Your new experience awaits. Try the new design now and help us make it even better

ORIGINAL RESEARCH article

Front. Nutr., 28 October 2025

Sec. Nutritional Epidemiology

Volume 12 - 2025 | https://doi.org/10.3389/fnut.2025.1638390

Global burden and temporal trends of tuberculosis attributable to high sugar-sweetened beverage consumption: insights from the Global Burden of Disease Study 2021

Updated
Lijie QiuLijie QiuYixiang ZhangYixiang ZhangKun YanKun YanJianxiu XuJianxiu XuLuxin FanLuxin FanMengmeng PengMengmeng PengChengpeng Gao
Chengpeng Gao*
  • Department of Respiratory Medicine Center, Weifang People’s Hospital, Shandong Second Medical University, Weifang, Shandong, China

Background: This study aims to assess the current global burden and temporal trends of tuberculosis (TB) attributable to high sugar-sweetened beverage (SSB) consumption, and to analyze its association with the Socio-demographic Index (SDI), in order to provide evidence for TB prevention and control strategies.

Methods: Based on data from the Global Burden of Disease Study 2021 (GBD 2021), we analyzed changes in incidence, prevalence, disability-adjusted life years (DALYs), and mortality of TB attributable to high SSB consumption globally and across regions from 1990 to 2021. The Das Gupta decomposition method was applied to assess the contributions of population growth, aging, and epidemiological changes.

Results: In 2021, global disability-adjusted life years (DALYs) and deaths due to TB attributable to high SSB consumption increased by 52 and 44%, respectively, compared to 1990. However, the age-standardized rates (per 100,000 population) declined. The burden was highest and grew most rapidly in low-middle SDI regions, while high SDI regions experienced the fastest decline in mortality rates. The disease burden peaked in the 50–54 age group and was higher in males than females. Cross-country inequality analysis indicated that the TB burden was more concentrated in lower SDI regions.

Conclusion: The health burden of TB attributable to high SSB consumption presents complex global patterns. Low- and middle-income regions face higher TB risks, highlighting the need for strengthened public health measures, particularly interventions targeting high SSB consumption, to achieve the goal of ending the TB epidemic by 2030.

Introduction

Tuberculosis (TB) is a chronic infectious disease caused by Mycobacterium tuberculosis, primarily affecting the lungs but capable of spreading to other organs through the bloodstream or lymphatic system (13). Although the global incidence and mortality rates of TB have declined, the progress remains slow, making it difficult to achieve the World Health Organization’s (WHO) “End TB Strategy” targets. In 2019, an estimated 10 million people developed TB globally, with an incidence rate of 130 per 100,000 population (4). The majority of global TB cases are concentrated in Southeast Asia, Africa, and the Western Pacific. Eight countries—India, Indonesia, China, the Philippines, Pakistan, Nigeria, Bangladesh, and South Africa—accounted for two-thirds of the global total (4).

In terms of treatment and prevention, 7.1 million people received TB treatment in 2019, but 2.9 million cases remained undiagnosed or unreported (5). While the coverage of preventive treatment has improved, disparities in resource allocation persist, particularly in high-burden countries and regions where TB control capacity needs urgent strengthening.

A growing body of evidence has linked the consumption of sugar-sweetened beverages (SSBs) to numerous health issues, including weight gain, obesity, type 2 diabetes, cardiovascular diseases, kidney disease, non-alcoholic fatty liver disease, gout, dental caries, and mental health problems (69). The high sugar content in these beverages often leads to excessive caloric intake, insulin resistance, and metabolic dysfunction. Increasing research has shown that SSBs can worsen TB outcomes through multiple mechanisms (1012). First, large amounts of sucrose and high-fructose corn syrup rapidly elevate blood glucose levels, creating a hyperglycemic microenvironment that directly promotes the proliferation of Mycobacterium tuberculosis and significantly increases the risk of diabetes, which in turn raises the probability of TB by 4–8 times. Second, sustained hyperglycemia suppresses T-cell secretion of interferon-γ, weakening macrophage phagocytosis and bactericidal activity, thereby hindering the clearance of TB bacteria. Third, SSBs induce chronic low-grade inflammation and upregulate the expression levels of TNF-α and IL-6, which leads to an expansion of pulmonary lesions and accelerated cavity formation (10). Clinical observations have shown that TB patients with hyperglycemia face a 94% higher risk of sputum smear positivity, experience prolonged time to conversion, and have an increased relapse rate (10).

This study utilizes data from the Global Burden of Disease Study 2021 (GBD 2021) to analyze the temporal trends in the incidence, prevalence, disability-adjusted life years (DALYs), and mortality of TB attributable to high sugar-sweetened beverages consumption (TB attributable to high SSB consumption). By examining data across 21 GBD regions, this study also explores the influence of sex, age, and socio-demographic development on the burden of TB attributable to high SSB consumption. The goal is to serve as a valuable resource for global TB control efforts, providing insights for more effective prevention strategies targeting high-SSB dietary risks and contributing to the global goal of ending the TB epidemic by 2030.

Methods

Data sources and disease definition

Data for this study were obtained from the Global Burden of Disease Study 2021 (GBD 2021), which covers 204 countries and territories, 811 subnational regions, 371 diseases and injuries, and 88 risk factors from 1990 to 2021 (1317). The database provides key health indicators, including incidence, prevalence, mortality, and disability-adjusted life years (DALYs). The Socio-demographic Index (SDI), a composite measure of socioeconomic development, was calculated as the geometric mean of the total fertility rate under age 25 (TFU25), mean years of education in the population aged 15 years or older (EDU15+), and lag-distributed income per capita (LDI), with values ranging from 0 to 1 (18). Tuberculosis (TB), caused by Mycobacterium tuberculosis and primarily transmitted through the respiratory route, can affect the lungs as well as other organs, and is coded under ICD-10 A15–A19 (1). The study period spanned from January 1, 1990, to December 31, 2021.

The data extraction process was as follows: We accessed the GBD 2021 online website.1 Under the “GBD Estimate” category, we selected “Risk factor.” In the “Measure” category, we chose “Deaths” and “DALYs.” Under the “Metric” category, we selected “Rate” and “Number.” In the “Risk” category, we selected “Diet high in sugar-sweetened beverages.” In the “Cause” category, we selected “Tuberculosis.” For “Location,” we selected “Global,” “5 SDI regions,” “21 GBD regions,” and “204 countries.” Under the “Age” category, we selected “Age-standardized,” “All ages,” and “specific age groups.” In the “Sex” category, we selected “Male,” “Female,” and “Both.” Finally, under the “Year” category, we selected “1990–2021.”

Disability-adjusted life years

DALYs are a comprehensive measure of disease burden, calculated as the sum of years of life lost due to premature mortality (YLL) and years lived with disability (YLD): DALY = YLL + YLD (16, 19). This metric captures the overall impact of disease on population health and serves as a key reference for public health decision-making.

Decomposition analysis

This study applied the Das Gupta method to decompose changes in disease burden into contributions from population growth, population aging, and epidemiological changes (18, 20, 21). This approach clarifies the role of each factor in the overall change and provides quantitative support for public health interventions.

Cross-country inequality analysis

Cross-national inequality analysis evaluates health and socioeconomic disparities between countries (13, 14, 22). Slope index of inequality (SII) is used to assess absolute inequality, while the concentration index (CI) reflects how the health burden is distributed across countries with varying SDI levels. A positive value indicates a higher burden concentrated in high SDI countries, whereas a negative value indicates the opposite. This analysis helps identify health disparities and supports global efforts toward equitable development.

Forecasting analysis

This study used the Nordpred model to forecast the future burden of TB (20). The model incorporates historical trends and current demographic structures to estimate future incidence levels, providing a basis for public health planning and resource allocation.

Statistical analysis

The estimated annual percentage change (EAPC) is a statistical indicator used in epidemiological and public health research to measure the average annual change in a health indicator (such as DALYs or mortality rate) over a specific period of time (18, 22). The calculation is usually based on a log-linear regression model, with year as the independent variable and the natural logarithm of the indicator as the dependent variable. The fitted equation is log(Y) = α + β·t + ε, where Y represents the age-standardized rate, t represents the time variable, α is the intercept, β is the coefficient of the time variable, and ε is the error term. The EAPC is derived from the formula 100 × (exp(β) − 1) (23). In addition, this study also used percentage change to reflect the change in the number of DALYs and death cases in 2021 compared with 1990. Percentage change = (2021 cases − 1990 cases)/1990 cases.

Moreover, the age-standardized mortality rate (ASMR), age-standardized DALY rate (ASDR), and their corresponding EAPC and percentage change were used to compare the disease burden and time trends across different genders, ages, and geographical regions. The Nordpred R package was applied for predictive analysis. Data cleaning, computation, and graph plotting were conducted using R software (version 4.2.1) in this study.

Results

Global and regional burden of TB attributable to high SSB consumption

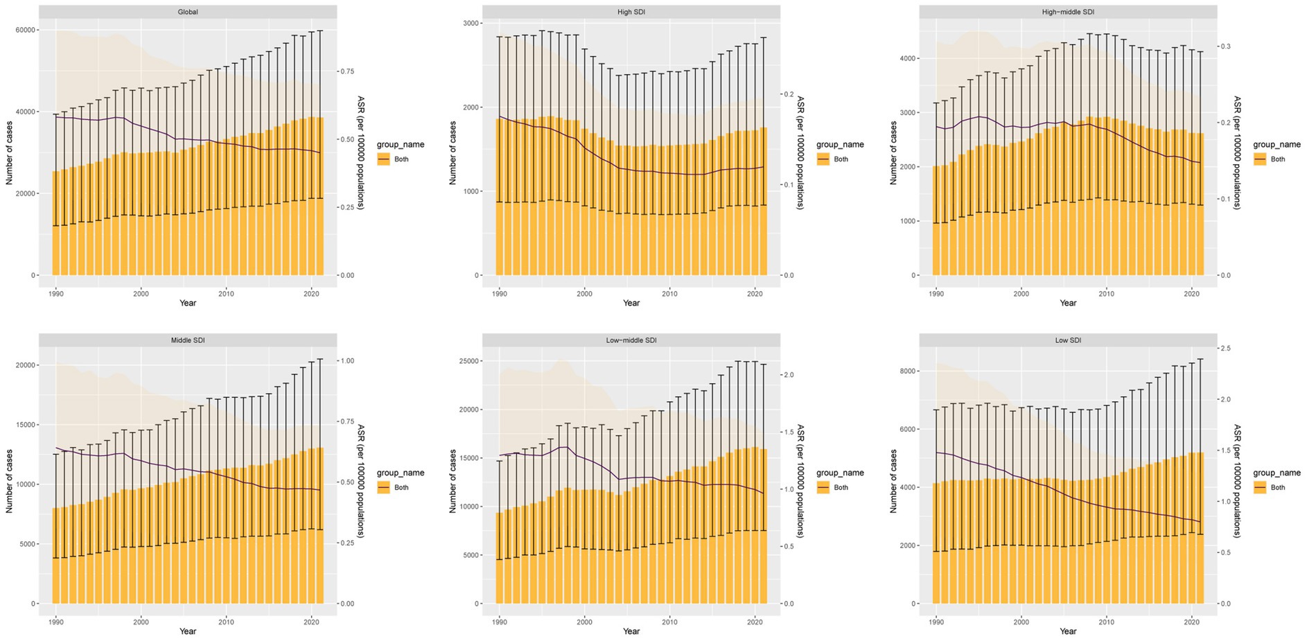
In 2021, the number of DALYs cases of TB attributable to high SSB consumption was 38576.23, a 52% increase from 25390.76 in 1990. However, the ASDR decreased from 0.58 per 100,000 in 1990 to 0.45 per 100,000 in 2021, with an EAPC of −0.94 (95% CI, −1.02 to −0.86). In 2021, there were 1067.92 death cases, a 44% increase from 739.4 in 1990. The ASMR decreased from 0.01806 per 100,000 in 1990 to 0.01246 per 100,000 in 2021, with an EAPC of −1.33 (95% CI, −1.41 to −1.24) (Figure 1, Supplementary Figure 1).

Figure 1
Six bar graphs with error bars display the number of cases and age-standardized rates (ASR) from 1990 to 2020. Graph A shows global data, B high SDI, C high-middle SDI, D middle SDI, E low-middle SDI, and F low SDI. Orange bars represent the case count, and ASR trends are shown in purple lines. Each graph compares different Socio-demographic Index (SDI) groups.

Figure 1. DALYs cases and ASDR of TB attributable to high SSB consumption from 1990 to 2021.

Among the five SDI regions, the low-middle SDI region had the highest DALYs and death cases, at 15920.15 and 445.92 respectively, with percentage changes of 70 and 63%. This region also recorded the highest ASDR and ASMR at 0.96 and 0.02963 per 100,000 respectively, with EAPCs of −1.08 (95% CI: −1.21 to −0.94) and −1.3 (95% CI: −1.43 to −1.16). Over the past 32 years, the low SDI region experienced the fastest decline in ASDR, with an EAPC of −2.1 (95% CI: −2.19 to −2.02), while the high SDI region saw the steepest decline in ASMR, with an EAPC of −2.65 (95% CI: −2.92 to −2.37). From 1990 to 2021, Western Sub-Saharan Africa experienced the fastest increase in DALYs and death cases among the 21 GBD regions, with percentage changes of 261 and 237%, and EAPCs of 1.61 (95% CI, 1.18 to 2.05) and 1.55 (95% CI, 1.12 to 1.98), respectively (Tables 1, 2).

Table 1
www.frontiersin.org

Table 1. Disability-adjusted life years (DALYs) and age-standardized DALY rate (ASDR) of TB attributable to high SSB consumption in 1990 and 2021, and the PC and EAPC from 1990 to 2021.

Table 2
www.frontiersin.org

Table 2. Deaths and age-standardized mortality rate (ASMR) of TB attributable to high SSB consumption in 1990 and 2021, and the PC and EAPC from 1990 to 2021.

National burden of TB attributable to high SSB consumption

Over the past 32 years, the top five countries with the fastest-growing DALYs cases were Ghana, Equatorial Guinea, Djibouti, Turkmenistan, and Lesotho, with percentage changes of 960, 608, 576, 493, and 454%, respectively. The top five countries with the fastest-growing death cases were Ghana, Djibouti, Turkmenistan, Equatorial Guinea, and Kuwait, with increases of 909, 550, 447, 431, and 425%, respectively. The top five countries with the fastest decline in ASDR were Cyprus, Maldives, Japan, Hungary, and Ecuador, with EAPCs of −6.72 (95% CI: −7 to −6.44), −6.65 (95% CI: −7.14 to −6.15), −6.1 (95% CI: −6.41 to −5.79), −6.09 (95% CI: −6.29 to −5.9), and −5.72 (95% CI: −6.07 to −5.36), respectively. The top five countries with the fastest decline in ASMR were Cyprus, Bermuda, Hungary, Taiwan, and Maldives, with EAPCs of −7.13 (95% CI: −7.54 to −6.71), −6.84 (95% CI: −7.51 to −6.17), −6.68 (95% CI: −6.89 to −6.48), −6.59 (95% CI: −7.02 to −6.16), and −6.47 (95% CI: −6.88 to −6.06), respectively (Figures 2A,B, Supplementary Tables 1, 2).

Figure 2
World maps labeled A and B display ASDR and ASMR data distribution across countries using colored categories. A shows a range from less than 0.04 to 7.01, while B uses fewer categories from below zero to 0.21. Insets focus on specific regions: Caribbean, Persian Gulf, Balkans, Southeast Asia, West Africa, Eastern Mediterranean, and Northern Europe, showing variations in detail.

Figure 2. ASDR (A) and ASMR (B) of TB attributable to high SSB consumption per 100,000 population in 2021, by country.

Age and sex differences in the burden of TB attributable to high SSB consumption

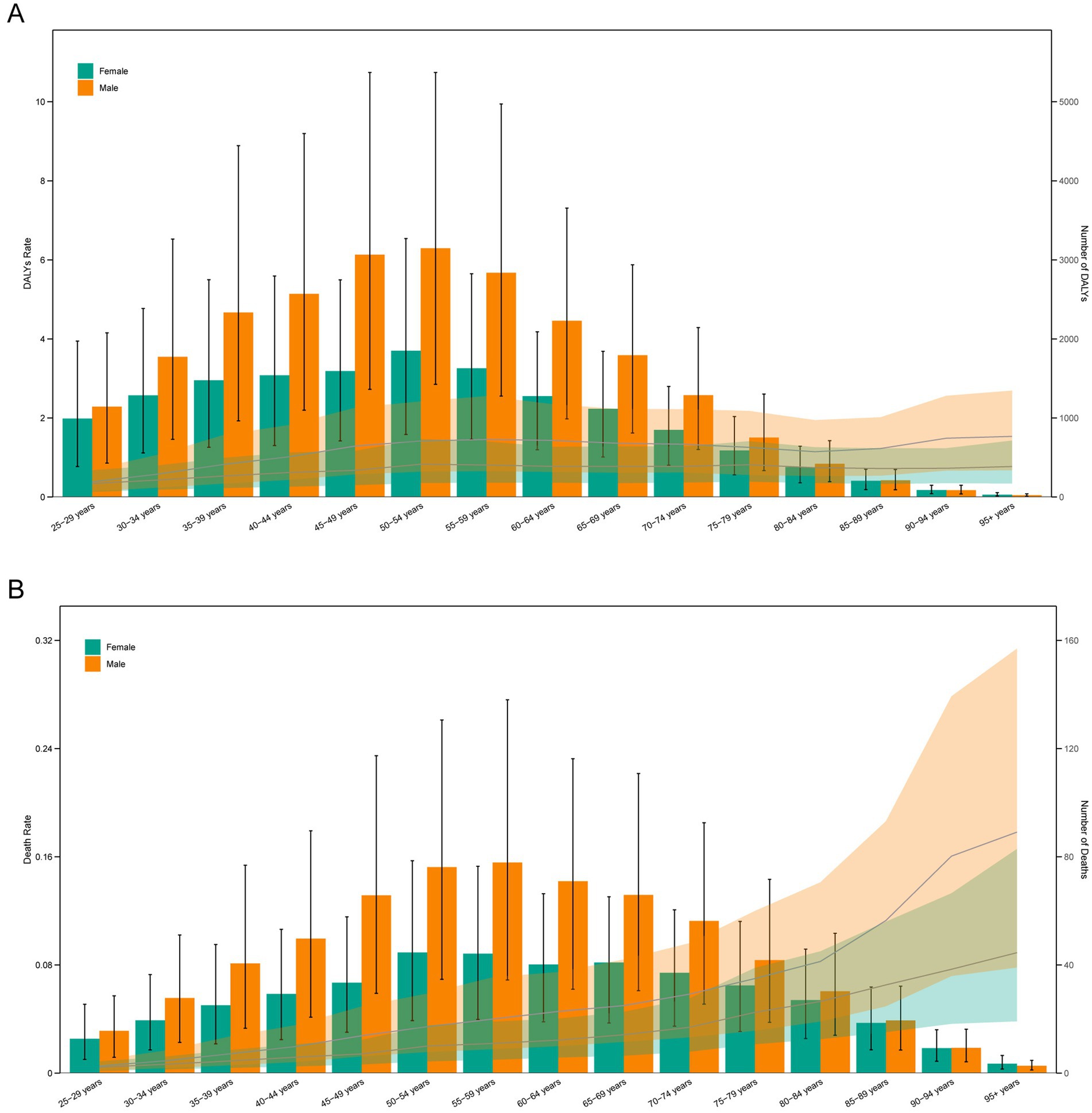
In 2021, DALYs cases of TB attributable to high SSB consumption increased progressively with age, peaking in the 50–54 age group. Among individuals under 90 years, men had significantly higher DALYs cases than women. Additionally, male death cases peaked in the 55–59 age group, while female death cases peaked in the 50–54 age group. The highest DALYs and death rates for men occurred in the 95+ age group, while for women, the highest DALYs rates was in the 50–54 age group and the highest death rates was in the 95+ age group (Figures 3A,B).

Figure 3
Two bar charts labeled A and B compare DNA rate and death rate by age group for males and females. Chart A shows rates for age groups 25-29 to 85+ years, with males generally having higher bars than females. Chart B shows a similar pattern with varying scales. Both charts include error bars and line graphs for context.

Figure 3. Age-specific numbers and rates of DALYs (A) and deaths (B) of TB attributable to high SSB consumption by age and sex in 2021.

Relationship between the burden of TB attributable to high SSB consumption and SDI

In 2021, there was a significant negative correlation between ASDR and ASMR for TB attributable to high SSB consumption and the SDI (Figure 4, Supplementary Figure 2). With economic development, the overall disease burden showed a decreasing trend. Specifically, when the SDI exceeded 0.4, ASDR and ASMR declined gradually with increasing SDI. Notably, the disease burden in Central Sub-Saharan Africa, South Asia, and Southern Sub-Saharan Africa was significantly higher than expected, while that in Eastern Sub-Saharan Africa, Western Sub-Saharan Africa, North Africa and Middle East, East Asia, and Caribbean was significantly lower than expected.

Figure 4
Two scatter plots depict the relationship between the Socio-Demographic Index and health outcomes by region, using colored symbols to represent each. Plot A shows Disability-Adjusted Life Years (DALY) rates per 100,000 population, with a correlation coefficient of R = -0.553, indicating a moderate negative correlation. Plot B illustrates death rates per 100,000 population with a stronger negative correlation of R = -0.585. Both plots show a decreasing trend as the Socio-Demographic Index increases, with significant P-values less than 0.001.

Figure 4. ASDR of TB attributable to high SSB consumption in 21 GBD regions by SDI, 1990–2021.

Decomposition analysis of TB burden attributable to high SSB consumption

Over the past 32 years, global DALYs cases increased by 13185.47, of which aging contributed 2534.19 (19.22%), population growth contributed 18961.28 (143.8%), and epidemiological changes contributed −8,310 (−63.02%). In high SDI regions, DALYs cases decreased by 101.37, with aging contributing 207.35 (−204.55%), population growth contributing 676.75 (−667.62%), and epidemiological changes contributing −985.46 (972.17%) (Figure 5A).

Figure 5
Bar charts titled A and B compare data for both genders, females, and males across different locations labeled by SDI levels. Each bar is divided into segments representing aging, population, and epidemiological change, coded in purple, yellow, and teal. The horizontal axis shows value ranges, with the vertical axis listing global and various SDI levels. Black dots indicate central values on each bar. A chart represents values in thousands, while B covers a smaller range.

Figure 5. Decomposition analysis of changes in DALYs (A) and deaths (B) of TB attributable to high SSB consumption between 1990 and 2021 across SDI regions.

Globally, death cases increased by 328.52, with aging contributing 134.79 (41.03%), population growth contributing 541.87 (164.94%), and epidemiological changes contributing −348.14 (−105.97%). In high SDI regions, death cases decreased by 10.24, with aging contributing 17.84 (−174.17%), population growth contributing 24.36 (−237.84%), and epidemiological changes contributing −52.44 (512%) (Figure 5B).

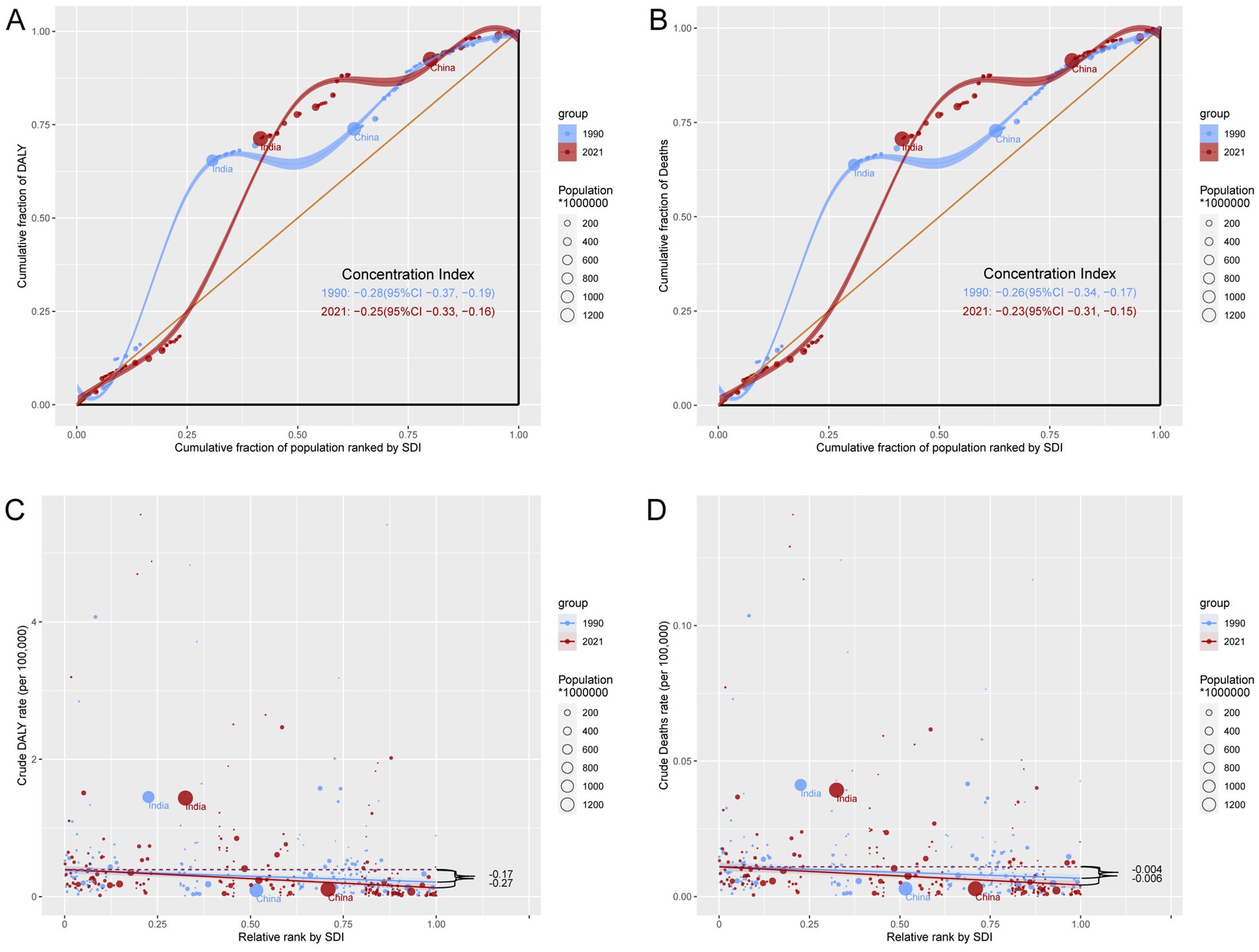
Cross-country inequality in TB burden attributable to high SSB consumption

From 1990 to 2021, the SII for DALYs rates increased from −0.28 to −0.25, and for death rates from −0.26 to −0.23, indicating a narrowing gap in DALYs and death rates between the highest and lowest SDI regions. However, the CI for DALYs rates decreased from −0.17 in 1990 to −0.27 in 2021, and for death rates from −0.004 to −0.006. Thus, the burden of TB attributable to high SSB consumption has become increasingly concentrated in lower SDI regions, with a growing trend of relative inequality (Figures 6AD).

Figure 6
Four-panel figure comparing data from 1990 and 2021.Panel A: Line graph showing cumulative fraction of DALYs by socio-demographic index (SDI), highlighting China and India. Concentration Index for 1990 is -0.28, and for 2021 is -0.25.Panel B: Line graph showing cumulative fraction of deaths by SDI, highlighting China and India. Concentration Index for 1990 is -0.26, and for 2021 is -0.23.Panel C: Scatter plot of crude DALY rate with SDI, showing India and China. Regression line shows trend with a slope of -0.27.Panel D: Scatter plot of crude death rate with SDI, showing India and China. Regression line shows trend with a slope change between 1990 and 2021. Charts indicate differences in population size through bubble sizes.

Figure 6. Health inequality analysis of DALYs and mortality in TB attributable to high SSB consumption in 1990 and 2021 across the world. (A) Concentration curves for DALYs. (B) Concentration curves for mortality. (C) Health inequality regression curves for DALYs. (D) Health inequality regression curves for mortality.

Forecast analysis of TB burden attributable to high SSB consumption

Forecast analysis suggests that from 2022 to 2045, the numbers of DALYs and death cases will continue to rise annually, with male cases consistently higher than female cases. Notably, while ASDR and ASMR showed significant declines over the past 30 years, they are projected to remain relatively stable or slightly increase in the next two decades, with future ASDR and ASMR expected to be significantly higher in males than in females (Figures 7A,B).

Figure 7
Two side-by-side charts displaying data from 1990 to 2060. Chart A shows the number of Disability-Adjusted Life Years (DALYs) cases and Age-Standardized Disability Rates (ASDR) for males, females, and both combined. Chart B displays the number of death cases and Age-Standardized Mortality Rates (AMSR) for the same groups. Observed and predicted lines are included. A vertical dashed line marks the present year, dividing observed and predicted data.

Figure 7. Projections of the temporal trends of the number of DALYs cases, mortality cases, ASDR, and ASMR of TB attributable to high SSB consumption globally up to 2045. (A) The number and ASDR of TB attributable to high SSB consumption by year and gender. (B) The number and ASMR of TB attributable to high SSB consumption by year and gender.

Discussion

The study found that SSBs contain large amounts of absorbable carbohydrates, which can cause rapid increases in blood glucose and insulin concentrations (24, 25). Long-term and excessive consumption raises dietary glycemic load, leading to impaired glucose tolerance and insulin resistance (26, 27). It also promotes hepatic fat synthesis, resulting in hypertriglyceridemia and other metabolic abnormalities. SSB intake is closely associated with inflammatory responses, as fructose can activate inflammatory pathways, trigger chronic inflammation, and increase the risk of insulin resistance and type 2 diabetes (28, 29). There is a metabolic and immune interaction between type 2 diabetes and tuberculosis. A hyperglycemic environment is conducive to the growth of Mycobacterium tuberculosis and can impair host defense mechanisms. SSB intake may indirectly weaken anti-tuberculosis immunity by increasing the risk of type 2 diabetes (28).

From 1990 to 2021, the impact of SSB consumption on the TB burden showed complex and multidimensional changes. Although the absolute numbers of DALYs and deaths due to TB attributable to high SSB consumption have continued to rise globally, the rates (per 100,000 population) have declined. This trend indicates that while population growth has driven the absolute increase in cases, the relative impact has weakened with improvements in overall health and the strengthening of public health interventions. Such changes may partly be attributed to ongoing global TB control efforts such as screening, standardized treatment, and vaccination programs (30). However, metabolic risks induced by SSB consumption continue to exacerbate the disease burden.

Marked disparities were observed across regions with different SDI levels. Low-middle SDI regions showed the highest DALYs and deaths from TB, with relatively rapid growth, reflecting the combined effects of insufficient medical resources, limited health education, and imbalanced nutrition. Although low SDI regions experienced the fastest decline in DALYs rates, their heavy burden still makes them a priority for global TB control. This progress can be partly credited to recent international aid and investment in public health programs. In contrast, high SDI regions achieved the most substantial reductions in mortality rates, benefiting from well-developed healthcare systems and higher health awareness. From the GBD regional perspective, Western Sub-Saharan Africa experienced the fastest growth in TB DALYs and deaths, closely linked to social unrest, poverty, disrupted nutrition, and fragile health systems, highlighting severe global health inequities (31).

At the national level, disparities were equally striking. Over the past 32 years, Ghana, Equatorial Guinea, and Djibouti recorded the fastest increases in DALYs, while Cyprus, Maldives, and Japan saw the steepest declines in ASDR and ASMR, suggesting highly uneven progress in TB control across countries. Age and sex differences further revealed the profound impact of SSB consumption on TB burden. In 2021, TB DALYs peaked among people aged 50–54 years, with men consistently carrying a higher burden than women in older age groups. This is closely associated with men’s generally less healthy lifestyles (such as higher smoking and alcohol consumption), occupational exposures, and the cumulative effects of metabolic disorders (32). TB deaths peaked among women aged 50–54 years and men aged 55–59 years, suggesting that interactions between age and sex play a critical role in disease progression. SDI levels were significantly negatively correlated with TB burden, but actual disease burden in Central Sub-Saharan Africa, South Asia, and Southern Sub-Saharan were much higher than predicted, underscoring the key role of economic, social, and health system vulnerabilities.

Overall, during the past 32 years, the global burden of TB attributable to high SSB consumption has been characterized by increasing absolute numbers but declining relative risk. Population growth has been the main driver of rising DALYs and deaths, while favorable epidemiological changes have partially offset this trend. In high SDI regions, control measures have yielded positive outcomes, with DALYs and deaths showing a decline. However, stark cross-country inequalities persist, with the burden concentrated in low SDI regions, where the gap continues to widen. Predictive analysis indicated that from 2022 to 2045, DALYs and deaths will continue to increase, with male cases consistently exceeding female cases, while ASDR and ASMR are expected to remain stable or rise slightly. This suggests that although global control measures have improved the situation to some extent, regional disparities, sex and age differences, and modifiable risk factors such as diet and lifestyle remain major determinants of the future TB burden. Notably, in 2014, Mexico implemented a 10% excise tax on SSBs, which led to a 7.6% reduction in sales within 2 years. Modeling studies suggest that this policy could prevent about 200,000 cases of obesity and save nearly 1 billion USD in healthcare costs over 10 years (33). Similarly, raising SSB taxes in other countries could reduce consumption, lower TB risk, and substantially cut healthcare expenditures.

There may be some potential confounding factors that have not been identified or adequately considered in this study when assessing the relationship between SSB intake and the burden of TB. Individual lifestyle factors (such as smoking, alcohol consumption, and physical inactivity), socioeconomic status, access to healthcare, and genetic predispositions may all influence TB onset and progression and could correlate with SSB consumption (3436). Future research should involve more individual-level cohort studies with long-term follow-up and detailed personal data collection to more accurately assess the causal relationship between SSB intake and TB, while better identifying and controlling for potential confounders.

This study also has several limitations. First, it relies on data from the GBD 2021 database. Although the GBD is a key data source for global health research, the integrity and accuracy of its data may be affected by the quality of reporting from different countries and regions. Second, the measurement of SSB intake may lack precision. Consumers may underreport or overreport their consumption, leading to data bias.

Conclusion

This study, based on GBD 2021, reveals the significant impact of SSB consumption on the global TB burden. While the absolute numbers of DALYs and death cases for TB attributable to high SSB consumption increased, ASDR and ASMR showed a declining trend. The disease burden was heaviest and grew most rapidly in low-middle SDI regions, whereas high SDI regions experienced the fastest declines in mortality rates, reflecting ongoing global health inequalities. In addition, substantial differences in the burden of TB attributable to high SSB consumption were observed by age and sex, with the highest burden seen in the 50–54 age group. Cross-country inequality analysis showed that the burden of TB attributable to high SSB consumption is increasingly concentrated in lower SDI regions, with worsening relative inequality. Forecasting analyses indicate that the TB burden may continue to rise over the next two decades, posing a serious challenge for global public health. This underscores the urgent need to strengthen preventive strategies, particularly those targeting SSB consumption. Specifically, fiscal policies such as taxation could be used to raise the price of SSBs and thereby curb consumption. At the same time, large-scale public health campaigns are needed to raise awareness of the risks associated with SSB intake and promote healthier dietary practices. Furthermore, the vigorous implementation of healthy eating policies in schools and workplaces can also substantially reduce SSB consumption. Collectively, these measures may help mitigate the rising TB burden and advance global health equity.

Data availability statement

The original contributions presented in the study are included in the article/Supplementary material, further inquiries can be directed to the corresponding author.

Author contributions

LQ: Writing – original draft, Writing – review & editing, Data curation, Conceptualization, Formal analysis. YZ: Formal analysis, Data curation, Writing – review & editing. KY: Formal analysis, Writing – review & editing. JX: Investigation, Writing – review & editing, Methodology. LF: Methodology, Writing – review & editing. MP: Investigation, Writing – review & editing, Formal analysis. CG: Conceptualization, Funding acquisition, Writing – review & editing, Formal analysis, Writing – original draft, Data curation.

Funding

The author(s) declare that no financial support was received for the research and/or publication of this article.

Acknowledgments

The authors sincerely appreciate all the participants of the GBD 2021 for their contribution.

Conflict of interest

The authors declare that the research was conducted in the absence of any commercial or financial relationships that could be construed as a potential conflict of interest.

Correction note

A correction has been made to this article. Details can be found at: 10.3389/fnut.2025.1739086.

Generative AI statement

The authors declare that no Gen AI was used in the creation of this manuscript.

Any alternative text (alt text) provided alongside figures in this article has been generated by Frontiers with the support of artificial intelligence and reasonable efforts have been made to ensure accuracy, including review by the authors wherever possible. If you identify any issues, please contact us.

Publisher’s note

All claims expressed in this article are solely those of the authors and do not necessarily represent those of their affiliated organizations, or those of the publisher, the editors and the reviewers. Any product that may be evaluated in this article, or claim that may be made by its manufacturer, is not guaranteed or endorsed by the publisher.

Supplementary material

The Supplementary material for this article can be found online at: https://www.frontiersin.org/articles/10.3389/fnut.2025.1638390/full#supplementary-material

Footnotes

References

1. Trajman, A, Campbell, JR, Kunor, T, Ruslami, R, Amanullah, F, Behr, MA, et al. Tuberculosis. Lancet. (2025) 405:850–66. doi: 10.1016/s0140-6736(24)02479-6

PubMed Abstract | Crossref Full Text | Google Scholar

2. Peloquin, CA, and Davies, GR. The treatment of tuberculosis. Clin Pharmacol Ther. (2021) 110:1455–66. doi: 10.1002/cpt.2261

Crossref Full Text | Google Scholar

3. Koch, A, and Mizrahi, V. Mycobacterium tuberculosis. Trends Microbiol. (2018) 26:555–6. doi: 10.1016/j.tim.2018.02.012

Crossref Full Text | Google Scholar

4. Fukunaga, R, Glaziou, P, Harris, JB, Date, A, Floyd, K, and Kasaeva, T. Epidemiology of tuberculosis and progress toward meeting global targets—worldwide, 2019. MMWR Morb Mortal Wkly Rep. (2021) 70:427–30. doi: 10.15585/mmwr.mm7012a4

PubMed Abstract | Crossref Full Text | Google Scholar

5. Datta, S, and Evans, CA. The uncertainty of tuberculosis diagnosis. Lancet Infect Dis. (2020) 20:1002–4. doi: 10.1016/s1473-3099(20)30400-x

Crossref Full Text | Google Scholar

6. Huang, Y, Chen, Z, Chen, B, Li, J, Yuan, X, Li, J, et al. Dietary sugar consumption and health: umbrella review. BMJ. (2023) 381:e071609. doi: 10.1136/bmj-2022-071609

PubMed Abstract | Crossref Full Text | Google Scholar

7. Keller, A, and Bucher Della Torre, S. Sugar-sweetened beverages and obesity among children and adolescents: a review of systematic literature reviews. Child Obes. (2015) 11:338–46. doi: 10.1089/chi.2014.0117

PubMed Abstract | Crossref Full Text | Google Scholar

8. Costa, D, Warkentin, S, and Oliveira, A. Sugar-sweetened beverages, effects on appetite and public health strategies to reduce the consumption among children: a review. Porto Biomed J. (2022) 7:e172. doi: 10.1097/j.pbj.0000000000000172

PubMed Abstract | Crossref Full Text | Google Scholar

9. Lara-Castor, L, O'Hearn, M, Cudhea, F, Miller, V, Shi, P, Zhang, J, et al. Burdens of type 2 diabetes and cardiovascular disease attributable to sugar-sweetened beverages in 184 countries. Nat Med. (2025) 31:552–64. doi: 10.1038/s41591-024-03345-4

PubMed Abstract | Crossref Full Text | Google Scholar

10. Yanqiu, X, Yang, Y, Xiaoqing, W, Zhixuan, L, Kuan, Z, Xin, G, et al. Impact of hyperglycemia on tuberculosis treatment outcomes: a cohort study. Sci Rep. (2024) 14:13586. doi: 10.1038/s41598-024-64525-3

PubMed Abstract | Crossref Full Text | Google Scholar

11. Mi, F, Tan, S, Liang, L, Harries, AD, Hinderaker, SG, Lin, Y, et al. Diabetes mellitus and tuberculosis: pattern of tuberculosis, two-month smear conversion and treatment outcomes in Guangzhou, China. Trop Med Int Health. (2013) 18:1379–85. doi: 10.1111/tmi.12198

Crossref Full Text | Google Scholar

12. Alemu, A, Seid, G, Diriba, G, Hailu, M, Dange, B, Moga, S, et al. Prevalence and associated factors of tuberculosis among diabetic patients attending public health facilities in Ethiopia: a multicenter study. Arch Public Health. (2025) 83:40. doi: 10.1186/s13690-025-01530-6

PubMed Abstract | Crossref Full Text | Google Scholar

13. Luo, Z, Shan, S, Cao, J, Zhou, J, Zhou, L, Jiang, D, et al. Temporal trends in cross-country inequalities of stroke and subtypes burden from 1990 to 2021: a secondary analysis of the Global Burden of Disease Study 2021. EClinicalMedicine. (2024) 76:102829. doi: 10.1016/j.eclinm.2024.102829

PubMed Abstract | Crossref Full Text | Google Scholar

14. Luo, Z, Jiang, D, Shan, S, Zhou, J, Sun, W, Wu, J, et al. Cross-country inequalities in disease burden and quality of care of stroke, 1990–2021: a systematic analysis of the Global Burden of Disease Study 2021. Eur J Neurol. (2025) 32:e70050. doi: 10.1111/ene.70050

PubMed Abstract | Crossref Full Text | Google Scholar

15. Meng, Y, Zhao, T, Zhang, R, Zhu, X, Ma, C, and Shi, Q. Global burden of polycystic ovary syndrome among women of childbearing age, 1990–2021: a systematic analysis using the Global Burden of Disease Study 2021. Front Public Health. (2025) 13:1514250. doi: 10.3389/fpubh.2025.1514250

PubMed Abstract | Crossref Full Text | Google Scholar

16. GBD 2017 DALYs and HALE Collaborators. Global, regional, and national disability-adjusted life-years (DALYs) for 359 diseases and injuries and healthy life expectancy (HALE) for 195 countries and territories, 1990–2017: a systematic analysis for the Global Burden of Disease Study 2017. Lancet. 392:1859–922. doi: 10.1016/s0140-6736(18)32335-3

Crossref Full Text | Google Scholar

17. Huang, Z, Lin, J, Ding, Q, Li, X, Lin, L, and Lu, T. Global, regional, and national burden of seborrheic dermatitis in individuals aged 55 and older from 1990 to 2021: a trend analysis and future projections. Arch Dermatol Res. (2025) 317:381. doi: 10.1007/s00403-025-03870-3

PubMed Abstract | Crossref Full Text | Google Scholar

18. Chen, ZF, Kong, XM, Yang, CH, Li, XY, Guo, H, and Wang, ZW. Global, regional, and national burden and trends of migraine among youths and young adults aged 15–39 years from 1990 to 2021: findings from the Global Burden of Disease Study 2021. J Headache Pain. (2024) 25:131. doi: 10.1186/s10194-024-01832-0

PubMed Abstract | Crossref Full Text | Google Scholar

19. Lu, Y, Mao, Y, Liu, W, Lan, T, and Lan, G. Spatiotemporal trends of ischemic stroke burden attributable to PM2.5 from 1990 to 2021. Front Public Health. (2025) 13:1608086. doi: 10.3389/fpubh.2025.1608086

PubMed Abstract | Crossref Full Text | Google Scholar

20. He, KJ, Wang, H, Xu, J, Gong, G, Liu, X, and Guan, H. Global burden of type 2 diabetes mellitus from 1990 to 2021, with projections of prevalence to 2044: a systematic analysis across SDI levels for the Global Burden of Disease Study 2021. Front Endocrinol. (2024) 15:1501690. doi: 10.3389/fendo.2024.1501690

PubMed Abstract | Crossref Full Text | Google Scholar

21. He, KJ, Wang, H, Liu, X, Yang, R, and Gong, G. Global, regional, and national burden of IHD attributable to PM pollution aged 70 and above: an age-period-cohort modeling and frontiers analysis study. Front Public Health. (2025) 13:1573599. doi: 10.3389/fpubh.2025.1573599

PubMed Abstract | Crossref Full Text | Google Scholar

22. Jin, Z, Pang, Y, Huang, Z, Liu, J, Zhan, X, and Wang, K. Diverging trends in the global burden of ischemic heart disease attributable to non-optimal temperatures: a historical analysis (1990–2021) and 2050 projections. Front Public Health. (2025) 13:1593346. doi: 10.3389/fpubh.2025.1593346

PubMed Abstract | Crossref Full Text | Google Scholar

23. Huang, J, Man, Y, Shi, Z, Fu, X, Shi, W, and Liang, X. Global, regional, and national burden of maternal disorders, 1990–2021: a systematic analysis from the Global Burden of Disease Study 2021. BMC Public Health. (2025) 25:2576. doi: 10.1186/s12889-025-23814-w

PubMed Abstract | Crossref Full Text | Google Scholar

24. Mirmiran, P, Yuzbashian, E, Asghari, G, Hosseinpour-Niazi, S, and Azizi, F. Consumption of sugar sweetened beverage is associated with incidence of metabolic syndrome in Tehranian children and adolescents. Nutr Metab. (2015) 12:25. doi: 10.1186/s12986-015-0021-6

PubMed Abstract | Crossref Full Text | Google Scholar

25. Tran, QD, Nguyen, THH, Le, CL, Hoang, LV, Vu, TQC, Phan, NQ, et al. Sugar-sweetened beverages consumption increases the risk of metabolic syndrome and its components in adults: consistent and robust evidence from an umbrella review. Clin Nutr ESPEN. (2023) 57:655–64. doi: 10.1016/j.clnesp.2023.08.001

PubMed Abstract | Crossref Full Text | Google Scholar

26. Tseng, TS, Lin, WT, Gonzalez, GV, Kao, YH, Chen, LS, and Lin, HY. Sugar intake from sweetened beverages and diabetes: a narrative review. World J Diabetes. (2021) 12:1530–8. doi: 10.4239/wjd.v12.i9.1530

PubMed Abstract | Crossref Full Text | Google Scholar

27. Basciano, H, Federico, L, and Adeli, K. Fructose, insulin resistance, and metabolic dyslipidemia. Nutr Metab. (2005) 2:5. doi: 10.1186/1743-7075-2-5

Crossref Full Text | Google Scholar

28. Ahsan, A, Djutaharta, T, Utami, MG, Ayuning Pertiwi, YB, Diniary, A, Amalia, N, et al. The correlation of caloric intake from sugar-sweetened beverage (SSB) on type 2 diabetes mellitus (T2DM) risk in Indonesia. Soc Sci Med. (2025) 372:117956. doi: 10.1016/j.socscimed.2025.117956

PubMed Abstract | Crossref Full Text | Google Scholar

29. Yoshida, Y, and Simoes, EJ. Sugar-sweetened beverage, obesity, and type 2 diabetes in children and adolescents: policies, taxation, and programs. Curr Diab Rep. (2018) 18:31. doi: 10.1007/s11892-018-1004-6

PubMed Abstract | Crossref Full Text | Google Scholar

30. Zou, Z, Liu, G, Hay, SI, Basu, S, Belgaumi, UI, Dhali, A, et al. Time trends in tuberculosis mortality across the BRICS: an age-period-cohort analysis for the GBD 2019. EClinicalMedicine. (2022) 53:101646. doi: 10.1016/j.eclinm.2022.101646

PubMed Abstract | Crossref Full Text | Google Scholar

31. Zhang, T, Zhang, J, Wei, L, Liang, H, Zhang, J, Shi, D, et al. The global, regional, and national burden of tuberculosis in 204 countries and territories, 1990–2019. J Infect Public Health. (2023) 16:368–75. doi: 10.1016/j.jiph.2023.01.014

PubMed Abstract | Crossref Full Text | Google Scholar

32. Bian, Q, Zhang, Y, Xue, C, Lu, W, Li, W, Pan, F, et al. Global and regional estimates of tuberculosis burden attributed to high fasting plasma glucose from 1990 to 2019: emphasis on earlier glycemic control. BMC Public Health. (2024) 24:782. doi: 10.1186/s12889-024-18260-z

PubMed Abstract | Crossref Full Text | Google Scholar

33. Malik, VS, and Hu, FB. The role of sugar-sweetened beverages in the global epidemics of obesity and chronic diseases. Nat Rev Endocrinol. (2022) 18:205–18. doi: 10.1038/s41574-021-00627-6

PubMed Abstract | Crossref Full Text | Google Scholar

34. Alsharani, F, Zafar, M, Omar, EO, and Muzaheed,. Lifestyle risk factors associated with tuberculosis patients in Asir Region of Saudi Arabia. Int J Prev Med. (2021) 12:89. doi: 10.4103/ijpvm.IJPVM_211_19

PubMed Abstract | Crossref Full Text | Google Scholar

35. Li, H, Chee, CBE, Geng, T, Pan, A, and Koh, WP. Joint associations of multiple lifestyle factors with risk of active tuberculosis in the population: the Singapore Chinese Health Study. Clin Infect Dis. (2022) 75:213–20. doi: 10.1093/cid/ciab935

PubMed Abstract | Crossref Full Text | Google Scholar

36. Brunkwall, L, Chen, Y, Hindy, G, Rukh, G, Ericson, U, Barroso, I, et al. Sugar-sweetened beverage consumption and genetic predisposition to obesity in 2 Swedish cohorts. Am J Clin Nutr. (2016) 104:809–15. doi: 10.3945/ajcn.115.126052

PubMed Abstract | Crossref Full Text | Google Scholar

Keywords: tuberculosis, sugar-sweetened beverage, Global Burden of Disease, disability-adjusted life years (DALYs), Socio-demographic Index (SDI), health inequality, public health

Citation: Qiu L, Zhang Y, Yan K, Xu J, Fan L, Peng M and Gao C (2025) Global burden and temporal trends of tuberculosis attributable to high sugar-sweetened beverage consumption: insights from the Global Burden of Disease Study 2021. Front. Nutr. 12:1638390. doi: 10.3389/fnut.2025.1638390

Received: 30 May 2025; Accepted: 23 September 2025;
Published: 28 October 2025;
Corrected: 05 December 2025.

Edited by:

Owen Kelly, Sam Houston State University, United States

Reviewed by:

Monica Ewomazino Akokuwebe, University of the Witwatersrand, South Africa
Ihor Semianiv, Bukovinian State Medical University, Ukraine
Rakhi Gaur, All India Institute of Medical Sciences, Deoghar (AIIMS Deoghar), India

Copyright © 2025 Qiu, Zhang, Yan, Xu, Fan, Peng and Gao. This is an open-access article distributed under the terms of the Creative Commons Attribution License (CC BY). The use, distribution or reproduction in other forums is permitted, provided the original author(s) and the copyright owner(s) are credited and that the original publication in this journal is cited, in accordance with accepted academic practice. No use, distribution or reproduction is permitted which does not comply with these terms.

*Correspondence: Chengpeng Gao, Z2FvY2hlbmdwZW5nMjAwMEAxNjMuY29t

Disclaimer: All claims expressed in this article are solely those of the authors and do not necessarily represent those of their affiliated organizations, or those of the publisher, the editors and the reviewers. Any product that may be evaluated in this article or claim that may be made by its manufacturer is not guaranteed or endorsed by the publisher.