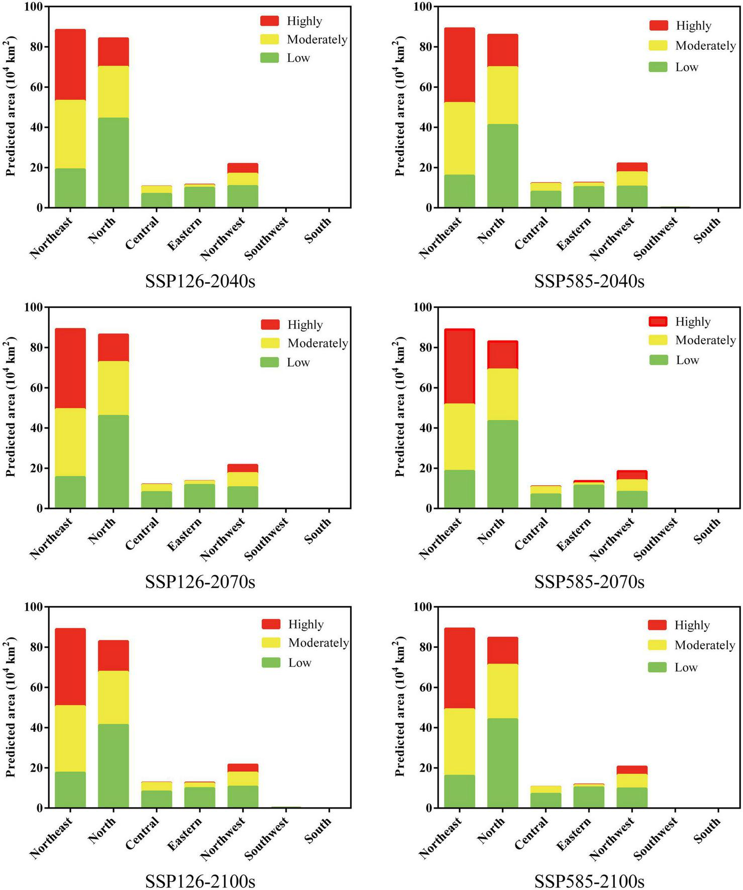
Similar to the current climate, the predicted areas of M. saltuarius under future climatic conditions are concentrated in Northeast and North China (Figure 10). In Northeast China, highly suitable areas for M. saltuarius showed an increasing trend in future climatic conditions, whereas moderately and low-suitability areas generally showed a decreasing trend. In North China, highly suitable and moderately suitable areas for M. saltuarius showed a rising trend for future climatic conditions but low-suitability areas showed an overall decreasing trend. Moreover, there was a large increasing trend in the suitable distribution areas of M. saltuarius in Northwest, Central, and Eastern China (Table 4); however, there was almost no distribution area of M. saltuarius in Southwest and South China.
FIGURE 10

Predicted suitable distribution areas of Monochamus saltuarius in different regions of China under future climatic conditions.
TABLE 4
| Decade | Scenarios | Northeast (%) | North (%) | Central (%) | Eastern (%) | Northwest (%) | ||||||||||
| Highly | Moderately | Low | Highly | Moderately | Low | Highly | Moderately | Low | Highly | Moderately | Low | Highly | Moderately | Low | ||
| 2040s | ssp-126 | 26.27 | −2.07 | −21.84 | 59.82 | 36.49 | −2.62 | 85.71 | 78.89 | 11.24 | 3,300 | 223.68 | 23.07 | 39.31 | 28.93 | 25.41 |
| ssp-585 | 32.94 | 3.94 | −34.75 | 83.20 | 52.12 | −9.61 | 242.86 | 96.98 | 29.32 | 3,000 | 394.74 | 27.06 | 25.43 | 50.31 | 22.13 | |
| 2070s | ssp-126 | 42.62 | −2.88 | −36.27 | 54.71 | 42.06 | 0.97 | 142.86 | 81.91 | 30.94 | 1,100 | 368.42 | 45.01 | 18.50 | 48.22 | 22.25 |
| ssp-585 | 33.58 | −4.92 | −23.77 | 58.46 | 35.70 | −4.49 | 257.14 | 86.93 | 12.54 | 11,300 | 200.00 | 40.52 | 29.48 | 34.17 | 6.56 | |
| 2100s | ssp-126 | 37.17 | −4.84 | −28.11 | 72.99 | 40.10 | −9.24 | 171.43 | 115.58 | 33.06 | 4,100 | 536.84 | 22.19 | 15.03 | 46.33 | 24.00 |
| ssp-585 | 43.91 | −5.01 | −34.34 | 52.67 | 43.43 | −3.06 | 57.14 | 72.86 | 14.01 | 3,000 | 194.74 | 27.43 | 18.21 | 41.51 | 13.82 | |
The difference in potential suitable areas for M. saltuarius in different regions of China under future climate scenarios compared with the current.
4. Discussion
Monochamus saltuarius Gebler was first identified as a insect vector of PWD in Northeast China in 2018 (Yu and Wu, 2018; Li et al., 2020, Li M. et al., 2021). Monitoring M. saltuarius has become a key strategy for the prevention and control of PWD in this region (Ye, 2019; Li M. et al., 2021, Li et al., 2022; Ye and Wu, 2022). Therefore, understanding the potential distribution of M. saltuarius can facilitate the prevention and control of M. saltuarius and PWD.
The MaxEnt model is a widely used species distribution model to predict the geographic spatial area of target species and exhibits highly accurate prediction when only the “existence only” distribution data of the target species are used (Ge et al., 2018; Raffini et al., 2020; Lee et al., 2021; Ramasamy et al., 2022; Gao et al., 2023). The maximum entropy distribution of a species under environmental constraints in a specific area can be estimated using the accurate geographical location of species occurrence and related biological environmental variables (Jackson and Robertson, 2011; Mitchell et al., 2016; Cao et al., 2021). However, predicting species distribution may be limited when using the MaxEnt model. Setting the default parameters of the MaxEnt model may lead to excessive model fitting, (Warren and Seifert, 2011; Muscarella et al., 2014; Jin et al., 2022). Hence, the “ENMeval” packet in R software was used to optimize the default parameters of the MaxEnt model to reduce the fit degree of the model (Warren and Seifert, 2011; Muscarella et al., 2014; Porfirio et al., 2014; Yan et al., 2021). The MaxEnt model was optimized through ENMeval package, and it was found that when the feature combination = LQHP and the regularization multiplier = 0.5, the model was the optimal model, and the predicted range of the suitable area of Pinus sylvestris var. mongolica was basically consistent with the actual distribution (Zhang et al., 2023).
In typical ectotherms, environmental variables can significantly affect the diversity, richness, and geographical distribution of insect species (Austin, 2002; Kreft and Jetz, 2007; Tang et al., 2021). The selected eight key bioclimatic variables in this study may significantly affect the distribution of M. saltuarius. The results showed that Bio4, Bio5, Bio13, Bio15, and Elev played important roles in restricting the suitable distribution of M. saltuarius. In addition, Bio4 and Bio13 contributed relatively more to the distribution of M. saltuarius, indicating that M. saltuarius is highly sensitive to fluctuations in precipitation and temperature. The change in temperature is an important driving factor affecting the growth, development, and diffusion of M. saltuarius, and changes in temperature due to global warming will inevitably affect its distribution region (Cornelissen et al., 2019; Daniel et al., 2020; Jin et al., 2022). In addition, the emergence period of adults of M. saltuarius is concentrated from May to August (Ochi, 1969; Jikumaru and Togashi, 1996; Han et al., 2007, 2009). This species is mainly active in the daytime, and its flight distance is generally not more than a few hundred meters (Ciesla, 2021); therefore, precipitation during this period affects the flight and dispersal of M. saltuarius (Gao et al., 2019; Zhao et al., 2021). Elevation was an important variable that significantly affected the potential distribution of M. saltuarius, possibly because of the close relationship between the host plant distribution and altitude, which also greatly affected the feeding and oviposition preferences of M. saltuarius (Zhao et al., 2021).
To predict the potential distribution areas of M. saltuarius, we previously obtained 175 distribution points of M. saltuarius from published references, authoritative databases, and official websites, and combined these data with field survey data. Each distribution point had accurate data sources. The prediction results of the MaxEnt model indicated that the potential distribution area of M. saltuarius under current climatic conditions included actual geographical distribution points, indicating that the optimized model was highly reliable and accurate (Lee et al., 2021; Gao et al., 2023).
Studies are urgently needed to accurately analyze and predict the natural distribution patterns and potential distribution areas of M. saltuarius in China. Under current climatic conditions, the predicted suitable habitats of M. saltuarius were mainly at latitudes north of 33°N in China, and the larger suitable areas were mainly distributed in Northeast China and North China. Moreover, in areas with large numbers of geographical distribution points of M. saltuarius, such as in Shanxi province, Heilongjiang province, Jilin province, Liaoning, and Inner Mongolia, the suitable areas for M. saltuarius will be further expanded under future climate conditions. Furthermore, the highly and moderately suitable areas of M. saltuarius have spread to the eastern Gansu province, northeastern Shaanxi province, northern Henan province, and southeastern Shandong province; currently, there is almost no geographical distribution of M. saltuarius in these areas. Therefore, local forestry departments should increase their monitoring efforts to prevent M. saltuarius from invading these areas. Our results also show that there are almost no suitable distribution areas for M. saltuarius in Southwest China and South China; however, M. saltuarius may occur in these areas in the future. Furthermore, the impacts of human activities and natural enemies on M. saltuarius should be considered when predicting potentially suitable distribution areas (Choi et al., 2017; Takahashi and Park, 2020; Gao et al., 2023).
As an insect vector of PWD in northern China, M. saltuarius can cause serious harm to the ecological environment and economic production in invaded areas (Yu and Wu, 2018; Li et al., 2020, Li M. et al., 2021). Previous studies showed that the effective control of M. saltuarius and other vector insects is among the most useful measures for preventing the occurrence of PWD (Linit et al., 1983; Kobayashi et al., 1984; Linit, 1988; Li et al., 2020, 2022; Li M. et al., 2021; Ye and Wu, 2022). Particularly, in areas where PWD is not currently occurring, M. saltuarius is a common insect, such as Shanxi, Heilongjiang, Jilin, and Liaoning provinces, and PWD monitoring should be a focus when evaluating vector insects.
Statements
Data availability statement
The original contributions presented in this study are included in the article/Supplementary material, further inquiries can be directed to the corresponding author.
Author contributions
RG: conceptualization and writing-original draft preparation. LL, RL, SF, and JD: data curation. RG and LL: formal analysis. RG and LZ: writing-review and editing. All authors have read and agreed to the published version of the manuscript.
Funding
This research was funded by the Research Project Supported by the Shanxi Scholarship Council of China (Grant No. 2023-087), the Applied and Fundamental Research Program for Young Scientists of Shanxi Province (Grant No. 20210302124062), the Scientific and Technological Innovation Programs of Higher Education Institutions in Shanxi (Grant No. 2021L128), and the Technology Innovation Fund of Shanxi Agricultural University (Grant No. 2017YJ20).
Acknowledgments
Special thanks to the two reviewers for their valuable comments and suggestions.
Conflict of interest
The authors declare that the research was conducted in the absence of any commercial or financial relationships that could be construed as a potential conflict of interest.
Publisher’s note
All claims expressed in this article are solely those of the authors and do not necessarily represent those of their affiliated organizations, or those of the publisher, the editors and the reviewers. Any product that may be evaluated in this article, or claim that may be made by its manufacturer, is not guaranteed or endorsed by the publisher.
Supplementary material
The Supplementary Material for this article can be found online at: https://www.frontiersin.org/articles/10.3389/ffgc.2023.1243996/full#supplementary-material
Footnotes
References
1
Aikawa T. (2008). “Transmission biology of Bursaphelenchus xylophilus in relation to its insect vector,” in Pine wilt disease, edsZhaoB. G.FutaiK.SutherlandJ. R.TakeuchiY. (Tokyo: Springer), 123–138. 10.1007/978-4-431-75655-2_13
2
Austin M. (2002). Spatial prediction of species distribution: An interface between ecological theory and statistical modelling.Ecol. Model.157101–118. 10.1016/S0304-3800(02)00205-3
3
Balestrini R. Gómez-Ariza J. Klink V. P. Bonfante P. (2009). Application of laser microdissection to plant pathogenic and symbiotic interactions.Plant Interact.481–92. 10.1080/17429140902770396
4
Cao Z. Zhang L. Zhang X. Gou Z. J. (2021). Predicting the potential distribution of Hylomecon japonica in China under current and future climate change based on maxent model.Sustainability13:11253. 10.3390/su132011253
5
Chen S. X. Xie Y. Z. Deng G. F. (1959). Economic insect fauna of China Fasc.1. Coleoptera Cerambycidae.Beijing: Science Press, 1–120.
6
Choi W. I. Song H. J. Kim D. S. Lee D. S. Lee C. Y. Nam Y. et al (2017). Dispersal patterns of pine wilt disease in the early stage of its invasion in South Korea.Forests8:411. 10.3390/f8110411
7
Ciesla W. H. (2021). Exotic forest pest information system for North America: Monochamus. Saltuarius.Oaxaca: North American Forest Commission.
8
Cornelissen B. Neumann P. Schweiger O. (2019). Global warming promotes biological invasion of a honey bee pest.Glob. Chang Biol.253571–3994. 10.1111/gcb.14791
9
Daniel G. T. Alex C. A. Wesley D. Andrés L. N. Sánchez-Guillén R. A. Villalobos F. (2020). Insect responses to heat: Physiological mechanisms, evolution and ecological implications in a warming world.Biol. Rev.95802–821. 10.1111/brv.12588
10
Foit J. Čermák V. Gaar V. Hradil K. Nový V. Rolincová P. (2019). New insights into the life history of Monochamus galloprovincialis can enhance surveillance strategies for the pine wood nematode.J. Pest Sci.921203–1215. 10.1007/s10340-019-01110-y
11
Fotheringham A. S. Oshan T. M. (2016). Geographically weighted regression and multicollinearity: Dispelling the myth.J. Geogr. Syst.18303–329. 10.1007/s10109-016-0239-5
12
Gao R. Wang Z. Shi J. Luo Y. Q. (2017). Effect of Bursaphelenchus xylophilus infection on leaf photosynthetic characteristics and resource-use efficiency of Pinus massoniana.Ecol. Evol.73455–3463. 10.1002/ece3.2642
13
Gao R. H. Liu L. Zhao L. J. Cui S. P. (2023). Potentially suitable geographical area for Monochamous alternatus under current and future climatic scenarios based on optimized MaxEnt model.Insects14:182. 10.3390/insects14020182
14
Gao R. H. Wang Z. Wang H. X. Hao Y. P. Shi J. (2019). Relationship between pine wilt disease outbreaks and climatic variables in the Three Gorges Reservoir Region. Forests10, 816–830. 10.3390/f10090816
15
Ge X. Z. He S. Y. Zhu C. Y. Wang T. Xu Z. C. Zong S. X. (2018). Projecting the current and future potential global distribution of Hyphantria cunea (Lepidoptera: Arctiidae) using CLIMEX.Pest Manag. Sci.75160–169. 10.1002/ps.5083
16
Ge Y. H. Ye J. R. Liang Z. W. Lin S. X. Zhang Y. X. (2021). Prediction of potential distribution of Xylotrechus rusticus in China based on MaxEnt model.Plant Quar.3565–70. 10.19662/j.cnki.issn1005-2755.2021.04.012
17
Han J. H. Yoon C. Shin S. C. Kim G. H. (2007). Seasonal occurrence and morphological measurements of pine sawyer, Monochamus saltuarius adults (Coleoptera: Cerambycidae).J. Asia Pacif. Entomol.1063–67. 10.1016/S1226-8615(08)60332-5
18
Han J. H. You J. H. Koo C. D. Yoon C. Choi K. S. Shin S. C. et al (2009). Emergence timing of the pine sawyer beetle, Monochamus saltuarius (Coleoptera: Cerambycidae) by tree species.Korean J. Appl. Entomol.48189–195. 10.5656/KSAE.2009.48.2.189
19
Han J. W. Kim H. K. Kang W. J. Kim G. A. (2016). Feeding and oviposition preference of the Sakhalin pine sawyer Monochamus saltuarius (Coleoptera: Cerambycidae) for various tree species.Entomol. Res.46331–336. 10.1111/1748-5967.12182
20
Jackson C. R. Robertson M. P. (2011). Predicting the potential distribution of an endangered cryptic subterranean mammal from few occurrence records.J. Nat. Conserv.1987–94. 10.1016/jjnc.2010.06.006
21
Jikumaru S. Togashi K. (1995). A weak deleterious effect of the avirulent pinewood nematode, Bursaphelenchus mucronatus (Nematoda: Aphelenchoididae), on the longevity of its vector, Monochamus saltuarius (Coleoptera: Cerambycidae).Appl. Entomol. Zool.309–16. 10.1303/aez.30.9
22
Jikumaru S. Togashi K. (1996). Effect of temperature on the post-diapause development of Monochamus saltuarius (Gebler)(Coleoptera: Cerambycidae).Appl. Entomol. Zool.31145–148. 10.1303/AEZ.31.145
23
Jin Z. Yu W. Zhao H. Xian X. Jing K. Yang N. et al (2022). Potential global distribution of invasive alien species, Anthonomus grandis boheman, under current and future climate using optimal MaxEnt model.J. Agric.12:1759. 10.3390/agriculture12111759
24
Kim M. K. Kim J. S. Han J. H. Kim Y. J. Yoon C. Kim G. H. (2006). Mating behavior of pine sawyer, Monochamus saltuarius Gebler (Coleoptera: Cerambycidae).J. Asia Pac. Entomol.9275–280. 10.1016/S1226-8615(08)60303-9
25
Kobayashi F. Yamane A. Ikeda T. (1984). The Japanese pine sawyer beetle as the vector of pine wilt disease.Annu. Rev. Entomol.29115–135. 10.1146/annurev.en.29.010184.000555
26
Koo C. D. Lee H. Y. Han J. H. Sung J. H. Shin J. H. (2013). Infection behavior and distribution of Bursaphelenchus xylophilus in Pinus densiflora trees.For. Sci. Technol.981–86. 10.1080/21580103.2013.801168
27
Kreft H. Jetz W. (2007). Global patterns and determinants of vascular plant diversity.Proc. Natl. Acad. Sci. U.S.A.1045925–5930. 10.1073/pnas.0608361104
28
Lee C. M. Lee D. S. Kwon T. S. Athar M. Park Y. S. (2021). Predicting the global distribution of Solenopsis geminata (Hymenoptera: Formicidae) under climate change using the MaxEnt model.Insects12:229. 10.3390/insects12030229
29
Li H. Shen P. Fu P. Lin M. Moens M. (2007). Characteristics of the emergence of Monochamus alternatus, the vector of Bursaphelenchus xylophilus (Nematoda: Aphelenchoididae), from Pinus thunbergii logs in Nanjing, China, and of the transmission of the nematodes through feeding wounds.Nematology9807–816. 10.1163/156854107782331234
30
Li M. Dai Y. Wang Y. Wang L. C. Sun S. H. Chen F. M. (2021). New insights into the life history of Monochamus saltuarius (Cerambycidae: Coleoptera) can enhance surveillance strategies for pine wilt disease.J. For. Res.322699–2707. 10.1007/s11676-021-01296-x
31
Li M. Li H. Sheng R. C. Sun H. S. Shou H. Chen F. M. (2020). The first record of Monochamus saltuarius (Coleoptera; Cerambycidae) as vector of Bursaphelenchus xylophilus and its new potential hosts in China.Insects11:636. 10.3390/insects11090636
32
Li X. Xu D. Jin Y. Zhuo Z. Yang H. Hu J. et al (2021). Predicting the current and future distributions of Brontispa longissimi (Coleoptera: Chrysomelidae) under climate change in China.J. Glob. Ecol. Conserv.25:e01444. 10.1016/jgecco.2020.e01444
33
Li Y. X. Wang X. Liu Z. K. Zhang X. Y. (2022). Research advance of pathogenic mechanism of pine wood nematode.For. Pest Dis.4111–20. 10.19688/j.cnki.issn1671-0886.20220015
34
Linit M. J. (1988). Nemtaode-vector relationships in the pine wilt disease system.J. Nematol.20:227.
35
Linit M. J. Kondo E. Smith M. T. (1983). Insects associated with the pinewood nematode, Bursaphelenchus xylophilus (Nematoda: Aphelenchoididae), in Missouri.Environ. Entomol.12467–470. 10.1093/ee/12.2.467
36
Mamiya Y. (1983). Pathology of the pine wilt disease caused by Bursaphelenchus xylophilus.Annu. Rev. Phytopathol.21201–220. 10.1146/annurev.py.21.090183.001221
37
Mitchell P. J. Monk J. Laurenson L. Chisholm R. (2016). Sensitivity of fine-scale species distribution models to locational uncertainty in occurrence data across multiple sample sizes.Methods Ecol. Evol.812–21. 10.1111/2041-210X.12645
38
Muscarella R. Galante P. J. Soley-Guardia M. Boria R. A. Kass J. M. Uriarte M. et al (2014). An R package for conducting spatially independent evaluations and estimating optimal model complexity for MaxEnt ecological niche models.Methods Ecol. Evol.51198–1205. 10.1111/2041-210X.12261
39
National Forestry and Grassland Administration [NFGA] (2023). The 2023 No.7 bulletin of National Forestry and Grassland Administration—The epidemic area of pine wilt disease. Available online at: http://www.forestry.gov.cn/c/www/gkzfwj/380005.jhtml(accessed March 29, 2019).
40
Nunes D. Silva M. Lima M. Vasconcelos M. W. (2013). Susceptibility evaluation of Picea abies and Cupressus lusitanica to the pine wood nematode (Bursaphelenchus xylophilus).Plant Pathol.621398–1406. 10.1111/ppa.12037
41
Ochi K. (1969). Ecological studies on cerambycid injurious to pine trees (II) Biology of two Monochamus (Coleoptera, Cerambycidae).J. Japan. For. Soc.51188–192. 10.11519/jifs1953.51.7_188
42
Pan L. Li Y. Cui R. Liu Z. K. Zhang X. Y. (2020). Monochamus saltuarius endangers Pinus tabuliformis Carr. and carries Bursaphelenchus xylophilus (Steiner and Buhrer) in China.Forests11:1051. 10.3390/f11101051
43
Porfirio L. L. Harris R. M. B. Lefroy E. C. Hugh S. Gould S. F. Lee G. et al (2014). Improving the use of species distribution models in conservation planning and management under climate change.PLoS One9:e113749. 10.1371/journal.pone.0113749
44
Qi G. J. Chen T. Gao Y. Lei Y. Y. Lv L. H. (2015). Potential geographic distribution of Planococcus minor and P. lilacinus in China based on Maxent.J. Environ. Entomol.37219–223. 10.3969/j.issn.1674-0858.2015.02.1
45
Raffini F. Bertorelle G. Biello R. D’Urso G. Russo D. Bosso L. (2020). From nucleotides to satellite imagery: Approaches to identify and manage the invasive pathogen Xylella fastidiosa and its insect vectors in Europe.Sustainability12:4508. 10.3390/su12114508
46
Ramasamy M. Das B. Ramesh R. (2022). Predicting climate change impacts on potential worldwide distribution of fall armyworm based on CMIP6 projections.J. Pest Sci.95841–854. 10.1007/s10340-021-01411-1
47
Sato H. Takeshi S. Kobayashi M. (1987). Transmission of Bursaphelenchus xylophilus (Steiner et Buhrer) Nickle (Nematoda, Aphelenchoididae) by Monochamus saltuarius(Gebler)(Coleoptera, Cerambycidae).J. Jpn. For. Soc.69492–496.
48
Sillero N. (2011). What does ecological modelling model? A proposed classification of ecological niche models based on their underlying methods.Ecol. Model.2221343–1346. 10.1016/j.ecolmodel.2011.01.018
49
Sun Y. C. (1982). First report of pine wilt disease from Pinus thunbergii Parl in Sun Yat-sen Mausoleum.J. Jiangsu For. Sci. Technol.2:27.
50
Takahashi D. Park Y. S. (2020). Spatial heterogeneities of human-mediated dispersal vectors accelerate the range expansion of invaders with source–destination-mediated dispersal.Sci. Rep.10:21410. 10.1038/s41598-020-78633-3
51
Takizawa Y. Shoji T. (1982). Distribution of Monochamus saltuarius Gebler and its possible transmission of pine wood nematodes in Iwate Prefecture.Forest Pests314–6.
52
Tang X. Yuan Y. Li X. Zhang J. (2021). Maximum entropy modeling to predict the impact of climate change on pine wilt disease in China.Front. Plant Sci.12:652500. 10.3389/fpls.2021.652500
53
Wang Z. C. (2014). Monographna of original colored longicorn beetles of China.Beijing: Scientific and Technical Documentation Press.
54
Warren D. L. Seifert S. N. (2011). Ecological niche modeling in Maxent: The importance of model complexity and the performance of model selection criteria.Ecol. Appl.21335–342. 10.1890/10-1171.1
55
Wu H. Y. Tan Q. Q. Jiang S. X. (2013). First report of pine wilt disease caused by Bursaphelenchus xylophilus on Pinus thunbergii in the inland city of Zibo, Shandong, China.Plant Dis.97:1126. 10.1094/PDIS-01-13-0041-PDN
56
Yan H. He J. Xu X. Yao X. Wang G. Tang L. et al (2021). Prediction of potentially suitable distributions of Codonopsis pilosula in China based on an optimized MaxEnt model.Front. Ecol. Evol.9:821. 10.3389/fevo.2021.773396
57
Ye J. R. (2019). Epidemic status of pine wilt disease in china and its prevention and control techniques and counter measures.Sci. Silvae Sin.551–10. 10.11707/j.1001-7488.20190901
58
Ye J. R. Wu X. Q. (2022). Research progress of pine wilt disease.For. Pest Dis.411–10. 10.19688/j.cnki.issn1671-0886.20220026
59
Yu H. Y. Wu H. (2018). New host plants and new vector insects of Bursaphelenchus xylophilus were found in Liaoning.Chin. For. Insects37:61.
60
Yu H. Y. Wu H. Zhang X. D. Wang L. M. Zhang X. F. Song Y. S. (2019). Preliminary study on Larix spp. infected by Bursaphelenchus xylophilus in natural environment.For. Pest Dis.387–10. 10.19688/j.cnki.issn1671-0886.20180024
61
Zhang S. L. Gao R. H. Gao M. L. Han S. M. Zhang W. Y. Zhao J. (2023). Prediction of the potential distribution pattern of Pinus sylvestris var. mongolica in China under climate change.J. Zhejiang A F Univ.40560–568. 10.11833/j.issn.2095-0756.20220451
62
Zhang W. Li Y. Pan L. Wang X. Feng Y. Zhang X. (2020). Pine chemical volatiles promote dauer recovery of a pine parasitic nematode, Bursaphelenchus xylophilus.Parasitology14750–57. 10.1017/S0031182019001264
63
Zhang Y. L. Wang X. Y. Yang Z. Q. Wei K. Cao M. L. (2022). Research progress on natural enemies and their application of the vector insects of Bursaphelenchus xylophilus.For. Pest Dis.4121–29. 10.19688/j.cnki.issn1671-0886.20220027
64
Zhao L. Zhang S. Wei W. Hao H. Zhang B. Butcher R. A. et al (2013). Chemical signals synchronize the life cycles of a plant-parasitic nematode and its vector beetle.Curr. Biol.232038–2043. 10.1016/j.cub.2013.08.041
65
Zhao S. G. Chen G. F. Qu H. C. Xu S. L. Lu Y. H. Wang J. (2021). Advances in studies on biological and ecological characteristics of Monochamus saltuarius.For Pest Dis.4037–43. 10.19688/j.cnki.issn1671-0886.20210020
66
Zong S. X. Bi H. J. (2022). Monitoring progress and prospect of pine wilt disease based on UAV remote sensing.For Pest Dis.4145–51. 10.19688/j.cnki.issn1671-0886.20220037
Summary
Keywords
pine wilt disease, Monochamus saltuarius , Bursaphelenchus xylophilus , MaxEnt, climate change
Citation
Gao R, Liu L, Li R, Fan S, Dong J and Zhao L (2023) Predicting potential distributions of Monochamus saltuarius, a novel insect vector of pine wilt disease in China. Front. For. Glob. Change 6:1243996. doi: 10.3389/ffgc.2023.1243996
Received
21 June 2023
Accepted
22 August 2023
Published
12 September 2023
Volume
6 - 2023
Edited by
Antonín Martiník, Mendel University in Brno, Czechia
Reviewed by
Slobodan Milanović, University of Belgrade, Serbia; Rajendra Mohan Panda, University of South Florida, United States
Updates
Copyright
© 2023 Gao, Liu, Li, Fan, Dong and Zhao.
This is an open-access article distributed under the terms of the Creative Commons Attribution License (CC BY). The use, distribution or reproduction in other forums is permitted, provided the original author(s) and the copyright owner(s) are credited and that the original publication in this journal is cited, in accordance with accepted academic practice. No use, distribution or reproduction is permitted which does not comply with these terms.
*Correspondence: Lijuan Zhao, sxndmy2017@163.com
†These authors have contributed equally to this work
Disclaimer
All claims expressed in this article are solely those of the authors and do not necessarily represent those of their affiliated organizations, or those of the publisher, the editors and the reviewers. Any product that may be evaluated in this article or claim that may be made by its manufacturer is not guaranteed or endorsed by the publisher.