ORIGINAL RESEARCH article
Front. Nutr.
Sec. Nutritional Epidemiology
Determinants of Early Lactation Failure in Mothers of Moderately Preterm Neonates: A Multilevel Analysis of Survey Data
Provisionally accepted- Nantong First People’s Hospital, Nantong, China
Select one of your emails
You have multiple emails registered with Frontiers:
Notify me on publication
Please enter your email address:
If you already have an account, please login
You don't have a Frontiers account ? You can register here
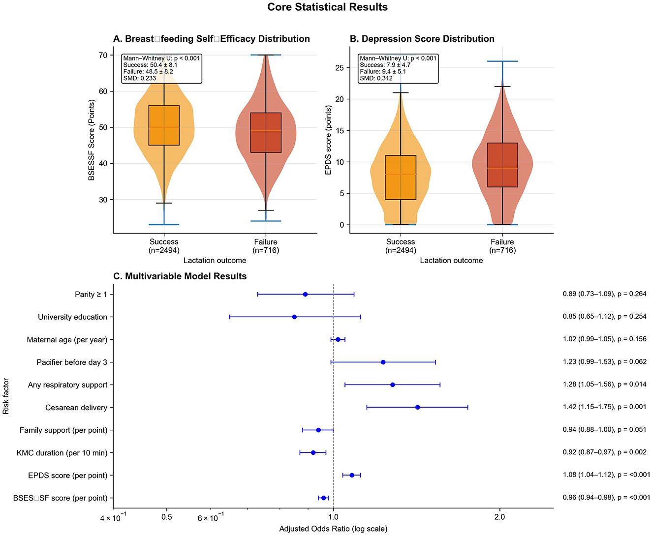
Background: Early lactation failure among mothers of moderate preterm infants poses a persistent public health concern. This study identified key predictors and developed a risk stratification tool. Methods: We conducted a prospective cohort study of 3,210 mother-infant dyads (32.0–34.9 weeks gestation) at a tertiary hospital in China (February 2022–April 2025). Early lactation failure was defined as absence of direct breastfeeding with documented latch or provision of <5 mL cumulative expressed breast milk within 72 hours postpartum. Data included psychosocial assessments (Breastfeeding Self-Efficacy Scale-Short Form [BSES-SF], Edinburgh Postnatal Depression Scale [EPDS], family support), obstetric factors, neonatal characteristics, and early care variables. Missing data was imputed using multiple chained equations (50 datasets). Multilevel logistic regression with ward-level random intercepts identified predictors, with bootstrap validation (1,000 resamples) assessing performance. Results: Among 3,210 mother-infant dyads enrolled, 716 (22.3%) experienced early lactation failure within 72 hours postpartum. Key predictors included higher BSES-SF scores (adjusted odds ratio [aOR] = 0.96 per point, 95% confidence interval [CI]: 0.94–0.98), higher EPDS scores (aOR = 1.08, 95% CI: 1.04–1.12), cesarean delivery (aOR = 1.42, 95% CI: 1.15–1.75), neonatal respiratory support (aOR = 1.28, 95% CI: 1.05–1.56), and shorter kangaroo care duration (aOR = 0.92 per 10 minutes, 95% CI: 0.87–0.97). A five-factor risk tool stratified mothers into low-risk (13.0% failure rate), moderate-risk (20.5%), and high-risk (31.0%) groups, with strong discrimination (C-statistic = 0.704; calibration slope = 0.952; Hosmer-Lemeshow p = 0.267). Population-attributable risks were highest for cesarean delivery (20.4%), low self-efficacy (18.9%), and depression (18.2%), with numbers needed to treat (NNT) ranging from 11 to 18. Conclusion: This study confirms the multifactorial basis of early lactation failure, highlighting maternal psychosocial factors as key predictors. The validated risk tool enables identification of high-risk dyads for targeted nutritional support interventions.
Keywords: breastfeeding, preterm infants, Lactation failure, risk stratification, self-efficacy, Maternal Depression
Received: 06 Aug 2025; Accepted: 28 Oct 2025.
Copyright: © 2025 Fei, Lei, Xiaobin, Yuanyuan, Yan, Wang, Zou and Ji. This is an open-access article distributed under the terms of the Creative Commons Attribution License (CC BY). The use, distribution or reproduction in other forums is permitted, provided the original author(s) or licensor are credited and that the original publication in this journal is cited, in accordance with accepted academic practice. No use, distribution or reproduction is permitted which does not comply with these terms.
* Correspondence: Juhua  Ji, jjhekes0203@163.com
Disclaimer: All claims expressed in this article are solely those of the authors and do not necessarily represent those of their affiliated organizations, or those of the publisher, the editors and the reviewers. Any product that may be evaluated in this article or claim that may be made by its manufacturer is not guaranteed or endorsed by the publisher.
