ORIGINAL RESEARCH article
Front. Nutr.
Sec. Nutritional Epidemiology
This article is part of the Research TopicGenome-based Nutrition Strategies for Preventing Diet-related Chronic Diseases: Where Genes, Diet, and Food Culture Meet, Volume IIView all 7 articles
Causal inference and risk prediction of gestational diabetes mellitus based on case-control study and Mendel randomization
Provisionally accepted- Guilin Medical University, Guilin, China
Select one of your emails
You have multiple emails registered with Frontiers:
Notify me on publication
Please enter your email address:
If you already have an account, please login
You don't have a Frontiers account ? You can register here
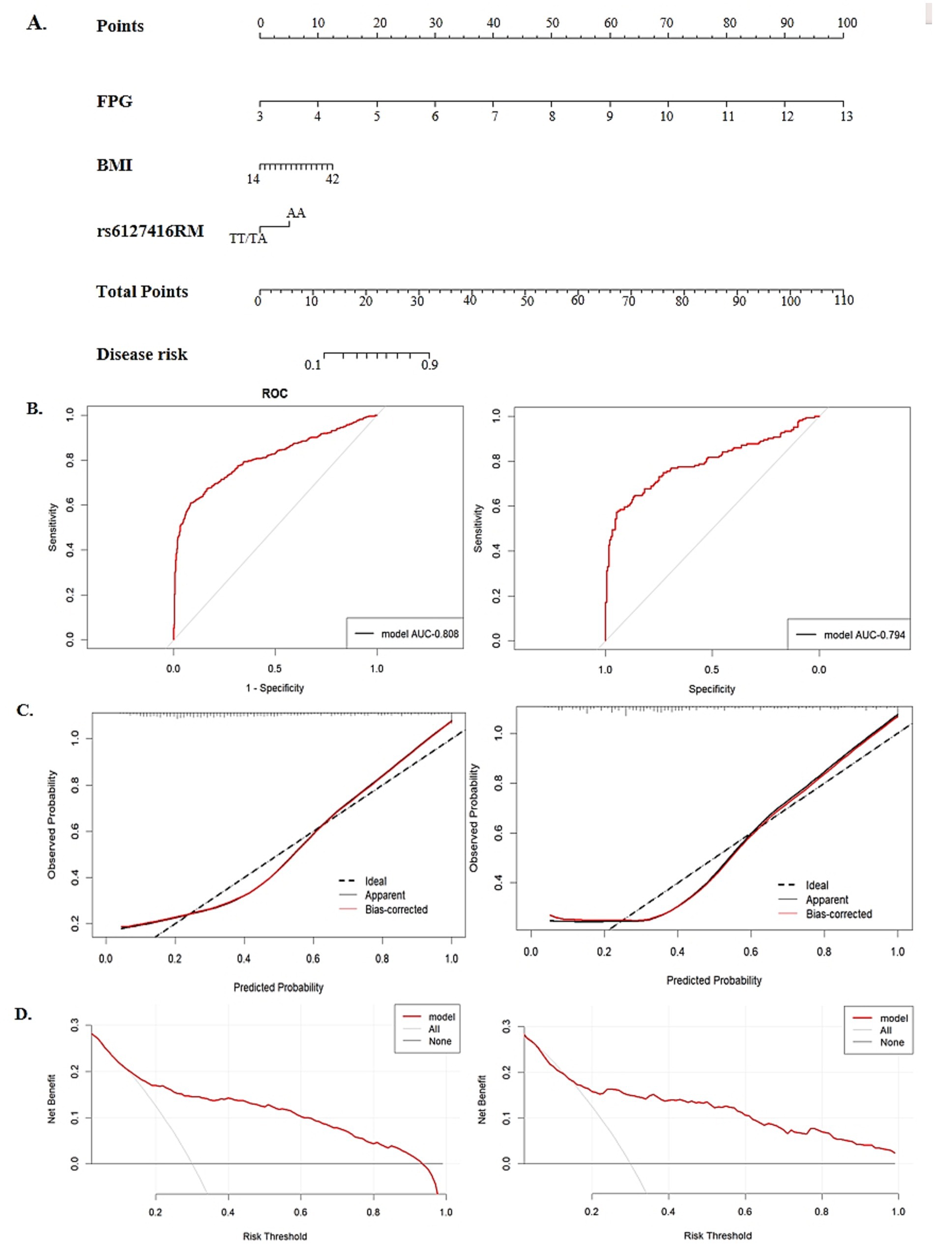
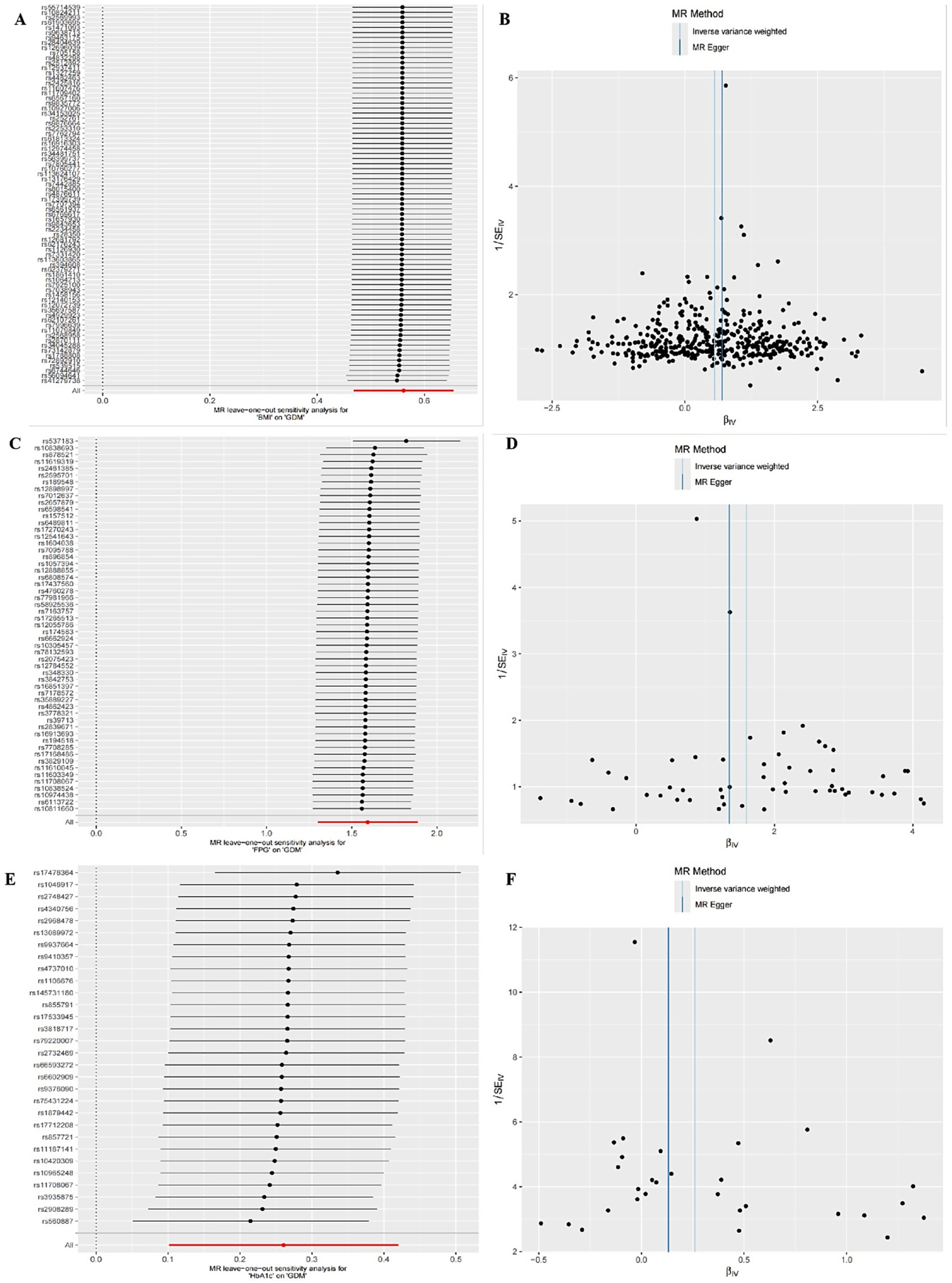
Aims: To evaluate the causal determinants and their risk predictive efficacy of gestational diabetes mellitus (GDM) in Chinese population. Methods: Genotyping data for candidate genetic variants were collected from 554 cases of GDM and 641 pregnant women with normal glucose tolerance. The associations between these variants and GDM risk were evaluated with the odds ratios (ORs) and their corresponding 95% confidence intervals (CIs). Multivariate mendelian randomization (MVMR) was employed to validate the GDM causal factors. Subsequently, a GDM early risk prediction nomogram model was developed based on the key clinical and genetic factors identified. Result: After adjusting age and pre-pregnancy BMI (pre-BMI), the rs6127416 variant showed a significant association with susceptibility to GDM. Comparing the AA genotype to the TT genotype, the adjusted odds ratio (OR) was 2.20 (95%CI = 1.53-3.18, P <0.001), and comparing AA to TT/TA genotypes, the adjusted OR was 2.35 (95%CI = 1.68-3.30, P <0.001). MVMR analysis confirmed the positive causal effects of pre-BMI and fasting plasma glucose (FPG) on GDM (pre-BMI-ORMVMR = 1.80, FPG-ORMVMR = 12.37, P < 0.001). A nomogram risk predictive model incorporating pre-BMI, FPG, and rs6127416 demonstrated an area under the ROC curve of 0.808. Conclusion: Pre-BMI and FPG were determined to be causal factors linked to GDM. The prediction model constructed using key clinical and genetic variables (such as rs6127416-preBMI-FPG) holds promising utility for personalized risk assessment of GDM in the initial trimester of pregnancy, with potential to support early identification of high-risk women and facilitate timely lifestyle or clinical interventions during antenatal care.
Keywords: gestational diabetes mellitus, Genetic variant, Mendelian randomization, Causal Factors, Nomogram model
Received: 14 Jul 2025; Accepted: 09 Oct 2025.
Copyright: © 2025 Li, Sun, Nie, Liang, He, Huang and Yu. This is an open-access article distributed under the terms of the Creative Commons Attribution License (CC BY). The use, distribution or reproduction in other forums is permitted, provided the original author(s) or licensor are credited and that the original publication in this journal is cited, in accordance with accepted academic practice. No use, distribution or reproduction is permitted which does not comply with these terms.
* Correspondence:
Jian Huang, huangjian@glmc.edu.cn
Xiangyuan Yu, 112013033@glmc.edu.cn
Disclaimer: All claims expressed in this article are solely those of the authors and do not necessarily represent those of their affiliated organizations, or those of the publisher, the editors and the reviewers. Any product that may be evaluated in this article or claim that may be made by its manufacturer is not guaranteed or endorsed by the publisher.
