REVIEW article
Front. Nutr.
Sec. Sport and Exercise Nutrition
The Effects of Exercise Training and Nutritional Supplementation on Taekwondo Performance: A Systematic Review and Meta-Analysis
Provisionally accepted- 1School of Physical Education, Guizhou Normal University, Guiyang, China
- 2Key Laboratory of Brain Function and Brain Disease Prevention and Treatment of Guizhou Province, Guiyang, Guizhou Province, China
Select one of your emails
You have multiple emails registered with Frontiers:
Notify me on publication
Please enter your email address:
If you already have an account, please login
You don't have a Frontiers account ? You can register here
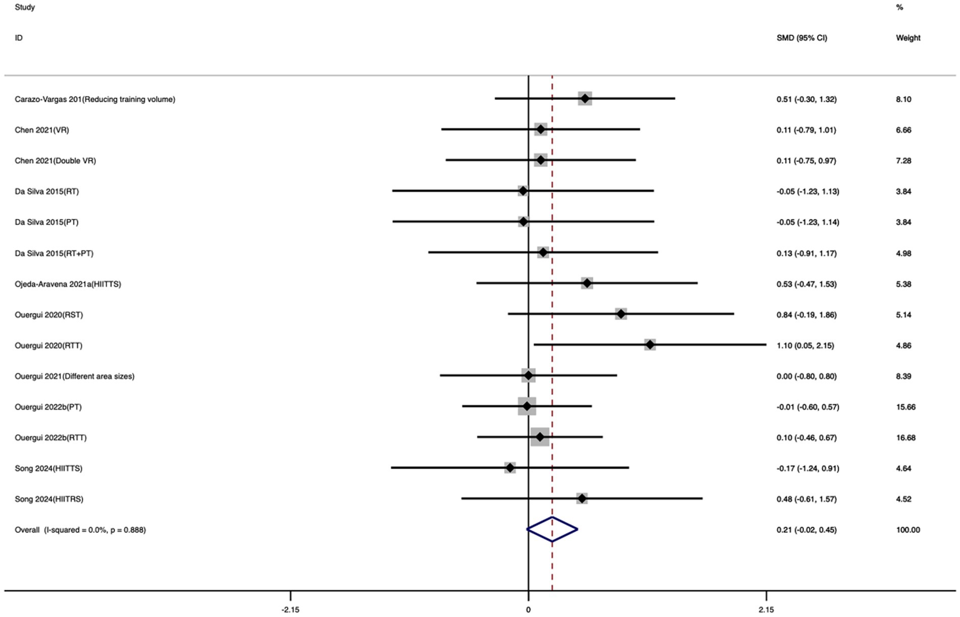
Background: Taekwondo involves dynamic kicking and intermittent high-intensity efforts; the quantitative effects of training and supplementation on sport-specific outcomes remain unclear. Objective: To systematically quantify the effects of exercise training and nutritional supplementation on taekwondo-specific performance indicators —TSAT, FSKT (10-second and multiple-bout), CMJ, VO2max, and heart-rate indices (HRmean, HRmax, HRpeak) — and to explore potential moderators.Methods:A PRISMA-guided systematic review and random-effects meta-analysis (SMD, 95% CI) were conducted on randomized or quasi-experimental studies involving taekwondo athletes. Risk of bias was assessed using RoB 2.0. Primary outcomes included TSAT and FSKT performance; secondary outcomes included CMJ, VO2max, and HR indices. Results: Exercise training significantly improved TSAT (SMD = –0.82; 95% CI: –1.43 to – 0.21), FSKT-10s (SMD = 0.82; 95% CI: 0.15–1.49), FSKT-mult (SMD = 0.95; 95% CI: 0.55–1.35), and VO2max (SMD = 1.54; 95% CI: 0.58–2.49); CMJ (SMD = 0.21; 95% CI: –0.02–0.45) and HRmax (SMD = – 0.02; 95% CI: – 0.48 – 0.44) showed no significant changes. Nutritional supplementation—especially caffeine—improved TSAT (SMD = –1.41; 95% CI: –2.24 to – 0.57), FSKT-10s (SMD = 1.82; 95% CI: 1.08–2.57), FSKT-mult (SMD = 1.67; 95% CI: 0.72–2.62), and VO2max (SMD = 0.95; 95% CI: 0.60–1.31), with no effect on HR_mean (SMD = 0.10; 95% CI: – 0.28 – 0.47) or HRpeak (SMD = 0.28; 95% CI: – 0.46 – 1.02).Conclusions: Both exercise training and nutritional supplementation significantly improve agility, repeated-kick performance, and aerobic capacity in taekwondo athletes. Nevertheless, the findings should be generalized cautiously due to the observed heterogeneity. Future well-designed, adequately powered randomized controlled trials with standardized protocols are warranted.
Keywords: Taekwondo, training, supplementation, agility, repeated-kick, VO2max, Meta-analysis
Received: 29 Apr 2025; Accepted: 30 Oct 2025.
Copyright: © 2025 Xu, Zhang and Luo. This is an open-access article distributed under the terms of the Creative Commons Attribution License (CC BY). The use, distribution or reproduction in other forums is permitted, provided the original author(s) or licensor are credited and that the original publication in this journal is cited, in accordance with accepted academic practice. No use, distribution or reproduction is permitted which does not comply with these terms.
* Correspondence: Lin  Luo, 460022831@gznu.edu.cn
Disclaimer: All claims expressed in this article are solely those of the authors and do not necessarily represent those of their affiliated organizations, or those of the publisher, the editors and the reviewers. Any product that may be evaluated in this article or claim that may be made by its manufacturer is not guaranteed or endorsed by the publisher.
