ORIGINAL RESEARCH article
Front. Nutr.
Sec. Nutritional Epidemiology
Associations of specific food sources of dietary fat with prostate cancer incidence and mortality: results from a large prospective cohort
Provisionally accepted- 1The Banan Affiliated Hospital of Chongqing Medical University, Chongqing, China, Chongqing, China
- 2Beijing Friendship Hospital, Capital Medical University, Beijing, China, Beijing, China
- 3The Second Affiliated Hospital of Chongqing Medical University, Chongqing, China, Chongqing, China
Select one of your emails
You have multiple emails registered with Frontiers:
Notify me on publication
Please enter your email address:
If you already have an account, please login
You don't have a Frontiers account ? You can register here
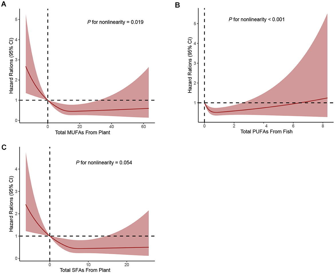
Background Although fat intake has been implicated in prostate cancer (PCa) risk, the specific impact of dietary fat from specific food sources on PCa susceptibility in United States populations remains unclear. Methods This prospective cohort included 49,424 men from the Prostate, Lung, Colorectal, and Ovarian Cancer Screening Trial. Cox proportional hazards regression was used to evaluate the risk of PCa incidence and mortality. Subgroup and sensitivity analyses were performed to investigate the potential effect modifiers. Results During follow-up, we documented 4,308 incident cases of PCa, of whom 392 died from PCa. Total amount and specific types of fat intakes were not associated with PCa incidence and mortality. When considering available food sources, a greater intake of fat from dairy (HR Q4 versus Q1:1.13; 95% CI: 1.02-1.25; P trend = 0.069) and saturated fatty acids (SFAs) from dairy (HR Q4 versus Q1:1.12; 95% CI: 1.01-1.24; P trend = 0.059) was associated with a higher incidence of PCa in a linear dose-response association (all P nonlinearity > 0.05). However, a greater intake of plant-based monounsaturated fatty acids (MUFAs) (HR Q4 versus Q1: 0.67; 95% CI: 0.48-0.94; P trend = 0.023), plant-based SFAs (HR Q4 versus Q1:0.65; 95% CI: 0.47-0.91; P trend = 0.026) and polyunsaturated fatty acids (PUFAs) from fish (HR Q4 versus Q1: 0.48; 95% CI: 0.48-0.87; P trend = 0.005) was associated with a decreased PCa This is a provisional file, not the final typeset article mortality in a nonlinear dose-response relationships (all P nonlinearity < 0.05). The reliability of these results was supported by sensitivity and subgroup analyses. Conclusion These findings demonstrat that the specific food sources of fat rather than total amount were significantly associated with PCa incidence and mortality.
Keywords: Fat and fatty acids, prostate cancer (PCa), prospective cohort, cancer prevention, risk factor
Received: 17 May 2025; Accepted: 24 Oct 2025.
Copyright: © 2025 Fu, Ye, Li, Liu, Chen, Jiang and Li. This is an open-access article distributed under the terms of the Creative Commons Attribution License (CC BY). The use, distribution or reproduction in other forums is permitted, provided the original author(s) or licensor are credited and that the original publication in this journal is cited, in accordance with accepted academic practice. No use, distribution or reproduction is permitted which does not comply with these terms.
* Correspondence: 
Xiao-Liang  Jiang, 138436@hospital.cqmu.edu.cn
Ke  Li, 132085@hospital.cqmu.edu.cn
Disclaimer: All claims expressed in this article are solely those of the authors and do not necessarily represent those of their affiliated organizations, or those of the publisher, the editors and the reviewers. Any product that may be evaluated in this article or claim that may be made by its manufacturer is not guaranteed or endorsed by the publisher.
