ORIGINAL RESEARCH article
Front. Nutr.
Sec. Clinical Nutrition
This article is part of the Research TopicBeyond the Plate: The Role of Diet and the Microbiota-Gut-Brain Axis in Neurodegenerative DiseasesView all 4 articles
Association between Plant-Based Dietary Patterns and Dementia among Chinese Older Adults
Provisionally accepted- 1Thirteenth People's Hospital of Chongqing, Chongqing, China
- 2The First Clinical College, Chongqing Medical University, Chongqing, China
- 3School of Paediatric,Chongqing Medical University, Chongqing, China
- 4Chongqing Medical University School of Traditional Chinese Medicine, Chongqing, China
- 5The Second Clinical College, Chongqing Medical University, Chongqing, China
- 6School of Stomatology, Chongqing Medical University, Chongqing, China
- 7The Thirteenth People's Hospital of Chongqing, Chongqing, China
Select one of your emails
You have multiple emails registered with Frontiers:
Notify me on publication
Please enter your email address:
If you already have an account, please login
You don't have a Frontiers account ? You can register here
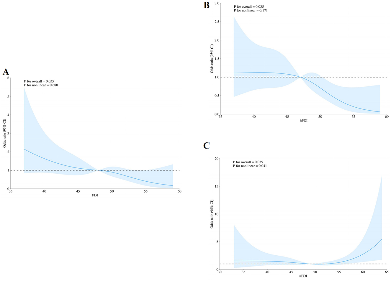
Background: Dementia has become a major concern with the rapid aging of the population. While plant-based dietary habits are widely regarded as beneficial, evidence on their associations with dementia among Chinese older adults is still limited. Methods: Our study included 9,360 individuals from the 2018 data collection of the Chinese Longitudinal Healthy Longevity Survey (CLHLS), a nationally representative, cross-sectional survey. We developed three plant-based diet indices—the overall (PDI), healthful (hPDI), and unhealthful (uPDI)—using a simplified food frequency questionnaire. Multivariable logistic regression, adjusted for various covariates, was used to examine the associations between these diet indices and dementia prevalence. Additional analyses encompassed restricted cubic splines (RCS), subgroup analyses, interaction tests, and sensitivity analyses to assess the robustness of the findings. We further validated the results in an independent group of 588 older adults from Chongqing, China. Results: The observed prevalence of dementia among older adults in the CLHLS sample was 10.67%, while a cross-sectional survey conducted in Chongqing reported a prevalence of 13.78%. Results from logistic regression models controlling for all covariates indicated that the PDI, hPDI, and uPDI were significantly associated with dementia among Chinese older adults (PDI: OR = 0.964, 95% CI = 0.951 ~ 0.977; hPDI: OR = 0.976, 95% CI = 0.963 ~ 0.990; uPDI: OR = 1.012, 95% CI = 1.001 ~ 1.024). The restricted cubic spline (RCS) analysis further confirmed a significant dose-response relationship between PDI, hPDI, and dementia. Interaction analysis revealed that diabetes and physical exercise significantly modified these associations. Validation results based on the older adult population in Chongqing were consistent with the above findings. Conclusion: Plant-based dietary patterns showed significant cross-sectional associations with dementia prevalence among Chinese older adults. The modifying effects of diabetes and exercise highlight the importance of considering individual characteristics when examining diet–dementia relationships.
Keywords: Plant-based dietary patterns, Dementia, older adults, CLHLS, Externalvalidation
Received: 20 Jul 2025; Accepted: 24 Oct 2025.
Copyright: © 2025 Xian, Chen, Fu, Chen, Xiang, Han, Li, Wang and Shen. This is an open-access article distributed under the terms of the Creative Commons Attribution License (CC BY). The use, distribution or reproduction in other forums is permitted, provided the original author(s) or licensor are credited and that the original publication in this journal is cited, in accordance with accepted academic practice. No use, distribution or reproduction is permitted which does not comply with these terms.
* Correspondence: Kun  Shen, ckoon1022@163.com
Disclaimer: All claims expressed in this article are solely those of the authors and do not necessarily represent those of their affiliated organizations, or those of the publisher, the editors and the reviewers. Any product that may be evaluated in this article or claim that may be made by its manufacturer is not guaranteed or endorsed by the publisher.
