ORIGINAL RESEARCH article
Front. Nutr.
Sec. Clinical Nutrition
Prognostic Value of the Geriatric Nutritional Risk Index in Sepsis-Associated Acute Kidney Injury: A Retrospective Cohort Study
Provisionally accepted- 1Zhongshan Hospital of Traditional Chinese Medicine Affiliated to Guangzhou University of Traditional Chinese Medicine, Zhongshan, China
- 2People's Liberation Army Information Engineering University, Zhengzhou, China
Select one of your emails
You have multiple emails registered with Frontiers:
Notify me on publication
Please enter your email address:
If you already have an account, please login
You don't have a Frontiers account ? You can register here
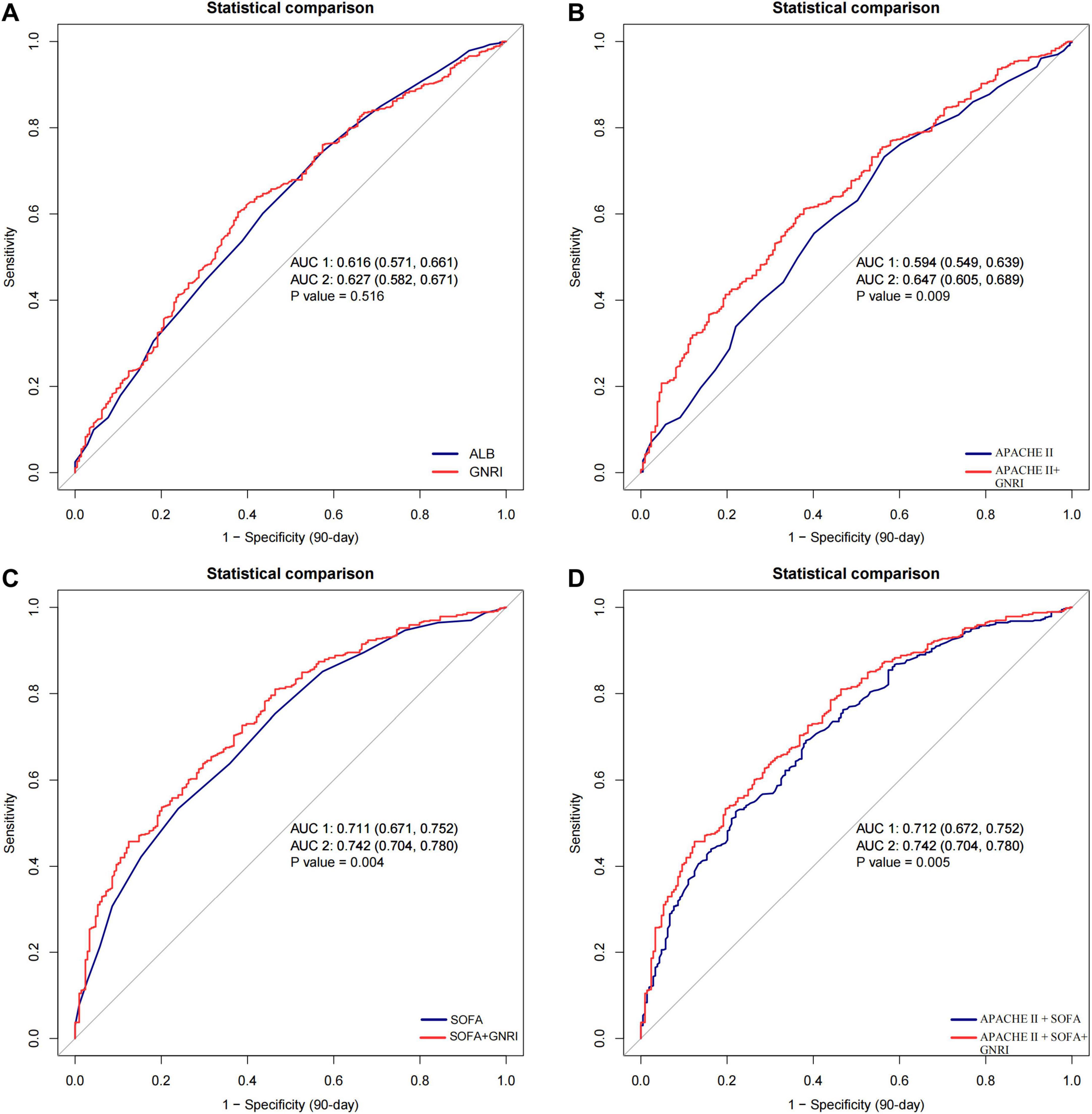
Background: The Geriatric Nutritional Risk Index (GNRI) is a simple and objective tool for assessing nutritional status. It has shown prognostic value in patients with acute kidney injury (AKI). However, evidence in sepsis-associated AKI (S-AKI) remains limited, especially among patients receiving continuous renal replacement therapy (CRRT). Methods: This retrospective cohort study included 773 critically ill S-AKI patients who received CRRT, using data from the publicly available Dryad database. Patients were stratified into tertiles based on GNRI values. Cox proportional hazards models were employed to assess the association between GNRI and 28-day and 90-day all-cause mortality, with the lowest tertile serving as the reference group. Kaplan–Meier survival analyses were used to compare cumulative mortality across GNRI strata. Results: Among 773 patients, the 28-day and 90-day mortality rates were 61.7% and 73.0%, respectively. After adjusting for multiple confounders, higher GNRI scores were independently associated with lower all-cause mortality. Compared to the lowest GNRI group, the highest tertile showed significantly reduced mortality risks (28-day HR = 0.53; 95% CI: 0.47–0.75; p < 0.001; 90-day HR = 0.50; 95% CI: 0.41–0.63; p < 0.001). The association remained robust in subgroup analyses and was particularly pronounced in patients aged ≥65 years. Conclusion: GNRI independently predicts short-term mortality in critically ill S-AKI patients on CRRT. It is simple, objective, and integrates nutritional and inflammatory status. It can assist early risk stratification and nutritional assessment.
Keywords: Geriatric Nutritional Risk Index, Sepsis-associated acute kidney injury, continuous renal replacement therapy, Short-term mortality, Nutritional assessment
Received: 26 May 2025; Accepted: 31 Oct 2025.
Copyright: © 2025 Ren, Tang, Guo, He, Dong, Chen, Ding, Li, Zhou and Li. This is an open-access article distributed under the terms of the Creative Commons Attribution License (CC BY). The use, distribution or reproduction in other forums is permitted, provided the original author(s) or licensor are credited and that the original publication in this journal is cited, in accordance with accepted academic practice. No use, distribution or reproduction is permitted which does not comply with these terms.
* Correspondence:
Lijuan Dong, 1751066649@qq.com
Huibing Chen, 33926401@qq.com
Disclaimer: All claims expressed in this article are solely those of the authors and do not necessarily represent those of their affiliated organizations, or those of the publisher, the editors and the reviewers. Any product that may be evaluated in this article or claim that may be made by its manufacturer is not guaranteed or endorsed by the publisher.
