Your new experience awaits. Try the new design now and help us make it even better

SYSTEMATIC REVIEW article

Front. Nutr., 07 August 2025

Sec. Sport and Exercise Nutrition

Volume 12 - 2025 | https://doi.org/10.3389/fnut.2025.1663860

This article is part of the Research TopicNutraceuticals in SportsView all 12 articles

Effects of protein supplementation on body composition, physiological adaptations, and performance during endurance training: a systematic review and meta-analysis

Yang XiaoYang Xiao1ZhengWu DengZhengWu Deng2Wei SunWei Sun3JiaYi LiJiaYi Li4WeiFeng Gao
WeiFeng Gao1*
  • 1School of Physical Education, Wuhan Sports University, Wuhan, China
  • 2Chinese Volleyball Academy, Beijing Sport University, Beijing, China
  • 3School of Physical Education and Health, East China Normal University, Shanghai, China
  • 4Key Laboratory of Sports Engineering of the General Administration of Sport of China, School of Intelligent Sports Engineering, Wuhan Sports University, Wuhan, China

Introduction: This study aimed to evaluate the long-term effects of endurance training combined with protein supplementation on body composition, physiological adaptations (aerobic/anaerobic capacity), and performance.

Methods: A systematic search was conducted in Web of Science, PubMed, and SPORTDiscus databases on April 16, 2025, using the keywords “endurance training” and “protein supplementation.” Meta-analysis was conducted using a random-effects model, and the main effect size of each outcome was summarized using the standard mean difference (SMD), and moderators were explored using subgroup and regression analyses.

Results: A total of 23 randomized cross-over trials involving 1,146 participants were included. The results showed that protein supplementation during endurance training led to a small, nonsignificant increase in lean body mass (SMD = 0.13, 95% CI: −0.01, 0.28; p = 0.07) and a significant improvement in time to exhaustion (TTE) during endurance exercise (SMD = 0.45, 95% CI: 0.15, 0.76; p < 0.01). While the overall impact on maximal oxygen uptake (VO2max) was not significant, subgroup analysis revealed that untrained individuals may experience greater improvements in VO2max with protein supplementation (SMD = 0.21). Although aerobic and anaerobic capacities were assessed, protein supplementation did not lead to significant changes in these outcomes, nor did it significantly affect body weight or body fat.

Discussion: In summary, protein supplementation during endurance training appears to modestly enhance endurance performance (TTE) and may offer small benefits for lean body mass, particularly in untrained individuals. However, it does not significantly affect overall body weight, fat mass, or aerobic/anaerobic capacity in the general population.

Systematic review registration: Identifier, CRD420251034453, https://www.crd.york.ac.uk/PROSPERO/recorddashboard.

Graphical abstract
Systematic review and meta-analysis of protein supplementation in endurance training. Introduction: Examines effects on body composition and performance. Methods: Involves healthy adults aged 18-65, comparing intervention and control groups over four weeks. Results: Includes 23 randomized controlled trials with 1,146 subjects. Protein increases time to exhaustion significantly and lean body mass slightly. Conclusions: Protein aids performance and lean mass. Future research should clarify protein intake habits, focus on chronic diseases, expand sample size, and consider carbohydrates.

Graphical Abstract.

1 Introduction

Protein supplementation refers to the increased intake of dietary protein, commonly achieved through commercially available supplements (1). Protein supplementation is popular among fitness enthusiasts, high-performance athletes, and public health advocates for helping individuals meet their protein needs when these requirements are difficult to satisfy through daily food sources alone (2, 3). Although there is now solid evidence that dietary protein intake is fundamental to maximizing muscle hypertrophy and strength during resistance training in strength or power-based athletes (46), its role in adaptations to endurance training and optimizing performance in endurance athletes is often overlooked (7).

Positions from the American Dietetic Association, Dietitians of Canada, and the American College of Sports Medicine suggest that optimal nutrition can enhance physical activity, exercise performance, and recovery after exercise (8). Protein supplementation for endurance athletes should prioritize performance adaptations and recovery effects (9, 10). In endurance exercise, carbohydrate and fat oxidation are the main sources of substrate metabolism during endurance exercise (11, 12). Still, as the duration of exercise increases (>2 h), the rate of amino acid oxidation also increases (1), which is equivalent to 6% of the total energy cost of exercise (13), among which branched-chain amino acids (isoleucine, leucine and valine) are oxidized preferentially over other amino acids (14). Protein catabolism in muscle is a key factor in increasing the rate of amino acid oxidation (15), and the intake of branched-chain amino acids alone has been shown to have a positive effect on time trial performance (TT) and peak power (16). Previous meta-analysis evidence shows that the combined intake of protein and carbohydrates improves exhaustion time by an average of 9% (17). This combination stimulates the synthesis rate of skeletal muscle protein in the human body and improves the net protein balance of the whole body (18). The latest evidence shows that protein metabolism during endurance exercise is significantly more active than in the resting state. Exercise intensity is the primary factor affecting protein oxidation, while exercise time and volume have a lesser effect (19). This finding highlights the importance of high protein intake following high-intensity endurance training. According to the current survey, elite endurance athletes appear to implement key pre- and post-training nutritional recovery recommendations (20); however, few athletes deliberately adopt some modern dietary periodization methods (21), suggesting a mismatch between athlete diets and current and developing sports nutrition guidelines. The importance of carbohydrates for endurance training is well established (22, 23), while the role of protein and the adaptive response to endurance training is less clear (7), as the effect of endurance training on skeletal muscle growth is negligible, which may have led to an underestimation of the role of dietary protein in endurance athletes.

The International Society of Sports Nutrition currently recommends that most people who exercise aim for a total daily protein intake in the range of 1.4–2.0 g of protein per kilogram of body weight per day (g/kg/d) (2). The American Dietetic Association, Dietitians of Canada, and the American College of Sports Medicine recommend that endurance athletes consume a total daily protein intake of 1.2–1.7 g/kg/d (8). Endurance athletes habitually consume >1.2 g protein/kg/d according to a 24-h dietary recall, but the distribution throughout the day may not be optimal to maximize skeletal muscle adaptive responses to training (24). To date, Lin et al. are the only researchers who have systematically reviewed the effects of protein supplementation on endurance training adaptations in healthy and clinical populations through meta-analysis (25). They concluded that protein supplementation further increased aerobic capacity, stimulated increases in lean body mass, and improved TT during chronic endurance training in these populations (25). However, their meta-analysis did not explore the potential moderating effects of participant characteristics and protein type on the outcomes (25). Exploring these moderating factors would improve our understanding of how variables such as training status, gender, and protein source (e.g., whey versus other types) influence training adaptations. This knowledge could help develop more tailored nutritional strategies for endurance athletes. In addition, as their search date was up to March 2020, the conclusions of subsequent studies may have challenged their results. For example, Hansen et al. reported that whey protein intake before each exercise session and whey protein and carbohydrate intake after exercise during a six-week endurance training period may enhance the training effect on specific mitochondrial proteins, but did not change aerobic capacity and TT (26). Similarly, Alghannam et al. reported that post-exercise protein supplementation upregulated mTOR expression in skeletal muscle during a six-week endurance training period. However, the magnitude of improvement in maximal oxygen uptake (VO2max) was similar between groups (27).

Although protein supplementation for endurance athletes has received extensive attention, there are still some gaps and limitations in the current literature. Compared with individual trials, meta-analyses increase the statistical power of the results (28), provide greater precision and avenues for integrating results, and address methodological differences between studies, such as the age, sex, and training status of participants, the dose of protein consumed, and the duration of the study. Considering that further research is still needed to understand the optimal daily distribution of protein intake, it is unclear whether previous meta-analyses can reflect the conclusions of current studies. Therefore, a comprehensive systematic review and meta-analysis must be conducted to update previous conclusions, derive a higher level of evidence, provide practitioners with the latest integrated results, and provide practical recommendations for endurance athletes and sports nutrition professionals.

The present study aims to systematically review published randomized controlled trials and use meta-analysis to evaluate the effects of endurance training combined with protein supplementation on body composition, physiological adaptations (both aerobic and anaerobic), and performance outcomes, including TT and time to exhaustion (TTE).

In particular, we focus on the interaction between endurance training and protein supplementation to provide robust evidence supporting nutritional strategies for endurance athletes.

2 Methods

This systematic review and meta-analysis followed the 2020 PRISMA reporting guidelines (29). To improve research transparency, this study has been pre-registered in the PROSPERO database (registration ID: CRD420251034453).

2.1 Information sources and search strategy

Three authors independently conducted a comprehensive literature search across Web of Science Core Collection, PubMed, and SPORTDiscus, covering all available records up to April 16, 2025. The specific date ranges retrieved from each database were: Web of Science (1900–2025), PubMed (1966–2025), and SPORTDiscus (1930–2025). Only peer-reviewed articles were considered, and randomized controlled trials were exclusively included in the search process. For instance, the PubMed search strategy was as follows: (“endurance training” OR “aerobic exercise”) AND (“protein supplementation” OR “whey protein” OR “amino acids”) AND (“exercise performance” OR “VO2max” OR “time trial performance”) AND (“body composition” OR “muscle mass” OR “body fat”) AND (“randomized controlled trial” OR “RCT”). The complete search strategies for all databases are provided in Appendix S1. Two snowball search strategies were also applied to enhance comprehensiveness: (1) screening reference lists of eligible studies; and (2) identifying studies that cited the included articles via Google Scholar.

2.2 Eligibility criteria

Inclusion criteria were determined according to the Population, Intervention, Control, Outcome, and Study Design (PICOS) framework: (a) Population: healthy adults aged 18 to 65 years, of either sex, with or without prior training experience or protein supplementation; (b) Intervention: nutritional intervention, supplementing the usual diet with protein supplements, regardless of the source of protein; (c) Control: placebo, carbohydrate, or water; (d) Outcome: at least one outcome related to body composition, physiological adaptation, or performance (e.g., body weight, VO2max, or TT); (e) Study design: randomized controlled trials, including parallel-group and crossover designs. In addition, we included studies that supplemented with protein during endurance training and studies that combined endurance training with resistance training. Both training modalities aim to improve endurance-related outcomes, and protein may play a role in optimizing adaptations in both contexts. Potential heterogeneity introduced by training modality was addressed through subgroup analyses.

Exclusion criteria were as follows: (1) studies that supplemented with isolated amino acids without whole protein intake; (2) short-term interventions lasting less than 4 weeks; (3) studies that included less than two endurance training sessions per week; (4) nonhuman studies, reviews, research protocols, books, and case reports.

2.3 Study selection

The studies identified through database searches were imported into EndNote 21 for management, and duplicates were removed. Two researchers conducted title and abstract screening independently based on the inclusion criteria, excluding irrelevant studies. The full texts of potentially eligible studies were reviewed to confirm inclusion. Disagreements were resolved through discussion or consultation with a third researcher.

2.4 Data extraction and transformation

Data extraction and conversion were performed using a standardized process. Two researchers independently extracted information, including authors, publication year, study design, participant characteristics, training regimen, protein supplementation regimen, and outcome measures, and extracted this information into an Excel worksheet. Data extraction mainly included the mean, standard deviation (SD), and sample size before and after the intervention. For studies containing graphical data, the WebPlotDigitizer 4.51 tool was used to extract values. The reliability and validity of this software have been demonstrated (30). If studies only provided data with 95% confidence intervals (CI), they were converted to SD (31):

SD = N CI high CI low 2 t     (1)

Where N is the sample size, CIhigh is the upper limit of the confidence interval, CIlow is the lower limit of the confidence interval, and t represents the t distribution (Equation 1).

If standard errors were provided, they were converted to SD (Equation 2) (31).

SD = N × SE     (2)

For studies with missing data, attempts were made to contact the authors to provide information. Data extraction was completed independently by two researchers and cross-validated to ensure accuracy. In case of disagreement, the two researchers resolved it through discussion or negotiation without consulting a third researcher. All data were merged into a unified Excel template.

2.5 Study risk of bias assessment

The Cochrane recommended tool ROB2 (32) was used to assess the risk of bias in randomized crossover controlled trials. ROB2 assesses bias in five domains: (D1) randomization, (D2) intervention implementation, (D3) outcome data, (D4) outcome measurement, and (D5) other bias. Each domain was rated as “low,” “moderate,” or “high” risk of bias. The first and second authors performed the assessment, and any disagreements were resolved by discussion with a third reviewer or by consensus.

2.6 Statistical analysis

Conventional two-level meta-analysis was performed using the metafor package (33) in R Studio (version 4.4.3). Effect sizes were pooled using the inverse variance weighting method, and heterogeneity was estimated using the restricted maximum likelihood (REML) method. Meta-analysis results were visualized using the orchaRd package (34). Effect sizes were estimated as standardized mean differences (SMD). The standard deviation was the difference between the pre- and post-intervention values (31). The correlation coefficient (“r”) was obtained from the article first, but most articles did not provide the correlation coefficient value, so a conservative value of 0.5 was taken as the correlation coefficient value, as recommended by the Cochrane Handbook (31). To test the robustness of the results, sensitivity analyses were also conducted using r = 0.3 and r = 0.7 (Equation 3).

SD change = SD pre 2 + SD post 2 ( 2 × r × SD pre × SD post )     (3)

Effect sizes were classified as slight (0.2), small (0.2–0.5), moderate (0.5–0.8), or large (>0.8) (35). Statistical significance was set at p < 0.05. Cochran’s Q test and I2 statistic were used to assess heterogeneity, but I2 is the most commonly used and widely recommended indicator (36), so we will mainly report I2, with I2 values of 25, 50, and 75% indicating low, moderate, and high heterogeneity, respectively (37). I2 > 50% indicated significant heterogeneity. Sensitivity analysis was performed using the leave-one-out method to assess the impact of each study on the effect size.

To further explore the sources of heterogeneity and potential moderators, subgroup and regression analyses were performed. Subgroups included training status (trained or untrained) (38), intervention duration (≤8 weeks or >8 weeks), sex (male only or female only or mixed), protein type (whey protein or other protein), and training method (endurance training or concurrent training). In addition to subgroup analyses of dichotomous variables, we also performed regression analyses on continuous variables such as daily protein intake, intervention duration, total intervention duration, and age. Publication bias was assessed for studies with at least 10 data points using funnel plots (39) and Egger’s test (40), with p > 0.05 indicating no bias. For outcomes with fewer than 10 data points (41), a leave-one-out analysis was performed to evaluate the impact of individual studies on the overall pooled effect.

2.7 Certainty of evidence assessment

We evaluated evidence quality using the GRADE approach, examining five domains (42): risk of bias, inconsistency, indirectness, imprecision, and publication bias. Two authors independently rated evidence as high, moderate, low, or very low. Disagreements were resolved through discussion with a third author.

3 Results

3.1 Study selection

We conducted a preliminary search of PubMed, Web of Science, and SPORTDiscus, which retrieved a total of 450 articles. After repeated literature screening, 373 articles remained. After screening the titles and abstracts, 29 articles were evaluated in full text. Some articles were excluded due to insufficient intervention period, inconsistent age of subjects, etc., leaving 13 articles in the preliminary search. In addition, 16 relevant articles were found through forward and backward searches of Google Scholar. After full-text review, 6 studies were excluded due to inconsistent study designs: 2 studies were excluded because the frequency of the intervention period was less than twice a week; 1 study lacked a suitable control group; and 1 study did not implement a suitable endurance training program. A total of 23 articles were included. The screening process is shown in Figure 1.

Figure 1
Flowchart illustrating the identification and screening process of studies. Records from databases and other methods total 450, with duplicates removed, leaving 373 screened. Records excluded for title and abstract amount to 344, leaving 29 reports sought for retrieval, all obtained. Of these, reports are excluded based on various criteria, resulting in 23 studies included.

Figure 1. Literature screening flow chart.

3.2 Characteristics of the studies included

Twenty-three studies were included in this review, all of which were randomised controlled trials, one of which was a crossover trial (43). Fifteen studies were double-blind (65%) and eight studies were single-blind or did not report blinding (35%). The studies involved 1,146 participants, including 897 men (78%) and 249 women (22%). The sample size of the individual studies ranged from 6 to 387 participants, with an age range of 18 to 63.5 years, and only two studies had participants aged 60 to 65 years (44, 45). Participants were divided into trained (757 participants) and untrained (389 participants) groups according to their physical activity level, with two studies involving military personnel and one study involving sports students, who were considered trained. In terms of training programs, 12 studies were concurrent training (43, 4555), 11 studies were single endurance training (26, 27, 44, 5663), and 7 studies had a gradual increase in exercise intensity (27, 48, 52, 5456, 59). The duration of training intervention ranged from the shortest 6 weeks to the longest 26 weeks, and the intervention duration of most studies was between 8 and 12 weeks. In terms of protein supplement types, 11 studies used whey protein, 4 studies used soy protein, 2 studies used milk protein, 2 studies used casein, 2 studies used collagen peptides, 1 study used amino acid supplements, and 1 study used beef protein. The daily protein intake in a single study ranged from 0.96 g/kg/day to 3.8 g/kg/day (52, 53), and the daily protein intake in most studies ranged from 1.2 g/kg/day to 2.3 g/kg/day. Six studies did not report daily protein intake. For body composition measurement, 9 studies used dual-energy X-ray absorptiometry (DXA), 5 studies used bioelectrical impedance analyzer (BIA), 2 studies used skinfold thickness measurement, 1 study used air displacement plethysmography (ADP), and 1 study used underwater weighing (UWW). Other details are shown in Table 1.

Table 1
www.frontiersin.org

Table 1. Essential characteristics of the included literature.

3.3 Effect size of the intervention

3.3.1 Body composition

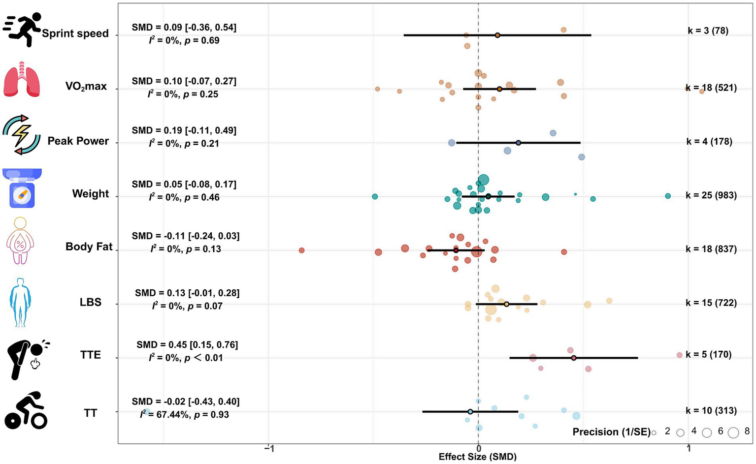
The meta-analysis results on body weight (25 studies, 983 participants) and body fat (18 studies, 837 participants) showed that protein supplementation had no significant effect on body weight (SMD = 0.05, 95% CI: −0.08, 0.17; p = 0.46; I2 = 0%) and body fat (SMD = −0.11, 95% CI: −0.24, 0.03; p = 0.13; I2 = 0%), and the pooled effect heterogeneity was low. The meta-analysis results on lean body mass showed that protein supplementation may have a small effect on increasing lean body mass (SMD = 0.13, 95% CI: −0.01, 0.28; p = 0.07; I2 = 0%), and the pooled effect heterogeneity was low. See Figure 2.

Figure 2
Forest plot showing the effect sizes (standardized mean differences) for various physical performance parameters, including sprint speed, VO₂ max, peak power, weight, body fat, lean body mass (LBS), time to exhaustion (TTE), and time trial performance (TT). Each parameter has a graphical representation of effect size with confidence intervals and a summary of studies (k) and sample sizes. The color-coded dots represent individual study effects and their precision, with larger circles indicating higher precision. The plot includes heterogeneity measures (I² and p-values) for each parameter.

Figure 2. Forest plot of combined effect size.

3.3.2 Physiological adaptation

Meta-analysis results of aerobic capacity (18 studies, 521 participants) and anaerobic capacity (4 studies, 178 participants) showed that protein supplementation had no significant effect on VO2max (SMD = 0.10, 95% CI: −0.07, 0.27; p = 0.25; I2 = 0%) and peak power (SMD = 0.05, 95% CI: −0.11, 0.49; p = 0.21; I2 = 0%), with low heterogeneity of the combined effect size. See Figure 2.

3.3.3 Performance

The meta-analysis results of time to exhaustion (TTE) (5 studies, 170 participants) showed that protein supplementation could significantly prolong TTE (SMD = 0.45, 95% CI: 0.15, 0.76; p < 0.01; I2 = 0%), with a moderate effect size and low heterogeneity. The meta-analysis results of TT (10 studies, 313 participants) and sprint speed (3 studies, 78 participants) showed that protein supplementation had no significant effect on TT (SMD = −0.02, 95% CI: −0.43, 0.40; p = 0.93; I2 = 67.44%) and sprint speed (SMD = 0.09, 95% CI: −0.36, 0.76; p = 0.69; I2 = 0%), and the heterogeneity of the combined effect of TT was large. See Figure 2.

3.4 Moderator analysis

We conducted subgroup analyses of VO2max and lean body mass to explore potential moderating factors of the intervention effect. See Tables 2, 3. The results showed that no significant moderating effect was observed in all subgroups (p > 0.05), but in terms of VO2max, the subjects who did not perform protein supplementation training (SMD = 0.21) had a better improvement in VO2max than those who performed protein supplementation training. There was a statistically marginal effect (p = 0.06). In addition, we performed regression analysis to examine the moderating effect of age, daily protein intake, total intervention duration, and number of intervention weeks on the combined effect of VO2max; however, no significant moderating effect was observed (p > 0.05). See Figure 3.

Table 2
www.frontiersin.org

Table 2. Subgroup analyses based on meta-analyses results of VO2max.

Table 3
www.frontiersin.org

Table 3. Subgroup analyses based on meta-analyses results of LBM.

Figure 3
Four scatter plots showing the effect size against different variables: daily protein intake, duration of intervention, age, and total training time. Each plot includes a regression line and shaded confidence interval. The beta and p-values are noted in each plot, indicating varying levels of statistical significance. Blue dots represent data points.

Figure 3. Regression analysis of VO2max.

3.5 Risk of bias

3.5.1 Bias and methodological issues

Among the studies with random allocation, except for the study by Jonvik et al. (61), which had a low overall risk of bias, the remaining studies had some concerns. Most studies (74%) did not disclose the details of the randomization process and allocation, resulting in a moderate risk of bias in the randomization process. In addition, there was insufficient compliance control during the intervention period, or the subjects were not blinded (65%), resulting in a risk of bias in the intervention process. The risk of bias for each study is shown in Appendix S2.

Based on the PEDro scale, the quality of the included studies was generally good. Of the 23 studies, 18 scored ≥6, which was of medium or higher quality, and only 5 scored 5. Most studies performed well in terms of random allocation, baseline comparability, and key outcome reporting, but there were still deficiencies in blind control. Specific scores are shown in Appendix S3.

3.5.2 Publication bias

We drew funnel plots for outcome indicators with 10 or more studies (see Appendix S4). Egger’s test results showed that there was no significant publication bias for all indicators (p > 0.05).

3.6 Sensitivity analysis

We used the leave-one-out method to conduct a sensitivity analysis of the effect size of each study. The results showed that after excluding the study of Jovik et al. (61). In the TT indicator, the heterogeneity was significantly reduced (SMD = 0.22, I2 = 0%, p = 0.078), but further exploration found that the design of this study was not significantly different from that of other studies, so it was retained. The combined effect size of the other outcome indicators showed stability in the sensitivity analysis.

In addition, sensitivity analyses were performed using alternative assumed correlation coefficients (r = 0.3 and r = 0.7), which did not lead to substantial changes in the results, indicating that the findings were robust to the choice of correlation coefficient.

3.7 Quality of evidence

Based on the GRADE assessment, all indicators were downgraded due to a certain risk of bias in the included studies. Except for TTE, which had a moderate quality of evidence, the quality of evidence for the other indicators was low or very low. See Table 4.

Table 4
www.frontiersin.org

Table 4. Level of evidence for article conclusions based on GRADE.

4 Discussion

This article included 23 studies (1,146 subjects) for meta-analysis. The comprehensive results showed that, in terms of body composition, long-term protein supplementation appeared to have a marginal benefit in increasing lean body mass, with a low level of evidence. In terms of performance, long-term protein supplementation helped prolong TTE in endurance exercise, with a moderate level of evidence. Although the overall subgroup analysis and meta-regression analysis did not show a significant moderating effect, the training status of the subjects showed a potential moderating effect in VO2max.

4.1 Body composition to protein supplementation

Our meta-analysis results showed that protein supplementation had no significant effect on body weight and body fat during endurance training, while the effect on lean body mass was small and non-significant (SMD = 0.13, 95% CI: −0.01, 0.28), suggesting that there is statistical uncertainty in this effect. The difference from the previous meta-analysis results of Lin et al. is that they found that protein supplementation significantly increased lean body mass by 0.32 kg, while our study only found that lean body mass increased by 0.13 kg, and this increase did not reach statistical significance. However, the results obtained by Lin et al. were moderately heterogeneous (I2 = 38%) (25), and the population included in the study included the elderly and chronic disease groups. In contrast, our study focused more on healthy young and middle-aged populations, which reduced the heterogeneity in the study results due to subject characteristics.

Normally, protein synthesis and breakdown rates in skeletal muscle are balanced, maintaining net protein balance (64). During and after various training types, both processes are stimulated (19). Unlike resistance training, endurance training primarily increases mitochondrial protein concentration without inducing muscle hypertrophy (65). This effect is due to enhanced mitochondrial protein synthesis alongside minimal acute changes in myofibrillar protein synthesis (66). During concurrent training, protein supplementation can augment muscle protein synthesis, helping to offset the catabolic effects of endurance training and promote hypertrophy and strength gains during subsequent resistance training (55, 67). However, this increase is smaller than that from resistance training alone. For example, Walker et al. (49) observed that during the 8-week concurrent training period, the lean body mass of the protein supplement group increased slightly; however, the increase was not as substantial as that observed in the resistance training group. A similar conclusion was reached in the study of Ferguson-Stegall et al. (56) During the 4-week endurance training, the lean body mass of the protein supplement group increased more than that of the carbohydrate group, but the difference was not significant. This indicates that endurance training slightly but not significantly increases lean body mass to a certain extent. One explanation is that the mechanism by which protein supplementation promotes lean body mass increase is likely to be a greater response to myofibrillar protein synthesis after exercise stimulation. Protein supplementation can further promote the rate of myofibrillar muscle protein synthesis (68, 69). In addition, protein supplementation after endurance exercise has also been found to regulate specific mRNA signaling pathways related to muscle synthesis and type I muscle fiber remodeling (70). Another possible explanation is that the protein supplement group may have consumed more total energy (and/or protein) or expended less energy during training compared to the placebo group (49). In addition, the increase in protein intake significantly improved nitrogen balance (49), which helped prevent the loss of muscle mass (10). This process may have led to an increase in muscle mass and total body water (52). It is worth noting that although no significant mediation effect was found in the subgroup analysis of lean body mass, previous studies have shown that the improvement of lean body mass may be affected by factors such as gender and initial lean body mass composition, among which men have a larger increase than women (51), and low initial lean body mass has a larger increase than high lean body mass (50). It may be that due to the current insufficient sample size, no significant mediation effect can be observed. Nevertheless, the small effect size observed in our meta-analysis (SMD = 0.13) and the lack of statistical significance (p = 0.07) also confirm the conclusions of previous studies. In conclusion, the effect of protein supplementation on lean body mass during endurance training is small and insignificant.

4.2 Physiological adaptation and protein supplementation

4.2.1 Aerobic capacity

Our meta-analysis results showed that protein supplementation had no significant effect on VO2max during endurance training (SMD = 0.10, 95% CI: −0.07, 0.27), which is contrary to the previous meta-analysis results of Lin et al. (25), who found that protein supplementation further increased VO2max by 0.89 mL/kg/min. However, the number of studies included by Lin et al. (25) was small (only 9). In contrast, we included 19 studies, integrated the latest original experiments, and further explored potential modulators of VO2max through subgroup and regression analyses. Previous studies have found that protein supplementation may provide more benefits for untrained subjects, while trained subjects may experience a ceiling effect because their own systematic training has already led to a significant increase in VO2max. Consistent with previous studies, the effect size for protein supplementation appeared larger in untrained subjects (SMD = 0.21); however, this difference did not reach statistical significance (p = 0.06), indicating uncertainty about the true effect. The major determinants of VO2max are the ability of the cardiovascular system to deliver oxygen to working muscles, which is primarily influenced by increases in cardiac output, and the ability of skeletal muscle to extract and utilize oxygen, which is influenced by increases in mitochondrial density and oxidase activity (71). Ferguson-Stegall et al. (56) suggested that the improvement in VO2max with protein supplementation was most likely due to cardiovascular adaptation rather than increased oxidative enzyme or mitochondrial biogenesis. This may be because protein supplementation increases plasma albumin levels (72), and hepatic albumin synthesis also increases during endurance training (73, 74). Therefore, protein supplementation may induce greater hepatic albumin synthesis, thereby promoting plasma volume expansion and, in turn, improving VO2max. In addition, Knuiman et al. (59) found that protein supplementation increased citrate synthase activity in skeletal muscle, suggesting that protein supplementation may enhance mitochondrial adaptation and thus contribute to the increase in VO2max. Nevertheless, there is still insufficient evidence to prove that protein supplementation further improves VO2max levels, and several studies (26, 27, 51, 53, 58, 61, 63) have shown no significant difference in VO2max between protein-supplemented groups and controls. Under the premise of adequate carbohydrate intake, protein supplementation may enhance molecular markers of training adaptation (e.g., mTOR expression and enzyme activity); however, this does not appear to translate into significant improvements in aerobic capacity. This suggests that although protein supplements can reduce exercise-induced muscle damage, stimulate muscle protein synthesis rate, and improve exercise training adaptability, the improvement of aerobic capacity mainly depends on regular systematic training rather than protein supplements. Owing to methodological differences among studies—such as variation in protein supplementation duration, training volume, and subject characteristics—the effects of protein supplementation on aerobic capacity in endurance athletes remain inconclusive and warrant further investigation. In addition, since the experimental periods included in this article are mostly between 6 and 12 weeks, the low intensity of endurance training and the short supplementation period may also be the reason why no significant changes in VO2max were observed in this article.

4.2.2 Anaerobic capacity

Our meta-analysis results showed that protein supplementation had no significant effect on peak power during endurance training (SMD = 0.19, 95% CI: −0.11, 0.49). Considering that there are currently few studies on peak power (only 4) and low statistical power, this result was rated as low level of evidence in GRADE and needs to be treated with caution. Since protein supplementation after exercise can stimulate myofibrillar protein synthesis and help maintain or increase lean body mass, lower limb lean body mass is closely related to peak power output (75). In addition, Reljic et al. (55) showed that the leg muscle strength of the protein supplement group was more significantly improved than that of the control group. Protein intake may increase the power output efficiency per unit muscle mass by increasing the density of contractile proteins in muscle fibers (4). Therefore, it is hypothesized that increases or maintenance of lean body mass might be associated with greater power output, although this relationship requires further investigation. However, there is currently a lack of strong evidence, and more high-quality studies are needed for further verification.

4.3 Performance and protein supplementation

Our meta-analysis results showed that protein supplementation had no significant effect on TT and sprint speed during endurance training, but significantly increased TTE (SMD = 0.45, 95% CI: 0.15–0.76). Unlike the previous meta-analysis by Lin et al. (25), which found that protein supplementation could further improve TT (MD = −29.1 s), our study did not observe a statistically significant effect on TT, but found significant benefits in TTE. This difference may be related to factors such as the type of included studies, training protocols, subject characteristics, or assessment methods. In terms of TT and sprint speed, it is not surprising that there was no significant effect after protein supplementation, considering that most of the included studies were well-trained or trained endurance athletes, who may have had high baseline levels. Secondly, the four studies (26, 49, 59, 61) showed that the differences in performance observed in the current studies may be related to the length of the experiment and the volume and frequency of endurance exercise training. The poor effect of protein supplementation may be related to the low volume and frequency of endurance exercise training or the short duration of the study. Previous studies (76) have shown a trend toward improved 5 km timed run performance with a high-protein diet compared with a low-protein diet (p = 0.06), but these short-term studies did not translate into long-term benefits. Therefore, the beneficial effects of protein supplementation on exercise performance during long-term endurance training remain to be determined.

One potential mechanism by which protein supplementation significantly improves exhaustion time may be related to its enhancement of aerobic metabolism. Studies have shown that protein supplements can further stimulate fat oxidation during exercise, thereby delaying glycogen depletion and improving endurance performance (77). In addition, the improvement of endurance performance not only depends on aerobic and anaerobic metabolic capacity, but is also closely related to neuromuscular function and running economy (78, 79). Studies have found that post-exercise protein intake can induce stronger activation of anabolic signaling pathways (such as mTOR) in human skeletal muscle within 4 h after acute resistance training, a process that may bring long-term adaptation to muscle-tendon structure (80). Therefore, it can be speculated that protein supplementation may improve running economy by promoting positive remodeling of muscle-tendon structure and mechanical properties (81), allowing athletes to achieve higher maximum running speeds at the same relative oxygen consumption (82). However, this hypothesis still needs to be verified by more studies focusing on structural adaptation and running economy mechanisms. In addition, it should be noted that the TTE test differs substantially from real-world competitive scenarios, and thus, the practical significance of improvements in TTE should be interpreted with caution.

4.4 Practical implications

This study used meta-analysis techniques to systematically review the effects of endurance training combined with protein supplementation on body composition, physiological adaptations, and exercise performance to update previous research conclusions, provide practitioners with the latest integrated results, and focus on the interaction between endurance training and protein supplementation. Our study showed that protein supplementation during endurance training significantly improved the TTE and slightly increased the lean body mass. It is worth noting that considering that previous studies have shown that the current literature still lacks studies exploring the role of protein supplementation in long-term endurance training (83), we limited inclusion to studies with supplementation periods longer than 4 weeks. However, this may affect the generalizability of our findings. However, in real life, researchers and practitioners are more concerned about the long-term adaptation of protein supplementation to endurance athletes (15). In terms of daily protein intake, the average range of the studies we included was 1.2 g/kg/day to 2.3 g/kg/day, which meets the dose recommended by the current nutrition association. During training, higher protein intake can meet the needs of cellular protein synthesis and metabolism (13, 84), and the daily protein intake of endurance athletes usually reaches the habitual intake level (24). For example, endurance-trained athletes need about 1.8 g/kg/day to support endurance training adaptation (85). Nonetheless, practitioners need to take into account metabolic differences between different endurance sports as well as individual differences (86), all of which will affect protein requirements.

4.5 Limitation

Before interpreting the results of this paper, some limitations need to be clarified. First, only peer-reviewed and published literature was searched in the literature search, but there was no language restriction. This ensured the quality of the included articles to a certain extent, but there may still be risks of selection and publication bias. Second, most studies did not report the habitual protein intake of the subjects, which resulted in our inability to directly evaluate whether individuals undergoing endurance training benefited from additional protein. Third, we used the SD of mean change in the selection of SD. Since the correlation coefficients before and after the intervention were rarely reported in the included studies, we conservatively assumed that the correlation coefficient r = 0.50, which is also in line with the recommendations of the Cochrane guidelines. Although this assumption is a conservative estimate, its deviation from the true correlation coefficient may have a certain impact on the effect size estimate. Fourth, the inconsistent reporting of protein supplementation dosage in the included studies limits our comprehensive evaluation of the moderating effect of supplementation dosage.

4.6 Prospect

First, it is recommended that future studies clarify the habitual protein intake of subjects and establish a control group that consumes a caloric placebo, which will help evaluate whether the adaptations to endurance training are attributed to protein supplementation. Second, although our study included sedentary healthy people to well-trained athletes, it is necessary to explore the feasibility and physiological adaptations of protein supplementation in chronic disease populations (such as diabetic patients) and sarcopenia populations. Third, the small sample size, lack of large-scale long-term studies, and insufficient representation of female participants are limitations of the current study. Future studies need to further expand the sample size and investigate the physiological adaptations brought about by protein supplementation during endurance training to clarify the level of contribution of protein supplementation to performance in specific populations. Fourth, there is currently a lack of experimental studies to explore whether the addition of protein can further promote muscle glycogen recovery when consuming optimal carbohydrate intake, which is of great significance for formulating recovery nutrition strategies for endurance athletes.

5 Conclusion

Protein supplementation during endurance training results in a small, non-significant increase in lean body mass and significantly improves TTE during endurance exercise. Protein supplementation does not cause significant changes in body weight and body fat, nor does it affect aerobic and anaerobic capacity, but untrained adults may further improve VO2max with protein supplementation compared to trained adults.

Data availability statement

The original contributions presented in the study are included in the article/Supplementary material, further inquiries can be directed to the corresponding author.

Author contributions

YX: Formal analysis, Methodology, Project administration, Software, Visualization, Writing – original draft, Writing – review & editing. ZD: Data curation, Methodology, Supervision, Validation, Writing – review & editing. WS: Data curation, Investigation, Project administration, Validation, Writing – review & editing. JL: Data curation, Investigation, Project administration, Supervision, Validation, Writing – review & editing. WG: Conceptualization, Funding acquisition, Project administration, Resources, Supervision, Writing – review & editing.

Funding

The author(s) declare that no financial support was received for the research and/or publication of this article.

Conflict of interest

The authors declare that the research was conducted in the absence of any commercial or financial relationships that could be construed as a potential conflict of interest.

Generative AI statement

The authors declare that no Gen AI was used in the creation of this manuscript.

Publisher’s note

All claims expressed in this article are solely those of the authors and do not necessarily represent those of their affiliated organizations, or those of the publisher, the editors and the reviewers. Any product that may be evaluated in this article, or claim that may be made by its manufacturer, is not guaranteed or endorsed by the publisher.

Supplementary material

The Supplementary material for this article can be found online at: https://www.frontiersin.org/articles/10.3389/fnut.2025.1663860/full#supplementary-material

Footnotes

References

1. Antonio, J, Cassandra, E, Ferrando Arny, A, Stout Jeffrey, R, Brandi, A, Cintineo, HP, et al. Common questions and misconceptions about protein supplementation: what does the scientific evidence really show? J Int Soc Sports Nutr. (2024) 21:2341903. doi: 10.1080/15502783.2024.2341903

PubMed Abstract | Crossref Full Text | Google Scholar

2. Jäger, R, Kerksick, CM, Campbell, BI, Cribb, PJ, Wells, SD, Skwiat, TM, et al. International Society of Sports Nutrition Position Stand: protein and exercise. J Int Soc Sports Nutr. (2017) 14:20. doi: 10.1186/s12970-017-0177-8

PubMed Abstract | Crossref Full Text | Google Scholar

3. Kreider, RB. Journal of the International Society of Sports Nutrition: a new era begins. J Int Soc Sports Nutr. (2007) 4:1. doi: 10.1186/1550-2783-4-1

PubMed Abstract | Crossref Full Text | Google Scholar

4. Morton, RW, Murphy, KT, McKellar, SR, Schoenfeld, BJ, Henselmans, M, Helms, E, et al. A systematic review, meta-analysis and meta-regression of the effect of protein supplementation on resistance training-induced gains in muscle mass and strength in healthy adults. Br J Sports Med. (2018) 52:376–84. doi: 10.1136/bjsports-2017-097608

PubMed Abstract | Crossref Full Text | Google Scholar

5. Trommelen, J, Betz, MW, and van Loon, LJC. The muscle protein synthetic response to meal ingestion following resistance-type exercise. Sports Med. (2019) 49:185–97. doi: 10.1007/s40279-019-01053-5

PubMed Abstract | Crossref Full Text | Google Scholar

6. Phillips, SM, Moore, DR, and Tang, JE. A critical examination of dietary protein requirements, benefits, and excesses in athletes. Int J Sport Nutr Exerc Metab. (2007) 17:S58–76. doi: 10.1123/ijsnem.17.s1.s58

PubMed Abstract | Crossref Full Text | Google Scholar

7. Tipton, KD. Protein for adaptations to exercise training. Eur J Sport Sci. (2008) 8:107–18. doi: 10.1080/17461390801919102

Crossref Full Text | Google Scholar

8. American Dietetic Association; Dietitians of Canada; American College of Sports MedicineRodriguez, NR, Di Marco, NM, and Langley, S. American College of Sports Medicine position stand. Nutrition and athletic performance. Med Sci Sports Exerc. (2009) 41:709. doi: 10.1249/MSS.0b013e31890eb86,

Crossref Full Text | Google Scholar

9. Cintineo, HP, Arent, MA, Antonio, J, and Arent, SM. Effects of protein supplementation on performance and recovery in resistance and endurance training. Front Nutr. (2018) 5:83. doi: 10.3389/fnut.2018.00083

PubMed Abstract | Crossref Full Text | Google Scholar

10. Moore, DR, Camera, DM, Areta, JL, and Hawley, JA. Beyond muscle hypertrophy: why dietary protein is important for endurance athletes. Appl Physiol Nutr Metab. (2014) 39:987–97. doi: 10.1139/apnm-2013-0591

PubMed Abstract | Crossref Full Text | Google Scholar

11. van Loon, LJ, Greenhaff, PL, Constantin-Teodosiu, D, Saris, WH, and Wagenmakers, AJ. The effects of increasing exercise intensity on muscle fuel utilisation in humans. J Physiol. (2001) 536:295–304. doi: 10.1111/j.1469-7793.2001.00295.x

PubMed Abstract | Crossref Full Text | Google Scholar

12. Gonzalez, JT, Fuchs, CJ, Betts, JA, and van Loon, LJC. Liver glycogen metabolism during and after prolonged endurance-type exercise. Am J Physiol Endocrinol Metab. (2016) 311:E543–53. doi: 10.1152/ajpendo.00232.2016

PubMed Abstract | Crossref Full Text | Google Scholar

13. Tarnopolsky, M. Protein requirements for endurance athletes. Nutrition. (2004) 20:662–8. doi: 10.1016/j.nut.2004.04.008

PubMed Abstract | Crossref Full Text | Google Scholar

14. Boyer, B, and Odessey, R. Kinetic characterization of branched chain ketoacid dehydrogenase. Arch Biochem Biophys. (1991) 285:1–7. doi: 10.1016/0003-9861(91)90321-9

PubMed Abstract | Crossref Full Text | Google Scholar

15. Witard, OC, Hearris, M, and Morgan, PT. Protein nutrition for endurance athletes: a metabolic focus on promoting recovery and training adaptation. Sports Med. (2025) 55:1361–76. doi: 10.1007/s40279-025-02203-8

PubMed Abstract | Crossref Full Text | Google Scholar

16. Kephart, WC, Wachs, TD, Thompson, RM, Brooks Mobley, C, Fox, CD, McDonald, JR, et al. Ten weeks of branched-chain amino acid supplementation improves select performance and immunological variables in trained cyclists. Amino Acids. (2016) 48:779–89. doi: 10.1007/s00726-015-2125-8

PubMed Abstract | Crossref Full Text | Google Scholar

17. Stearns, RL, Emmanuel, H, Volek, JS, and Casa, DJ. Effects of ingesting protein in combination with carbohydrate during exercise on endurance performance: a systematic review with meta-analysis. J Strength Cond Res. (2010) 24:2192–202. doi: 10.1519/JSC.0b013e3181ddfacf

PubMed Abstract | Crossref Full Text | Google Scholar

18. Howarth, KR, Moreau, NA, Phillips, SM, and Gibala, MJ. Coingestion of protein with carbohydrate during recovery from endurance exercise stimulates skeletal muscle protein synthesis in humans. J Appl Physiol (1985). (2009) 106:1394–402. doi: 10.1152/japplphysiol.90333.2008

Crossref Full Text | Google Scholar

19. Clauss, M, and Jensen, J. Effect of exercise intensity, duration, and volume on protein oxidation during endurance exercise in humans: a systematic review with meta-analysis. Scand J Med Sci Sports. (2025) 35:e70038. doi: 10.1111/sms.70038

PubMed Abstract | Crossref Full Text | Google Scholar

20. Heikura, IA, Stellingwerff, T, and Burke, LM. Self-reported periodization of nutrition in elite female and male runners and race walkers. Front Physiol. (2018) 9:1732. doi: 10.3389/fphys.2018.01732

PubMed Abstract | Crossref Full Text | Google Scholar

21. Heikura, IA, Stellingwerff, T, Mero, AA, Uusitalo, ALT, and Burke, LM. A mismatch between athlete practice and current sports nutrition guidelines among elite female and male middle- and long-distance athletes. Int J Sport Nutr Exerc Metab. (2017) 27:351–60. doi: 10.1123/ijsnem.2016-0316

PubMed Abstract | Crossref Full Text | Google Scholar

22. Cermak, NM, and van Loon, LJC. The use of carbohydrates during exercise as an ergogenic aid. Sports Med. (2013) 43:1139–55. doi: 10.1007/s40279-013-0079-0

PubMed Abstract | Crossref Full Text | Google Scholar

23. Naderi, A, Gobbi, N, Ali, A, Berjisian, E, Hamidvand, A, Forbes, SC, et al. Carbohydrates and endurance exercise: a narrative review of a food first approach. Nutrients. (2023) 15:1367. doi: 10.3390/nu15061367

PubMed Abstract | Crossref Full Text | Google Scholar

24. Gillen, JB, Trommelen, J, Wardenaar, FC, Brinkmans, NYJ, Versteegen, JJ, Jonvik, KL, et al. Dietary protein intake and distribution patterns of well-trained Dutch athletes. Int J Sport Nutr Exerc Metab. (2017) 27:105–14. doi: 10.1123/ijsnem.2016-0154

PubMed Abstract | Crossref Full Text | Google Scholar

25. Lin, Y-N, Tseng, T-T, Knuiman, P, Chan, WP, Wu, S-H, Tsai, C-L, et al. Protein supplementation increases adaptations to endurance training: a systematic review and meta-analysis. Clin Nutr. (2021) 40:3123–32. doi: 10.1016/j.clnu.2020.12.012

PubMed Abstract | Crossref Full Text | Google Scholar

26. Hansen, M, Oxfeldt, M, Larsen, AE, Thomsen, LS, Rokkedal-Lausch, T, Christensen, B, et al. Supplement with whey protein hydrolysate in contrast to carbohydrate supports mitochondrial adaptations in trained runners. J Int Soc Sports Nutr. (2020) 17:46. doi: 10.1186/s12970-020-00376-3

PubMed Abstract | Crossref Full Text | Google Scholar

27. Alghannam, AF, Templeman, I, Thomas, JE, Jedrzejewski, D, Griffiths, S, Lemon, J, et al. Effect of carbohydrate-protein supplementation on endurance training adaptations. Eur J Appl Physiol. (2020) 120:2273–87. doi: 10.1007/s00421-020-04450-1

PubMed Abstract | Crossref Full Text | Google Scholar

28. Jackson, D, and Turner, R. Power analysis for random-effects meta-analysis. Res Synth Methods. (2017) 8:290–302. doi: 10.1002/jrsm.1240

PubMed Abstract | Crossref Full Text | Google Scholar

29. Page, MJ, McKenzie, JE, Bossuyt, PM, Boutron, I, Hoffmann, TC, Mulrow, CD, et al. The PRISMA 2020 statement: an updated guideline for reporting systematic reviews. BMJ. (2021) 372:n71. doi: 10.1136/bmj.n71

PubMed Abstract | Crossref Full Text | Google Scholar

30. Drevon, D, Fursa, SR, and Malcolm, AL. Intercoder reliability and validity of WebPlotDigitizer in extracting graphed data. Behav Modif. (2017) 41:323–39. doi: 10.1177/0145445516673998

PubMed Abstract | Crossref Full Text | Google Scholar

31. Cumpston, M, Li, T, Page, MJ, Chandler, J, Welch, VA, Higgins, JP, et al. Updated guidance for trusted systematic reviews: a new edition of the Cochrane handbook for systematic reviews of interventions. Cochrane Database Syst Rev. (2019) 10:ED000142. doi: 10.1002/14651858.ED000142

PubMed Abstract | Crossref Full Text | Google Scholar

32. Sterne, JAC, Savović, J, Page, MJ, Elbers, RG, Blencowe, NS, Boutron, I, et al. RoB 2: a revised tool for assessing risk of bias in randomised trials. BMJ. (2019) 366:l4898. doi: 10.1136/bmj.l4898

PubMed Abstract | Crossref Full Text | Google Scholar

33. Viechtbauer, W. Conducting meta-analyses in R with the metafor package. J Stat Softw. (2010) 36:1–48. doi: 10.18637/jss.v036.i03

Crossref Full Text | Google Scholar

34. Nakagawa, S, Lagisz, M, O’Dea, RE, Pottier, P, Rutkowska, J, Senior, AM, et al. orchaRd 2.0: an R package for visualising meta-analyses with orchard plots. Methods Ecol Evol. (2023) 14:2003–10. doi: 10.1111/2041-210X.14152

Crossref Full Text | Google Scholar

35. Nakagawa, S, and Cuthill, IC. Effect size, confidence interval and statistical significance: a practical guide for biologists. Biol Rev Camb Philos Soc. (2007) 82:591–605. doi: 10.1111/j.1469-185X.2007.00027.x

PubMed Abstract | Crossref Full Text | Google Scholar

36. Nakagawa, S, Noble, DWA, Senior, AM, and Lagisz, M. Meta-evaluation of meta-analysis: ten appraisal questions for biologists. BMC Biol. (2017) 15:18. doi: 10.1186/s12915-017-0357-7

PubMed Abstract | Crossref Full Text | Google Scholar

37. Higgins, JPT, Thompson, SG, Deeks, JJ, and Altman, DG. Measuring inconsistency in meta-analyses. BMJ. (2003) 327:557–60. doi: 10.1136/bmj.327.7414.557

PubMed Abstract | Crossref Full Text | Google Scholar

38. McKay, AKA, Stellingwerff, T, Smith, ES, Martin, DT, Mujika, I, Goosey-Tolfrey, VL, et al. Defining training and performance caliber: a participant classification framework. Int J Sports Physiol Perform. (2022) 17:317–31. doi: 10.1123/ijspp.2021-0451

PubMed Abstract | Crossref Full Text | Google Scholar

39. Peters, JL, Sutton, AJ, Jones, DR, Abrams, KR, and Rushton, L. Contour-enhanced meta-analysis funnel plots help distinguish publication bias from other causes of asymmetry. J Clin Epidemiol. (2008) 61:991–6. doi: 10.1016/j.jclinepi.2007.11.010

PubMed Abstract | Crossref Full Text | Google Scholar

40. Egger, M, Davey Smith, G, Schneider, M, and Minder, C. Bias in meta-analysis detected by a simple, graphical test. BMJ. (1997) 315:629–34. doi: 10.1136/bmj.315.7109.629

PubMed Abstract | Crossref Full Text | Google Scholar

41. Sterne, JAC, Sutton, AJ, Ioannidis, JPA, Terrin, N, Jones, DR, Lau, J, et al. Recommendations for examining and interpreting funnel plot asymmetry in meta-analyses of randomised controlled trials. BMJ. (2011) 343:d4002. doi: 10.1136/bmj.d4002

PubMed Abstract | Crossref Full Text | Google Scholar

42. Guyatt, GH, Oxman, AD, Vist, GE, Kunz, R, Falck-Ytter, Y, Alonso-Coello, P, et al. GRADE: an emerging consensus on rating quality of evidence and strength of recommendations. BMJ. (2008) 336:924–6. doi: 10.1136/bmj.39489.470347.AD

PubMed Abstract | Crossref Full Text | Google Scholar

43. Valenzuela, PL, Montalvo, Z, Mata, F, González, M, Larumbe-Zabala, E, and Naclerio, F. Effects of beef protein supplementation in male elite triathletes: a randomized, controlled, double-blind, cross-over study. J Am Coll Nutr. (2021) 40:53–60. doi: 10.1080/07315724.2020.1727377

PubMed Abstract | Crossref Full Text | Google Scholar

44. Hsu, K-J, Chien, K-Y, Tsai, S-C, Tsai, Y-S, Liao, Y-H, Chen, J-J, et al. Effects of exercise alone or in combination with high-protein diet on muscle function, aerobic capacity, and physical function in middle-aged obese adults: a randomized controlled trial. J Nutr Health Aging. (2021) 25:727–34. doi: 10.1007/s12603-021-1599-1

PubMed Abstract | Crossref Full Text | Google Scholar

45. Gryson, C, Ratel, S, Rance, M, Penando, S, Bonhomme, C, Le Ruyet, P, et al. Four-month course of soluble milk proteins interacts with exercise to improve muscle strength and delay fatigue in elderly participants. J Am Med Dir Assoc. (2014) 15:958.e1–9. doi: 10.1016/j.jamda.2014.09.011

PubMed Abstract | Crossref Full Text | Google Scholar

46. Antonio, J, Sanders, MS, Ehler, LA, Uelmen, J, Raether, JB, and Stout, JR. Effects of exercise training and amino-acid supplementation on body composition and physical performance in untrained women. Nutrition. (2000) 16:1043–6. doi: 10.1016/s0899-9007(00)00434-2

PubMed Abstract | Crossref Full Text | Google Scholar

47. Flakoll, PJ, Judy, T, Flinn, K, Carr, C, and Flinn, S. Postexercise protein supplementation improves health and muscle soreness during basic military training in marine recruits. J Appl Physiol (1985). (2004) 96:951–6. doi: 10.1152/japplphysiol.00811.2003

Crossref Full Text | Google Scholar

48. Lockwood, CM, Moon, JR, Tobkin, SE, Walter, AA, Smith, AE, Dalbo, VJ, et al. Minimal nutrition intervention with high-protein/low-carbohydrate and low-fat, nutrient-dense food supplement improves body composition and exercise benefits in overweight adults: a randomized controlled trial. Nutr Metab (Lond). (2008) 5:11. doi: 10.1186/1743-7075-5-11

PubMed Abstract | Crossref Full Text | Google Scholar

49. Walker, TB, Smith, J, Herrera, M, Lebegue, B, Pinchak, A, and Fischer, J. The influence of 8 weeks of whey-protein and leucine supplementation on physical and cognitive performance. Int J Sport Nutr Exerc Metab. (2010) 20:409–17. doi: 10.1123/ijsnem.20.5.409

PubMed Abstract | Crossref Full Text | Google Scholar

50. McAdam, JS, McGinnis, KD, Beck, DT, Haun, CT, Romero, MA, Mumford, PW, et al. Effect of whey protein supplementation on physical performance and body composition in army initial entry training soldiers. Nutrients. (2018) 10:1248. doi: 10.3390/nu10091248

PubMed Abstract | Crossref Full Text | Google Scholar

51. Ormsbee, MJ, Willingham, BD, Marchant, T, Binkley, TL, Specker, BL, and Vukovich, MD. Protein supplementation during a 6-month concurrent training program: effect on body composition and muscular strength in sedentary individuals. Int J Sport Nutr Exerc Metab. (2018) 28:619–28. doi: 10.1123/ijsnem.2018-0036

PubMed Abstract | Crossref Full Text | Google Scholar

52. Jendricke, P, Kohl, J, Centner, C, Gollhofer, A, and König, D. Influence of specific collagen peptides and concurrent training on cardiometabolic parameters and performance indices in women: a randomized controlled trial. Front Nutr. (2020) 7:580918. doi: 10.3389/fnut.2020.580918

PubMed Abstract | Crossref Full Text | Google Scholar

53. Forbes, SC, and Bell, GJ. Whey protein isolate or concentrate combined with concurrent training does not augment performance, cardiorespiratory fitness, or strength adaptations. J Sports Med Phys Fitness. (2020) 60:832–40. doi: 10.23736/S0022-4707.20.10314-1

PubMed Abstract | Crossref Full Text | Google Scholar

54. Jerger, S, Jendricke, P, Centner, C, Bischof, K, Kohl, J, Keller, S, et al. Effects of specific bioactive collagen peptides in combination with concurrent training on running performance and indicators of endurance capacity in men: a randomized controlled trial. Sports Med Open. (2023) 9:103. doi: 10.1186/s40798-023-00654-9

PubMed Abstract | Crossref Full Text | Google Scholar

55. Reljic, D, Zieseniss, N, Herrmann, HJ, Neurath, MF, and Zopf, Y. Protein supplementation increases adaptations to low-volume, intra-session concurrent training in untrained healthy adults: a double-blind, placebo-controlled, randomized trial. Nutrients. (2024) 16:2713. doi: 10.3390/nu16162713

PubMed Abstract | Crossref Full Text | Google Scholar

56. Ferguson-Stegall, L, McCleave, E, Ding, Z, Doerner Iii, PG, Liu, Y, Wang, B, et al. Aerobic exercise training adaptations are increased by postexercise carbohydrate-protein supplementation. J Nutr Metab. (2011) 2011:623182. doi: 10.1155/2011/623182

PubMed Abstract | Crossref Full Text | Google Scholar

57. Berg, A, Schaffner, D, Pohlmann, Y, Baumstark, MW, Deibert, P, König, D, et al. A soy-based supplement alters energy metabolism but not the exercise-induced stress response. Exerc Immunol Rev. (2012) 18:128–41.

Google Scholar

58. Cramer, JT, Housh, TJ, Johnson, GO, Coburn, JW, and Stout, JR. Effects of a carbohydrate-, protein-, and ribose-containing repletion drink during 8 weeks of endurance training on aerobic capacity, endurance performance, and body composition. J Strength Cond Res. (2012) 26:2234–42. doi: 10.1519/JSC.0b013e3182606cec

PubMed Abstract | Crossref Full Text | Google Scholar

59. Knuiman, P, van Loon, LJC, Wouters, J, Hopman, M, and Mensink, M. Protein supplementation elicits greater gains in maximal oxygen uptake capacity and stimulates lean mass accretion during prolonged endurance training: a double-blind randomized controlled trial. Am J Clin Nutr. (2019) 110:508–18. doi: 10.1093/ajcn/nqz093

PubMed Abstract | Crossref Full Text | Google Scholar

60. Naclerio, F, Larumbe-Zabala, E, Larrosa, M, Centeno, A, Esteve-Lanao, J, and Moreno-Pérez, D. Intake of animal protein blend plus carbohydrate improves body composition with no impact on performance in endurance athletes. Int J Sport Nutr Exerc Metab. (2019) 29:474–80. doi: 10.1123/ijsnem.2018-0359

PubMed Abstract | Crossref Full Text | Google Scholar

61. Jonvik, K, Paulussen, K, Danen, S, Ceelen, I, Horstman, A, Wardenaar, F, et al. Protein supplementation does not augment adaptations to endurance exercise training. Med Sci Sports Exerc. (2019) 51:2041–9. doi: 10.1249/MSS.0000000000002028

PubMed Abstract | Crossref Full Text | Google Scholar

62. Röhling, M, McCarthy, D, and Berg, A. Continuous protein supplementation reduces acute exercise-induced stress markers in athletes performing Marathon. Nutrients. (2021) 13:2929. doi: 10.3390/nu13092929

PubMed Abstract | Crossref Full Text | Google Scholar

63. Li, F, Hsueh, Y-T, Hsu, Y-J, Lee, M-C, Chang, C-H, Ho, C-S, et al. Effects of isolated soy protein supplementation combined with aerobic exercise training on improving body composition, anthropometric characteristics and cardiopulmonary endurance in women: a pilot study. Int J Environ Res Public Health. (2021) 18:11798. doi: 10.3390/ijerph182211798

PubMed Abstract | Crossref Full Text | Google Scholar

64. Burd, NA, Tang, JE, Moore, DR, and Phillips, SM. Exercise training and protein metabolism: influences of contraction, protein intake, and sex-based differences. J Appl Physiol. (2009) 106:1692–701. doi: 10.1152/japplphysiol.91351.2008

Crossref Full Text | Google Scholar

65. Holloszy, JO, and Booth, FW. Biochemical adaptations to endurance exercise in muscle. Annu Rev Physiol. (1976) 38:273–91. doi: 10.1146/annurev.ph.38.030176.001421

PubMed Abstract | Crossref Full Text | Google Scholar

66. Wilkinson, SB, Phillips, SM, Atherton, PJ, Patel, R, Yarasheski, KE, Tarnopolsky, MA, et al. Differential effects of resistance and endurance exercise in the fed state on signalling molecule phosphorylation and protein synthesis in human muscle. J Physiol. (2008) 586:3701–17. doi: 10.1113/jphysiol.2008.153916

PubMed Abstract | Crossref Full Text | Google Scholar

67. Beelen, M, Tieland, M, Gijsen, AP, Vandereyt, H, Kies, AK, Kuipers, H, et al. Coingestion of carbohydrate and protein hydrolysate stimulates muscle protein synthesis during exercise in young men, with no further increase during subsequent overnight recovery. J Nutr. (2008) 138:2198–204. doi: 10.3945/jn.108.092924

PubMed Abstract | Crossref Full Text | Google Scholar

68. Breen, L, Philp, A, Witard, OC, Jackman, SR, Selby, A, Smith, K, et al. The influence of carbohydrate-protein co-ingestion following endurance exercise on myofibrillar and mitochondrial protein synthesis. J Physiol. (2011) 589:4011–25. doi: 10.1113/jphysiol.2011.211888

PubMed Abstract | Crossref Full Text | Google Scholar

69. Camera, DM, West, DWD, Phillips, SM, Rerecich, T, Stellingwerff, T, Hawley, JA, et al. Protein ingestion increases myofibrillar protein synthesis after concurrent exercise. Med Sci Sports Exerc. (2015) 47:82–91. doi: 10.1249/MSS.0000000000000390

PubMed Abstract | Crossref Full Text | Google Scholar

70. Rowlands, DS, Thomson, JS, Timmons, BW, Raymond, F, Fuerholz, A, Mansourian, R, et al. Transcriptome and translational signaling following endurance exercise in trained skeletal muscle: impact of dietary protein. Physiol Genomics. (2011) 43:1004–20. doi: 10.1152/physiolgenomics.00073.2011

PubMed Abstract | Crossref Full Text | Google Scholar

71. Bassett, DR, and Howley, ET. Limiting factors for maximum oxygen uptake and determinants of endurance performance. Med Sci Sports Exerc. (2000) 32:70–84. doi: 10.1097/00005768-200001000-00012

PubMed Abstract | Crossref Full Text | Google Scholar

72. Okazaki, K, Goto, M, and Nose, H. Protein and carbohydrate supplementation increases aerobic and thermoregulatory capacities. J Physiol. (2009) 587:5585–90. doi: 10.1113/jphysiol.2009.180562

PubMed Abstract | Crossref Full Text | Google Scholar

73. Nagashima, K, Cline, GW, Mack, GW, Shulman, GI, and Nadel, ER. Intense exercise stimulates albumin synthesis in the upright posture. J Appl Physiol (1985). (2000) 88:41–6. doi: 10.1152/jappl.2000.88.1.41

Crossref Full Text | Google Scholar

74. Yang, RC, Mack, GW, Wolfe, RR, and Nadel, ER. Albumin synthesis after intense intermittent exercise in human subjects. J Appl Physiol (1985). (1998) 84:584–92. doi: 10.1152/jappl.1998.84.2.584

Crossref Full Text | Google Scholar

75. Pearson, SJ, Cobbold, M, Orrell, RW, and Harridge, SDR. Power output and muscle myosin heavy chain composition in young and elderly men. Med Sci Sports Exerc. (2006) 38:1601–7. doi: 10.1249/01.mss.0000227638.75983.9d

PubMed Abstract | Crossref Full Text | Google Scholar

76. Williamson, E, Kato, H, Volterman, KA, Suzuki, K, and Moore, DR. The effect of dietary protein on protein metabolism and performance in endurance-trained males. Med Sci Sports Exerc. (2019) 51:352–60. doi: 10.1249/MSS.0000000000001791

PubMed Abstract | Crossref Full Text | Google Scholar

77. Soenen, S, Plasqui, G, Smeets, AJ, and Westerterp-Plantenga, MS. Protein intake induced an increase in exercise stimulated fat oxidation during stable body weight. Physiol Behav. (2010) 101:770–4. doi: 10.1016/j.physbeh.2010.08.019

PubMed Abstract | Crossref Full Text | Google Scholar

78. Paavolainen, L, Häkkinen, K, Hämäläinen, I, Nummela, A, and Rusko, H. Explosive-strength training improves 5-km running time by improving running economy and muscle power. J Appl Physiol (1985). (1999) 86:1527–33. doi: 10.1152/jappl.1999.86.5.1527

Crossref Full Text | Google Scholar

79. Beattie, K, Kenny, IC, Lyons, M, and Carson, BP. The effect of strength training on performance in endurance athletes. Sports Med. (2014) 44:845–65. doi: 10.1007/s40279-014-0157-y

Crossref Full Text | Google Scholar

80. Centner, C, Jerger, S, Mallard, A, Herrmann, A, Varfolomeeva, E, Gollhofer, S, et al. Supplementation of specific collagen peptides following high-load resistance exercise upregulates gene expression in pathways involved in skeletal muscle signal transduction. Front Physiol. (2022) 13:838004. doi: 10.3389/fphys.2022.838004

PubMed Abstract | Crossref Full Text | Google Scholar

81. Praet, SFE, Purdam, CR, Welvaert, M, Vlahovich, N, Lovell, G, Burke, LM, et al. Oral supplementation of specific collagen peptides combined with calf-strengthening exercises enhances function and reduces pain in Achilles tendinopathy patients. Nutrients. (2019) 11:76. doi: 10.3390/nu11010076

PubMed Abstract | Crossref Full Text | Google Scholar

82. Barnes, KR, and Kilding, AE. Strategies to improve running economy. Sports Med. (2015) 45:37–56. doi: 10.1007/s40279-014-0246-y

PubMed Abstract | Crossref Full Text | Google Scholar

83. Knuiman, P, Hopman, MTE, Verbruggen, C, and Mensink, M. Protein and the adaptive response with endurance training: wishful thinking or a competitive edge? Front Physiol. (2018) 9:598. doi: 10.3389/fphys.2018.00598

PubMed Abstract | Crossref Full Text | Google Scholar

84. Phillips, SM. Dietary protein requirements and adaptive advantages in athletes. Br J Nutr. (2012) 108:S158–67. doi: 10.1017/S0007114512002516

PubMed Abstract | Crossref Full Text | Google Scholar

85. Kato, H, Suzuki, K, Bannai, M, and Moore, DR. Protein requirements are elevated in endurance athletes after exercise as determined by the indicator amino acid oxidation method. PLoS One. (2016) 11:e0157406. doi: 10.1371/journal.pone.0157406

PubMed Abstract | Crossref Full Text | Google Scholar

86. Moore, DR. One size doesn’t fit all: postexercise protein requirements for the endurance athlete. Am J Clin Nutr. (2020) 112:249–50. doi: 10.1093/ajcn/nqaa144

PubMed Abstract | Crossref Full Text | Google Scholar

Keywords: endurance training, protein supplements, nutritional supplements, meta-analysis, body composition, aerobic capacity, athletic performance

Citation: Xiao Y, Deng Z, Sun W, Li J and Gao W (2025) Effects of protein supplementation on body composition, physiological adaptations, and performance during endurance training: a systematic review and meta-analysis. Front. Nutr. 12:1663860. doi: 10.3389/fnut.2025.1663860

Received: 11 July 2025; Accepted: 28 July 2025;
Published: 07 August 2025.

Edited by:

Francisco J. Osuna-Prieto, Pere Virgili Health Research Institute (IISPV), Spain

Reviewed by:

Unai A. Pérez De Arrilucea Le Floc’h, Universidad Europea de Valencia, Spain
Ahmad Chaeroni, Padang State University, Indonesia

Copyright © 2025 Xiao, Deng, Sun, Li and Gao. This is an open-access article distributed under the terms of the Creative Commons Attribution License (CC BY). The use, distribution or reproduction in other forums is permitted, provided the original author(s) and the copyright owner(s) are credited and that the original publication in this journal is cited, in accordance with accepted academic practice. No use, distribution or reproduction is permitted which does not comply with these terms.

*Correspondence: WeiFeng Gao, MjAxMjAyN0B3aHN1LmVkdS5jbg==

Disclaimer: All claims expressed in this article are solely those of the authors and do not necessarily represent those of their affiliated organizations, or those of the publisher, the editors and the reviewers. Any product that may be evaluated in this article or claim that may be made by its manufacturer is not guaranteed or endorsed by the publisher.