ORIGINAL RESEARCH article
Front. Nutr.
Sec. Nutrition and Food Science Technology
Protective Effects of Hydrocolloid Nanoemulsion Coatings Against Myofibrillar Protein Oxidation in Frozen Trout
Provisionally accepted- Recep Tayyip Erdogan Universitesi, Rize, Türkiye
Select one of your emails
You have multiple emails registered with Frontiers:
Notify me on publication
Please enter your email address:
If you already have an account, please login
You don't have a Frontiers account ? You can register here
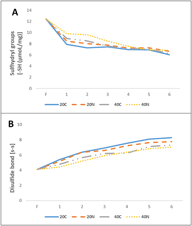
In this study, rainbow trout fillets were coated using a dipping method with a nanoemulsion derived from aloe vera gel (AVG) and hemp seed oil (HSO) (5% HSO and 3% AVG). The fillets coated with the nanoemulsion were then subjected to slow (-20°C) and fast freezing (- 40°C) temperatures. The experimental groups were formed as follows: 20C (fillets coated with pure water and frozen at -20°C), 20N (fillets coated with nanoemulsion and frozen at -20°C), 40C (fillets coated with pure water and frozen at -40°C), and 40N (fillets coated with nanoemulsion and frozen at -40°C). Physicochemical analyses (pH, sulfhydryl groups (-SH), disulfide bonds (S-S), carbonyl content, myofibril fragmentation index, water-holding capacity, drip loss, TVB-N, and TBA) were performed monthly over a 6-month storage period. The results of this study indicated that none of the experimental groups exceeded the reported limit values for pH, TVB-N, and TBA during the 6-month storage period. It was observed that the fillets coated with nanoemulsion and subjected to fast freezing (40N) delayed protein oxidation, as evidenced by the lower values of sulfhydryl groups, disulfide bonds, carbonyl content, and myofibril fragmentation index. Additionally, these fillets maintained acceptable levels of quality parameters such as TVB-N, TBA, and pH, preserving their edibility. In conclusion, nanoemulsions containing AVG and HSO were found to improve the quality of fish products, helping them stay fresh for a longer period.
Keywords: protein oxidation, Aloe vera gel, Hemp seed oil, Nanoemulsion, Oncorhynchus mykiss
Received: 10 Jul 2025; Accepted: 24 Oct 2025.
Copyright: © 2025 Kara, caglak and Karsli. This is an open-access article distributed under the terms of the Creative Commons Attribution License (CC BY). The use, distribution or reproduction in other forums is permitted, provided the original author(s) or licensor are credited and that the original publication in this journal is cited, in accordance with accepted academic practice. No use, distribution or reproduction is permitted which does not comply with these terms.
* Correspondence: Ayse  Kara, ayse.kara1@erdogan.edu.tr
Disclaimer: All claims expressed in this article are solely those of the authors and do not necessarily represent those of their affiliated organizations, or those of the publisher, the editors and the reviewers. Any product that may be evaluated in this article or claim that may be made by its manufacturer is not guaranteed or endorsed by the publisher.
