ORIGINAL RESEARCH article
Front. Nutr.
Sec. Nutritional Epidemiology
This article is part of the Research TopicAddressing insulin resistance and hyperinsulinemia for cardiovascular disease preventionView all 17 articles
Association between estimated glucose disposal rate and the risk of atherosclerotic cardiovascular disease: insight from cross-sectional and retrospective cohort studies
Provisionally accepted- 1Ningbo University, Ningbo, China
- 2Qingdao University, Qingdao, Shandong, China
Select one of your emails
You have multiple emails registered with Frontiers:
Notify me on publication
Please enter your email address:
If you already have an account, please login
You don't have a Frontiers account ? You can register here
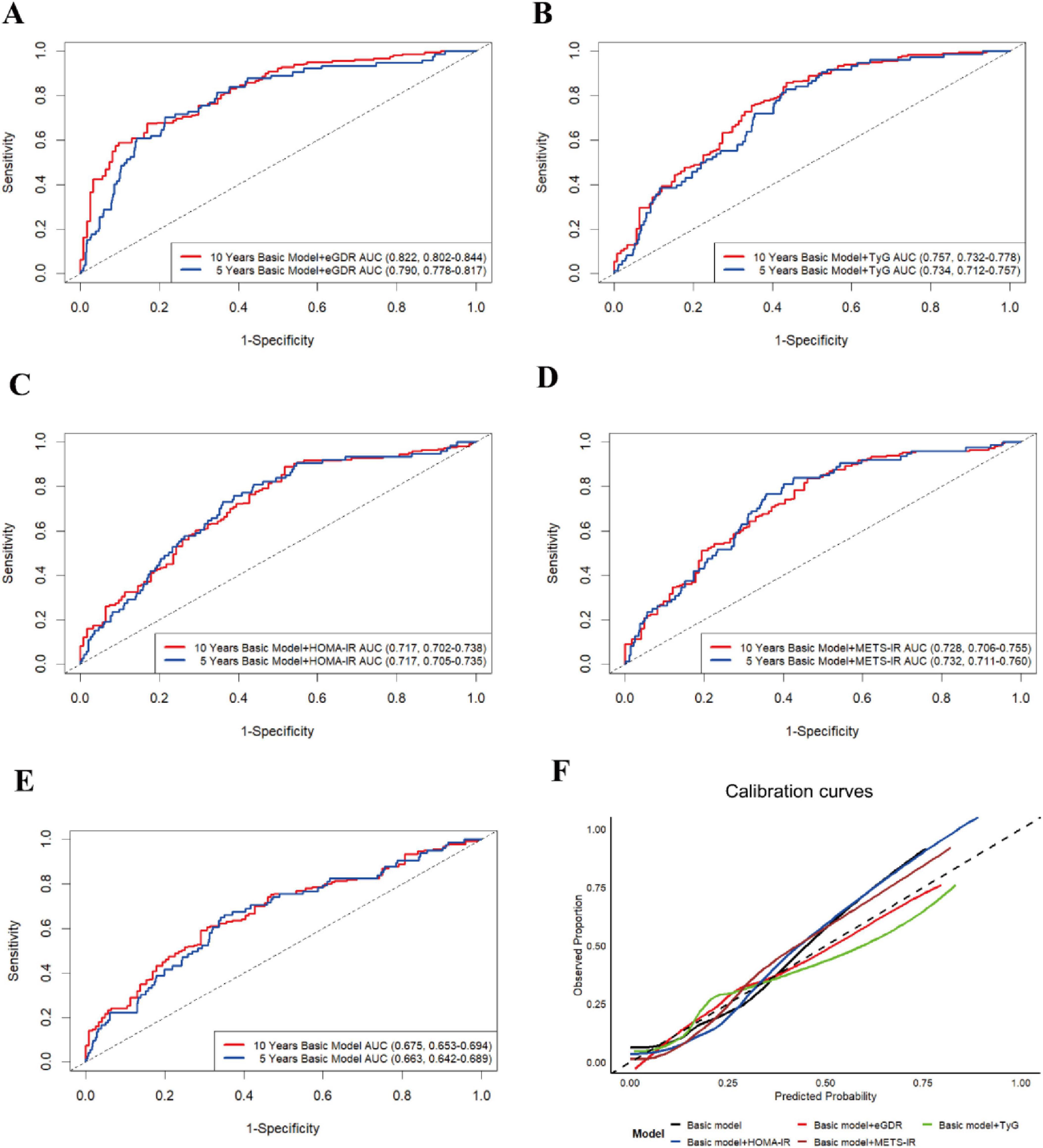
Background: Accumulating data have elucidated a significant association between insulin resistance (IR) and the risk of cardiovascular diseases. The estimated glucose disposal rate (eGDR), a quantitative indicator of glucose metabolism, has been increasingly recognized as a reliable clinical indicator of IR. Atherosclerotic cardiovascular disease (ASCVD) is a type of cardiovascular disease caused by atherosclerosis. However, the association and potential mechanisms between eGDR and ASCVD risk remain unclear. Methods: We conducted cross-sectional and retrospective cohort studies using data from the two health examination centers of Qingdao University Affiliated Shanghai Deji Hospital and Ningbo Medical Center Lihuili Hospital to horizontally and longitudinally evaluate the potential relationship and explore potential mechanisms between eGDR and the risk of ASCVD. Results: A significant negative linear association between eGDR and ASCVD risk was observed in our study. After adjusting for some covariates, each unit increment in eGDR was associated with a 16.1% decrease in odds ratio of ASCVD (OR = 0.839, 95% CI: 0.806-0.894) in the cross-sectional study and a 12.4% decrease in hazard ratio of ASCVD (HR = 0.876, 95% CI: 0.788, 0.974) in the retrospective cohort study. This negative association was robust in most subgroups and various sensitivity analyses. Furthermore, eGDR presented greater predictive performances for ASCVD diagnosis and new-onset ASCVD risk compared with TyG, HOMA-IR, and METS-IR. In addition, AIP, VAI, CMI, LAP, and BMI had partial mediation effects on the association between eGDR and ASCVD risk. Conclusions: This study elucidates the significant negative dose-response linear relationship of eGDR with ASCVD risk and the partial mediation effects of AIP, VAI, CMI, LAP, and BMI, highlighting the significance of enhancing glucose-utilizing capacity in decreasing the risk of ASCVD.
Keywords: Atherosclerotic cardiovascular disease, Estimated glucose disposal rate, Cross-sectional study, Retrospective cohort study, Mediation analysis
Received: 12 Jul 2025; Accepted: 17 Nov 2025.
Copyright: © 2025 Wang, Zhou, Zheng, Huang and Yi. This is an open-access article distributed under the terms of the Creative Commons Attribution License (CC BY). The use, distribution or reproduction in other forums is permitted, provided the original author(s) or licensor are credited and that the original publication in this journal is cited, in accordance with accepted academic practice. No use, distribution or reproduction is permitted which does not comply with these terms.
* Correspondence: Kefan Yi, ykf224618@163.com
Disclaimer: All claims expressed in this article are solely those of the authors and do not necessarily represent those of their affiliated organizations, or those of the publisher, the editors and the reviewers. Any product that may be evaluated in this article or claim that may be made by its manufacturer is not guaranteed or endorsed by the publisher.
