- 1Modern College of Agriculture, Forestry Engineering Ganzhou Polytechnic, Ganzhou, China
- 2College of Food Science and Engineering, Jiangxi Agricultural University, Nanchang, China
- 3College of Veterinary Medicine, Yunnan Agricultural University, Kunming, China
Fusarium graminearum, the major causal agent of Fusarium head blight (FHB), produces the trichothecene mycotoxin deoxynivalenol (DON), which threatens food and feed safety worldwide. This review synthesizes recent advances in DON biosynthesis, emphasizing the TRI gene cluster and its pathway enzymes, transcriptional regulators, and signaling cascades. In parallel, it provides a comprehensive analysis of the molecular mechanisms involved in regulating DON biosynthesis, with a focus on the TRI cluster. In additionally, current progress in detoxification strategies is summarized, covering physical, chemical, and biological methods aimed at mitigating DON contamination in food and feed. This review further explores the endogenous environmental factors influencing DON synthesis and offering insights to the development of integrated control strategies against DON contamination. By integrating the current findings, this review aims to support the development of effective strategies, control F. graminearum and mitigate FHB.
1 Introduction
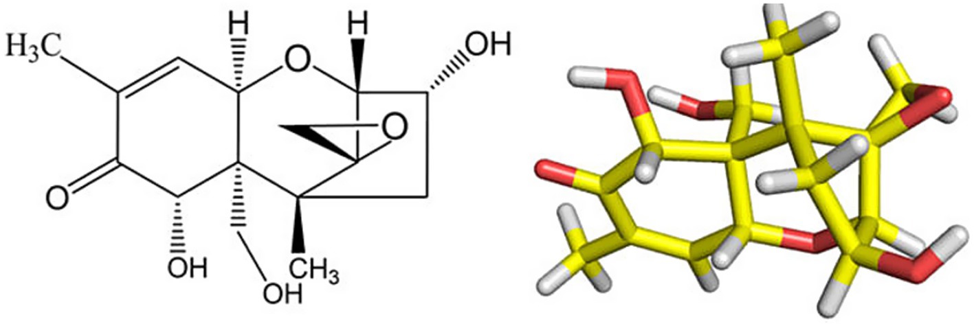
Fusarium graminearum is the primary fungal pathogen responsible for FHBin wheat, a disease that threatens global grain yields and food safety (1, 2). A major concern associated with F. graminearum is the production of deoxynivalenol (DON) (Figure 1), or “vomitoxin,” a mycotoxin that contaminates wheat and other cereals, which poses risks to the human and animal health (3, 4). Based on the recent reports, DON is one of the most common food-related mycotoxins in the world (5). Acetylated derivatives of deoxynivalenol (DON), mainly 3-ADON and 15-ADON, act as DON precursors with slightly reduced toxicity, regulated by FgTRI8 (6). Pathogen subspeciation has diversified their production. Deoxynivalenol-3-glucoside (D3G), a masked DON derivative, can hydrolyze in vivo to DON, intensifying toxicity (7). According to the Food and Agriculture Organization (FAO), approximately 25% of global food crops are contaminated with mycotoxins annually, which causes economic losses of over USD 100 billion (8, 9).

Figure 1. The chemical structure and stereochemical structure of DON. Key functional groups (epoxide, C9–C10 double bond) that underlie toxicity and guide detoxification chemistry are indicated.
China, as one of the world’s largest wheat producers, is particularly vulnerable to FHB (10). The disease affects millions of hectares of wheat annually, with the outbreak potentially resulting in unprecedented yield losses of the nation’s wheat production (11–13). This review integrates these advances to (i) map DON biosynthesis and its regulation from gene to environment, and (ii) compare detoxification strategies with an emphasis on mechanisms, limitations, and translational prospects for integrated FHB management.
1.1 Geographic distribution and impact
F. graminearum is widely distributed across humid and semi-humid regions, with particularly high incidence in the temperate zones, including the Yangtze River Basin in China, the Great Lakes region of North America, and Central Europe (14–16). It infects over 30 cereal crops, including wheat, barley, maize, and oats (17–19).
According to the Biomin Global Mycotoxin Survey (Figure 2), East Asia, North America, and Europe experience the highest levels of DON contamination (20). Across the world, FHB had caused an estimated loss of over $10 billion (21). Similarly, the reported incidence of DON contamination was very high across different regions, with 94% in America and China and 77% in Europe (22, 23). DON and its acetylated derivatives exert detrimental effects on the human health, which could lead to a severe FHB outbreak and reduced wheat yields, potentially leading to multiple cases of livestock poisoningfrom DON exposure (24). Contamination levels of 3-ADON and 15-ADON are strongly correlated, and their co-occurrence produces synergistic toxicity. Studies show that baking degrades DON acetylated derivatives (25), while Juan-García et al. (26) demonstrated their cytotoxicity and metabolic products in HepG2 cells. Ozone treatment can also degrade DON, with degradation byproducts exhibiting negligible toxicity (Sun et al.) (27).
In China, FHB is most prevalent in the humid and rainy region of Yangtze River Basin, with its distribution expanding northward (28). The annual yield losses in the middle and lower Yangtze River region typically range from 10 to 15%, with severe outbreaks reducing the yields by up to 50% (29, 30). One of the earliest large-scale outbreaks occurred in Henan Province in 1985, which affected 3 million hectares of wheat fields (31). Since 2000, climate change and shifts in the cultivation practices have intensified the spread of FHB (32). Approximately 80% of wheat crops across China were contaminated to varying degrees, causing a decline in the national grain production decline of >20% (31, 33, 34). This wheat-maize rotation system has contributed to the persistence of F. graminearum, with Henan and Shandong Provinces emerging as high-risk areas (35).
1.2 Disease cycle
The F. graminearum comprises of the following four key stages: overwintering, spore release, infection, and secondary spread (36, 37) (Figure 3).

Figure 3. The cycle of Fusarium graminearum infection. Overwintering on residues, ascospore/conidial release, floret infection, and secondary spread are summarized with environmental triggers (temperature, humidity; cite from https://www.saskatchewan.ca/business/).
Regions with recurrent high DON incidence (East Asia, North America, Europe) are highlighted.
1.2.1 Overwintering
Following harvest, F. graminearum persists as a saprophyte on crop residues, including grains and stalks, producing both mycelia and perithecia that facilitate infection in subsequent seasons (19, 38, 39). Vegetative mycelia, which is responsible for nutrient absorption, can survive on the soil surface for up to 1 year or for 1–2 months when buried (19). Dormant perithecia remain viable at soil temperatures greater than −20 C (40).
1.2.2 Spore release
In spring, when temperatures reach approximately 10°C and the relative humidity is >80%, perithecia mature and release large quantities of ascospores and conidia under moist conditions (41, 42). Air currents and rain splash facilitate spore dispersal to wheat spikes, which initiate infection.
1.2.3 Infection
Upon reaching wheat spikes, F. graminearum ascospores and conidia, forming hyphae that initially infect the anthers before spreading into the glumes and spikelets (43, 44). The infected tissues develop water-soaked brown lesions, and the fungus colonizes the spike through the rachis (45). Under warmand humid conditions, the infected spikes turn pale-yellow or white, often displaying characteristic pink or brownish fungal masses (46).
1.2.4 Secondary spread
Ascospores and conidia produced on infected plants can cause secondary infections in late-season wheat crops or in the adjacent summer maize fields (47). These spores may also form perithecia on crop residues, allowing F. graminearum to overwinter and contribute to primary infections in the following planting season (48).
Under dry conditions, F. graminearum may enter a latent phase, temporarily halting its spread and symptom development (49). However, increased moisture can reactivate this disease, often causing severe epidemics (50). This observation underscores the importance of overwintering inoculum and perithecia formation in sustaining F. graminearum populations (19). The interplay between favorable weather conditions, abundant inoculum sources, and continuous wheat cultivation drives the recurrent nature of FHB outbreaks (51).
2 Biosynthesis and molecular mechanism of DON
The biosynthesis of DON is regulated by a coordinated enzymatic network encoded by the TRI family (52). All TRI involved in DON biosynthesis in F. graminearum have been identified, which includes nearly 10 core TRI, along with TRI101 and TRI1 through TRI16 (Figure 4). The roles of these genes in DON biosynthesis have been largely elucidated, thereby clarifying the overall biosynthetic pathway (Figure 5).
Among these genes, TRI1 encodes a C-8 hydroxylase, whereas TRI3 encodes an acetyltransferase (53). TRI4 encodes a cytochrome P450 monooxygenase, and TRI5, also known as the trichodiene synthase gene, catalyzes the initial step in trichothecene biosynthesis (54). TRI6 and TRI10 function as the key regulatory genes, controlling both trichothecene biosynthesis and the expression of other TRI genes (55). Specifically, TRI6 acts as a self-regulated transcription factor that modulates the TRI10 expression through promoter binding (56). TRI7 and TRI13 together determine the specific chemical type of DON produced (57). Meanwhile, TRI8 encodes a deacetylase, and TRI12 encodes a transporter protein that serves as an efflux pump for trichothecene toxins (58, 59).
The biosynthesis process begins with the cyclization of farnesyl pyrophosphate (FPP) into the non-toxic intermediate trichodiene, catalyzed by trichodiene synthase (TRI5). This step is the first and most critical in DON biosynthesis. Trichodiene is subsequently hydroxylated at the C2 position, epoxidized between C12 and C13, and hydroxylated at C11 and C3 by the cytochrome P450 monooxygenase (TRI4), resulting in the formation of the intermediate iso-trichotriol (60, 61).
Iso-trichotriol then undergoes two non-enzymatic isomerization steps, shifting the hydroxyl group from C9 to C11 (7). A covalent bond subsequently forms between the oxygen atoms at C2 and C11, yielding iso-trichodermol, the core structure of trichothecene toxins (62). Iso-trichodermol is then acetylated at C3 by the acetyltransferase TRI101, forming 3-acetyl-iso-trichodermol (63). Hydroxylation at C15, catalyzed by the TRI1-encoded hydroxylase, produces 15-deacetylcalonectrin (54, 64). This intermediate product is further acetylated at C15 by the acetyltransferase TRI3, forming calonectrin (65). Additional hydroxylation at C7 and C8, followed by the conversion of the C8 hydroxyl group into a keto group, results in the formation of either 3-acetyldeoxynivalenol (3-ADON) or 15-ADON, depending on the substrate specificity of the TRI8-encoded deacetylase. The final deacetylation step yields DON (66).
As the TRI family directly controls DON biosynthesis, the expressions of TRI are central to the regulation of toxin production (67). TRI5 was the first toxin biosynthesis gene identified and cloned in F. graminearum. Functional studies have demonstrated that deletion of TRI5, which significantly reduces the pathogenicity of F. graminearum, while reintroducing the wild-type gene restores both toxin production and pathogenicity (67). These gene complementation experiments not only confirmed the essential role of TRI5 in the biosynthetic pathway but also underscored its critical position within the broader regulatory network (68).
The transcription factor TRI6 serves as a key regulator, functioning alongside TRI10 to control the expression of other TRI genes (69). Microarray analyses have demonstrated that the deletion of TRI6 or TRI10 affects the expression of > 50% of TRI genes, including TRI12, which encodes the toxin efflux pump (67). Beyond regulating TRI genes, TRI6 and TRI10 also influence genes involved in the mevalonate pathway, such as HMR1, which encodes 3-hydroxy-3-methylglutaryl-CoA reductase (HMG-CoA reductase), as well as genes associated with isoprenoid precursor synthesis, including those responsible for FPP production (55). The loss of TRI6 significantly downregulates the expression of TRI3 and TRI4, further disrupting DON biosynthesis (52). In addition, TRI14 has been identified as an important regulatory gene influencing DON accumulation.
Although DON biosynthesis follows a stepwise process, it occurs within a complex metabolic network, where the sequence of individual reactions is not strictly linear (62, 70).
3 Regulatory mechanisms of DON biosynthesis
The regulation of DON biosynthesis is governed by both endogenous signaling pathways and external environmental factors (71, 72).
3.1 Regulation of DON biosynthesis by endogenous signaling pathways
Several cellular signaling pathways also contribute to the regulation of DON biosynthesis, including the mitogen-activated protein kinase (MAPK) pathway, the cyclic AMP-protein kinase A (cAMP-PKA) pathway, and the Target of Rapamycin (TOR) pathway (69).
The MAPK pathway regulates DON production through three phosphorylation cascades: Mgv1, Gpmk1, and FgHog1 (67). The deletion of core kinases in the Mgv1 pathway (i.e., FgBck1, FgMmk2, FgMgv1) severely impairs pathogenicity, restricts fungal spread to the initial infection site, and almost completely eliminates DON production (73). In the Gpmk1 pathway, the deletion of FgSte11, FgSte7, or Fgpmk1 significantly reduces both the colonization ability and DON production in wheat spikes. Similarly, the disruption of the osmotic stress-pathway genes FgHOG1, FgPBS2, and FgSSK2 significantly inhibits DON biosynthesis (13).
The cAMP-PKA pathway regulates DON biosynthesis through the catalytic subunit gene FgCPK1 and the adenylate cyclase gene FgFAC1 (74). The deletion of FgCPK1 reducesthe DON production, whereas the deletion of FgFAC1 completely abolishes DON biosynthesis (74–76).
The TOR pathway influences DON biosynthesis through FgTOR1/2, which encode the only kinases in this pathway and through the Tap42 complex genes (i.e., FgPP2A, FgSIT4, and FgPPG1). Among these, only the deletion of FgPPG1 could completely block DON biosynthesis (77, 78).
3.2 The influence of the external environment on DON biosynthesis
Environmental factors such as temperature, humidity, pH, carbon and nitrogen sources, hydrogen peroxide (H₂O₂), and light significantly impact the growth and metabolism of F. graminearum, which influence DON biosynthesis (13).
Past studies have demonstrated that F. graminearum can grow across a broad temperature range, with optimal DON production occurring at 22 °C –28 °C. Toxin biosynthesis can occur at 12 °C –37 °C, and the production ceases at temperatures > 37° (79). The optimal water activity (aw) for fungal growth ranges from 0.900–0.995, whereas DON biosynthesis requires a narrower range of 0.950–0.995 (80). This explains why FHB outbreaks and DON contamination are more prevalent in warm and humid regions, where the environmental conditions favor fungal proliferation and toxin production (81, 82).
Merhej et al. (83) investigated the effect of environmental pH on F. graminearum growth, DON biosynthesis, and TRI gene expression in vitro using liquid cultures on a minimal medium. Their results demonstrated that DON production and TRI expression were absent at neutral pH (84). However, by the third day of cultivation, the medium’s pH dropped sharply, triggering the expression of TRI5 and TRI101 and initiating accumulation of DON. Further research revealed that the transcription factor PacC, a key component of the pH regulation system, plays a critical role in secondary metabolite biosynthesis. In a follow-up study, Merhej et al. (85) reported found that the deletion of the F. graminearum PacC homolog (FgPAC1) led to earlier TRI gene induction and accelerated DON accumulation under acidic conditions, indicating that FgPAC1 could negatively regulates the TRI expression and DON biosynthesis (67).
Carbon and nitrogen sources, which are essential nutrients for microbial growth, also regulate DON biosynthesis in F. graminearum. Jiao et al. (86) analyzed the effects of 12 carbon sources on DON and 3-ADON production in nine 3-ADON-producing strains of F. graminearum. Sucrose, raffinose, and stachyose significantly enhanced trichothecene production across all tested strains. In sucrose-based media, the expression of TRI4 and TRI5 were significantly upregulated, whereas this effect was absent in glucose-based media (87). Furthermore, adding glucose to sucrose-based media did not inhibit DON accumulation, suggesting that trichothecene biosynthesis is not regulated by carbon catabolite repression (88). Instead, F. graminearum appears to directly recognize sucrose molecules, activating TRI expressions and initiating the trichothecene biosynthesis pathway (67).
In terms of nitrogen sources, guanidino-butyrate, arginine, and ornithine strongly induce DON biosynthesis, whereas ammonium, nitrate, leucine, and tyrosine exhibit inhibitory effects (89). The nitrogen metabolic regulator gene FgAREA is induced under nitrogen-limiting conditions, which promotes secondary nitrogen utilization and activates the expression of TRI, including TRI5, TRI6, and TRI10 (90). In contrast, FgNMR1, a co-repressor involved in nitrogen catabolite repression, inhibits FgAREA under nitrogen-sufficient conditions, thereby suppressing DON biosynthesis (91). However, the deletion of FgNMR1 alone does not significantly affect DON production (92).
Other chemical compounds can also influence DON biosynthesis. For example, H₂O₂ has been demonstrated to enhance DON and 15-ADON production by activating the TRI expression, particularly TRI4, TRI5, and TRI12 (93). In contrast, adding catalase to cultures could significantly reduce TRI expression and DON accumulation. This regulatory effect is associated with oxidative stress-responsive transcription factors, including FgAP1, FgATF1, and FgSKN7. The deletion of FgSKN7 significantly reduced DON biosynthesis and impaired H₂O₂-induced TRI expression (94). Interestingly, the deletion of FgAP1 increased the DON production and enhanced the TRI expression, suggesting that the loss of FgAP1 disrupts oxidative stress regulation and triggers abnormal TRI overexpression (95).
In addition, ferulic acid has been exhibited to suppress TRI expression and reduce DON biosynthesis through transcriptional regulation (96). Boutigny et al. (97) demonstrated that DON production is inversely correlated with the initial ferulic acid concentration in the medium, with higher concentrations exerting stronger inhibitory effects.
4 Advances in the detoxification and control of DON
DON is chemically stable and highly resistant to heat, acidic conditions, and long-term storage, making its elimination difficult through the conventional processing methods. Therefore, the development of efficient, safe, and cost-effective detoxification strategies deemed is critical for ensuring food and feed safety. The current methods for mitigating DON contamination fall into three main categories: physical, chemical, and biological approaches.
The physical methods aim to remove or inactivate DON through techniques such as sorting, adsorption, irradiation, or thermal processing. Chemical methods involve the use of reagents, such as alkalis, ozone, or oxidants,to alter the molecular structure of DON and reduce its toxicity. Biological methods rely on microorganisms, enzymes, or plant metabolic pathways to adsorb, degrade, or transform DON. Among these, biological strategies are particularly promising owing to their mild operational conditions, high specificity, environmental sustainability, and ability to preserve the nutritional quality.
4.1 Physical methods
4.1.1 Thermal processing
Thermal treatment is the most commonly applied physical approach for reducing DON contamination. In general, higher temperatures yield better detoxification efficiency. The common techniques include steaming, baking, frying, canning, and extrusion (7). For instance, superheated steam treatment at 185 °C for 6 min reduced the DON levels in contaminated wheat by 52% (98, 99). Frying at 169–243 °C decreased DON concentrations in wheat dough by 20–28%, whereas baking of bread led to 54% of 82% reduction (100). Despite these promising results, the mechanisms behind DON reduction during heating remain unclear. It remains unknown whether DON is fully degraded or simply adsorbed onto the food matrix. Moreover, the identity and toxicity of the resulting degradation products are not well characterized. Advantages—well-established technology with proven scalability; Limitations—the mechanisms of action and the toxicity of degradation products remain incompletely elucidated, and potential impacts on quality and nutritional attributes cannot be excluded.
4.1.2 Irradiation
Three primary irradiation techniques have been investigated in relation to DON degradation: gamma irradiation, electron beam irradiation, and ultraviolet (UV) irradiation. Khaneghah et al. (101) reported found that the efficiency of DON degradation by electron beam irradiation increased with higher doses, which was also influenced by the concentration of DON in the solution. Specifically, at doses of 1–10 kGy, higher solution concentrations resulted in greater degradation, whereas the detoxification rate of DON in the aqueous solution was 89.13% at 20 kGy (102). Irradiation exhibited greater effectiveness in aqueous environments, with little effect on DON in dry materials such as wheat and corn, limiting its applicability to solid commodities.
DON is also sensitive to UV light. Feizollahi et al. (103) demonstrated that UV irradiation significantly degraded DON, with enhanced efficacy detected under longer exposure times, shorter irradiation distances, and lower solution pHs. Shanakhat et al. (104) performed UV irradiation at 254 nm for 15, 30, 60, and 120 min on semolina to reduce the mycotoxin contamination. In fact, UV irradiation has been widely explored for degrading aflatoxins, albeit its application to DON remains limited. Moreover, the inconsistent performance, shallow penetration depth, and the potential to damage sensitive nutrients such as vitamins significantly constrain its practical utility in DON detoxification. Advantages—high degradation efficiency in aqueous systems; Limitations—poor penetration in solid matrices, narrow parameter windows, and unfavorable effects on sensitive nutrients.
4.1.3 Adsorption
A range of adsorbents is currently available in the market for DON removal, including activated carbon, inorganic aluminosilicates such as hydrated sodium calcium aluminosilicate (HSCAS), and organic materials such as glucomannan and yeast cell walls. Activated carbon can adsorb and remove 90.5% of DON and AFB1 (105). A newly developed composite adsorbent of HSCAS achieved an average DON adsorption rate of 90% (106). However, these adsorption method has several limitations. It often requires elevated temperatures or stringent conditions, and may non-selectively bind essential micronutrients in the food or feed. Furthermore, if DON is only adsorbed but not degraded, there is a risk of secondary contamination. Considering such concerns, the European Union does not permit the use of adsorbents for mycotoxin mitigation in animal feed. As such, adsorption is not considered the most reliable strategy for DON detoxification. Advantages—simple implementation and low cost; Limitations—lack of selectivity, concomitant adsorption of nutrients, risk of recontamination, and restricted regulatory acceptance.
4.2 Chemical methods
Chemical degradation methods involve the breakdown of functional groups on the DON molecule through exposure to strong acids, bases, or oxidants, with the aim of ultimately reducing or eliminating its toxicity. Common techniques employed for this include alkaline hydrolysis, ammoniation, and oxidation. DON is particularly sensitive to alkaline conditions and readily degrades in basic solutions. Treatment of DON-contaminated wheat with sodium carbonate (Na₂CO₃) and sodium bisulfite (NaHSO₃) yielded DON-reduction rates of 83.9 and 69.9%, respectively (7). These methods are most effective for high-moisture materials, such as silage and liquid fats, but less suitable for solid feeds such as oilseed cakes or bulk feed ingredients.
Ozone is a powerful oxidizing agent that can rapidly cleave double bonds in organic compounds. It exhibits excellent penetration ability and readily decomposes into oxygen without leaving any toxic residues. Moreover, ozone is easy to generate on-site, requires no storage or post-treatment, and has been widely recognized by researchers globally for its remarkable potential in practical applications. Among oxidants, ozone has received growing attention due to its strong oxidative potential. It targets the C9–C10 double bond in DON’s structure, breaking it down into simpler, less toxic compounds such as acids, aldehydes, and ketones (107, 108). As illustrated in Figure 6, ozone reacts directly with the molecular structure of DON (109). In recent years, ozone has emerged as a widely studied and applied technique for controlling fungal growth and mycotoxin contamination in diverse food products. It effectively kills harmful microbes and insects, reduces pesticide residues, and extends the shelf life of stored grains.
Young et al. (108) demonstrated that ozone treatment effectively degraded DON in wheat and corn, with significantly better outcomes observed in humid ozone environments relative to that in dry ozone. Additionally, Yang et al. (110), based on their investigation of the degradation efficiency of ozonated water at different concentrations on the trichothecene mycotoxins, proposed preliminary pathways for the formation of degradation products. Their findings consistently indicated that ozone was highly effective in degrading DON.
Obadi et al. (111) reported that ozone reacts with double bonds in carotenoid-like compounds, resulting in the reduction of the yellowness of flour and an increase in brightness. Ozone also reacts with the double bonds of unsaturated fatty acids, generating free radicals that can cause rancidity. In addition, ozone exposure was found to alter the gelatinization properties of starch. Bamyar et al. (112) further demonstrated that moderate ozone treatment enhanced the dough strength of wheat flour and reduced its extensibility; however, excessive ozone treatment led to a decrease in the ratio of unextractable polymeric protein to extractable polymeric protein (UPP/EP), indicating a potential degradation of the gluten quality.
Therefore, when applying ozone technology to degrade mycotoxins, it is essential to evaluate its impact on the nutritional value and the processing quality of grains. Presently, studies assessing the nutritional properties of major DON-contaminated commodities such as wheat and corn after ozone treatment remain limited. This lack of a comprehensive quality-evaluation system for ozone-treated raw materials directly restricts the broader application and commercialization of ozone detoxification technologies. Advantages—high efficiency with in situ generation, well-defined reactivity toward double bonds; Limitations—requires careful evaluation of impacts on dough rheology, lipid oxidation, color, and other quality parameters.
4.3 Biological methods
Despite the limited reports, recent studies both domestically and internation-ally, have demonstrated a significant progress in the biological degradation of DON. Microorganisms can secrete extracellular enzymes that catalyze various chemical reactions—such as de-epoxidation, deacetylation, hydroxylation, hydrolysis, and glycosylation—to convert DON into less toxic metabolites.
For example, Wang et al. (113) isolated a bacterial strain from soil that could use DON as its sole carbon source, which achieved a degradation efficiency of 63%. Liu et al. (114) screened and identified an effective DON-degrading Bacillus strain, which, when added to animal feed, reduced the DON levels by up to 50.69%.
Enzymatic degradation methods, particularly, offer high specificity and efficiency by exploiting the unique substrate affinity of enzymes to catalyze mycotoxin breakdown. These methods prevent toxin regeneration and are highly selective. Chen et al. (115) demonstrated that enzymes produced by Gordonia hydrophobica HAU421 could cleave the epoxide ring of trichothecenes, thereby significantly reducing the toxicity of DON.
Despite these advantages, the existing biological methods face several limitations. Their economic feasibility is low, and the inherent microbial activity fluctuates with the environmental conditions. The degradation process is typically slow, and it is challenging to apply these methods to solid matrices. Furthermore, the safety and composition of microbial metabolites are often difficult to evaluate. As a result, the presently known practical application of biological detoxification strategies for DON remains limited. Advantages—high specificity, mild conditions, and potential for selective biotransformation; Limitations—ladaptation to solid matrices and industrial-scale application remain challenging, and the safety of metabolic products requires systematic evaluation.
5 Conclusion
This review consolidates mechanistic insights into DON biosynthesis and its regulation, emphasizing the TRI cluster, transcriptional control, signaling cross-talk, and environmental modulation. While pathway enzymes and key regulators are increasingly well mapped, context-dependent TRI expression and matrix-specific detoxification efficacy remain major sources of variability.
Currently, chemical fungicides are widely being used to manage FHB during agricultural production. However, concerns regarding chemical residues and environmental contamination underscore the urgent need for eco-friendly control strategies. A deeper understanding of the biosynthetic and regulatory mechanisms governing DON production in F. graminearum provides a crucial foundation for developing more sustainable disease management approaches.
Each detoxification strategy presents unique strengths and limitations. The known physical methods are scalable but may leave toxic residues. Chemical approaches are effective but can damage product quality or pose safety risks. Biological methods offer specificity and sustainability but are constrained by process complexity and scalability. Therefore, the choice of detoxification method should consider not only efficacy but also safety, regulatory compliance, and compatibility with food/feed matrices.
6 Prospects
Future research should focus on leveraging gene editing technologies to enhance the endogenous resistance to DON and breeding new wheat cultivars with both FHB resistance and reduced toxin accumulation. In parallel, the hybrid methods, such as combining physical, chemical, and biological techniques, to maximize the detoxification efficiency. Innovations in enzyme engineering and microbial synthetic biology may yield more robust strains and catalytic tools. Moreover, regulatory frameworks must evolve to evaluate detoxification products comprehensively and guide the safe implementation of biological methods in the food industry.
These advancements of advancements in gene editing, enzyme engineering, and hybrid detoxification methods could offer promising solutions for mitigating FHB outbreaks and ensuring global food security.
Author contributions
MH: Investigation, Writing – original draft. YL: Writing – original draft, Formal analysis, Validation. HY: Formal analysis, Validation, Writing – original draft. XG: Funding acquisition, Writing – review & editing. CS: Funding acquisition, Writing – review & editing, Conceptualization, Data curation, Formal analysis, Investigation, Methodology, Project administration, Resources, Software, Supervision, Validation, Visualization, Writing – original draft.
Funding
The author(s) declare that financial support was received for the research and/or publication of this article. This work was supported by the National Natural Science Foundation of China (32260636), the Yunnan Province agricultural joint key project (202301BD070001-017), and the “Yunnan Revitalization Talent Support Program” in Yunnan Province.
Conflict of interest
The authors declare that the research was conducted in the absence of any commercial or financial relationships that could be construed as a potential conflict of interest.
Generative AI statement
The author(s) declare that no Gen AI was used in the creation of this manuscript.
Any alternative text (alt text) provided alongside figures in this article has been generated by Frontiers with the support of artificial intelligence and reasonable efforts have been made to ensure accuracy, including review by the authors wherever possible. If you identify any issues, please contact us.
Publisher’s note
All claims expressed in this article are solely those of the authors and do not necessarily represent those of their affiliated organizations, or those of the publisher, the editors and the reviewers. Any product that may be evaluated in this article, or claim that may be made by its manufacturer, is not guaranteed or endorsed by the publisher.
References
1. He, WJ, Yang, P, Huang, T, Liu, YF, Zhang, YW, Zhang, WM, et al. Detoxifying bacterial genes for deoxynivalenol epimerization confer durable resistance to Fusarium head blight in wheat. Plant Biotechnol J. (2024) 22:2395–409. doi: 10.1111/pbi.14353
2. Zhang, H, Zhang, B, He, H, Zhang, L, Hu, X, and Wu, C. Evaluation of wheat grain and processing quality under fusarium head blight control using strong oxidizing radicals. Foods. (2025) 14:1236. doi: 10.3390/foods14071236
3. Chen, L, Yang, J, Wang, H, Yang, X, Zhang, C, Zhao, Z, et al. NX toxins: new threat posed by Fusarium graminearum species complex. Trends Food Sci Technol. (2022) 119:179–91. doi: 10.1016/j.tifs.2021.11.027
4. Tian, Y, Zhang, D, Cai, P, Lin, H, Ying, H, Hu, Q-N, et al. Elimination of Fusarium mycotoxin deoxynivalenol (DON) via microbial and enzymatic strategies: current status and future perspectives. Trends Food Sci Technol. (2022) 124:96–107. doi: 10.1016/j.tifs.2022.04.002
5. Zha, A, Tu, R, Cui, Z, Qi, M, Liao, S, Wang, J, et al. Baicalin–zinc complex alleviates inflammatory responses and hormone profiles by microbiome in deoxynivalenol induced piglets. Front Nutr. (2021) 8:738281. doi: 10.3389/fnut.2021.738281
6. Guo, H, Ji, J, Wang, J s, and Sun, X. Deoxynivalenol: masked forms, fate during food processing, and potential biological remedies. Compr Rev Food Sci Food Saf. (2020) 19:895–926. doi: 10.1111/1541-4337.12545
7. Feizollahi, E, and Roopesh, M. Mechanisms of deoxynivalenol (DON) degradation during different treatments: a review. Crit Rev Food Sci Nutr. (2022) 62:5903–24. doi: 10.1080/10408398.2021.1895056
8. Eskola, M, Kos, G, Elliott, CT, Hajšlová, J, Mayar, S, and Krska, R. Worldwide contamination of food-crops with mycotoxins: validity of the widely cited ‘FAO estimate’of 25%. Crit Rev Food Sci Nutr. (2020) 60:2773–89. doi: 10.1080/10408398.2019.1658570
9. Gómez-Salazar, JA, Ruiz-Hernández, K, Martínez-Miranda, MM, and Castro-Ríos, K. Postharvest strategies for decontamination of aflatoxins in cereals. Food Rev Int. (2023) 39:3635–62. doi: 10.1080/87559129.2021.2013254
10. Hu, C, Chen, P, Zhou, X, Li, Y, Ma, K, Li, S, et al. Arms race between the host and pathogen associated with Fusarium head blight of wheat. Cells. (2022) 11:2275. doi: 10.3390/cells11152275
11. King, J, Dreisigacker, S, Reynolds, M, Bandyopadhyay, A, Braun, HJ, Crespo-Herrera, L, et al. Wheat genetic resources have avoided disease pandemics, improved food security, and reduced environmental footprints: a review of historical impacts and future opportunities. Glob Chang Biol. (2024) 30:e17440. doi: 10.1111/gcb.17440
12. Wang, H, Sun, S, Ge, W, Zhao, L, Hou, B, Wang, K, et al. Horizontal gene transfer of Fhb7 from fungus underlies Fusarium head blight resistance in wheat. Science. (2020) 368:eaba5435 2020. doi: 10.1126/science.aba5435
13. Xu, M, Wang, Q, Wang, G, Zhang, X, Liu, H, and Jiang, C. Combatting Fusarium head blight: advances in molecular interactions between Fusarium graminearum and wheat. Phytopathol Res. (2022) 4:37. doi: 10.1186/s42483-022-00142-0
14. Kaul, N, Kashyap, PL, Kumar, S, Singh, D, and Singh, GP. Genetic diversity and population structure of head blight disease causing fungus Fusarium graminearum in northern wheat belt of India. J Fungi. (2022) 8:820. doi: 10.3390/jof8080820
15. Pradhan, M. P. (2011). Combining Fusarium head blight resistance and barley yellow dwarf virus tolerance in spring wheat (Triticum aestivum L.) University of Manitoba (Canada).
16. Song, Y, Linderholm, HW, Wang, C, Tian, J, Huo, Z, Gao, P, et al. The influence of excess precipitation on winter wheat under climate change in China from 1961 to 2017. Sci Total Environ. (2019) 690:189–96. doi: 10.1016/j.scitotenv.2019.06.367
17. Alisaac, E, and Mahlein, A-K. Fusarium head blight on wheat: biology, modern detection and diagnosis and integrated disease management. Toxins. (2023) 15:192. doi: 10.3390/toxins15030192
18. Goswami, RS, and Kistler, HC. Heading for disaster: Fusarium graminearum on cereal crops. Mol Plant Pathol. (2004) 5:515–25. doi: 10.1111/j.1364-3703.2004.00252.x
19. Leplat, J, Friberg, H, Abid, M, and Steinberg, C. Survival of Fusarium graminearum, the causal agent of Fusarium head blight. A review. Agron Sustain Dev. (2013) 33:97–111. doi: 10.1007/s13593-012-0098-5
20. Chelós, J. Tolosa, Carrasco, Y. Rodríguez, Leal, M. J. Ruiz, and Donat, P. Vila (2021). Multi-mycotoxin occurrence in feed, metabolism and carry-over to animal-derived food products: a review.
21. Joshi, P, Sandhu, KS, Dhillon, GS, Chen, J, and Bohara, K. Detection and monitoring wheat diseases using unmanned aerial vehicles (UAVs). Comput Electron Agric. (2024) 224:109158. doi: 10.1016/j.compag.2024.109158
22. Mishra, S, Srivastava, S, Dewangan, J, Divakar, A, and Rath, SK. Global occurrence of deoxynivalenol in food commodities and exposure risk assessment in humans in the last decade: a survey. Crit Rev Food Sci Nutr. (2022) 60:1346–74.
24. Ganesan, AR, Mohan, K, Rajan, DK, Pillay, AA, Palanisami, T, Sathishkumar, P, et al. Distribution, toxicity, interactive effects, and detection of ochratoxin and deoxynivalenol in food: a review. Food Chem. (2022) 378:131978. doi: 10.1016/j.foodchem.2021.131978
25. Wu, L, and Wang, B. Evaluation on levels and conversion profiles of DON, 3-ADON, and 15-ADON during bread making process. Food Chem. (2015) 185:509–16. doi: 10.1016/j.foodchem.2015.03.082
26. Juan-García, A, Taroncher, M, Font, G, and Ruiz, M-J. Micronucleus induction and cell cycle alterations produced by deoxynivalenol and its acetylated derivatives in individual and combined exposure on HepG2 cells. Food Chem Toxicol. (2018) 118:719–25. doi: 10.1016/j.fct.2018.06.024
27. Sun, C, Mao, C, Zhou, Z, Xiao, J, Zhou, W, Du, J, et al. In vitro assessment of ozone-treated deoxynivalenol by measuring cytotoxicity and wheat quality. Toxins. (2024) 16:64. doi: 10.3390/toxins16020064
28. Ji, L, Li, Q, Wang, Y, Burgess, LW, Sun, M, Cao, K, et al. Monitoring of Fusarium species and trichothecene genotypes associated with Fusarium head blight on wheat in Hebei Province, China. Toxins. (2019) 11:243. doi: 10.3390/toxins11050243
29. Cui, L, Selvaraj, JN, Xing, F, Zhao, Y, Zhou, L, and Liu, Y. A minor survey of deoxynivalenol in Fusarium infected wheat from Yangtze–Huaihe river basin region in China. Food Control. (2013) 30:469–73. doi: 10.1016/j.foodcont.2012.08.011
30. Xu, M, Xu, Y, Xu, J, Xu, M, Yang, R, and Liu, X. Construction of a comprehensive meteorological risk index for wheat Fusarium head blight prediction based on more than a half-century of monitoring data. Plant Dis. (2025) 109:698–708. doi: 10.1094/PDIS-05-24-1095-RE
31. Qiu, J, Xu, J, and Shi, J. Fusarium toxins in Chinese wheat since the 1980s. Toxins. (2019) 11:248. doi: 10.3390/toxins11050248
32. Jung, J-Y, Kim, J-H, Baek, M, Cho, C, Cho, J, Kim, J, et al. Adapting to the projected epidemics of Fusarium head blight of wheat in Korea under climate change scenarios. Front Plant Sci. (2022) 13:1040752. doi: 10.3389/fpls.2022.1040752
33. Chen, C, Frank, K, Wang, T, and Wu, F. Global wheat trade and codex alimentarius guidelines for deoxynivalenol: a mycotoxin common in wheat. Glob Food Secur. (2021) 29:100538. doi: 10.1016/j.gfs.2021.100538
34. Li, S, Liu, N, Cai, D, Liu, C, Ye, J, Li, B, et al. A predictive model on deoxynivalenol in harvested wheat in China: revealing the impact of the environment and agronomic practicing. Food Chem. (2023) 405:134727
35. Gall, E, and Benkeblia, N. Mycoagroecology: Integrating fungi into agroecosystems. Boca Raton, FL, USA: CRC Press (2022).
36. Brewer, H. C. (2015). Functional evaluation of plant defence signalling against Fusarium graminearum and F. culmorum in Arabidopsis floral tissue. University of Exeter (United Kingdom).
37. Bergstrom, GC, and Nicholson, RL. The biology of corn anthracnose: knowledge to exploit for improved management. Plant Dis. (1999) 83:596–608. doi: 10.1094/PDIS.1999.83.7.596
39. Trail, F. For blighted waves of grain: Fusarium graminearum in the postgenomics era. Plant Physiol. (2009) 149:103–10. doi: 10.1104/pp.108.129684
40. Ngolong Ngea, GL, Yang, Q, Xu, M, Ianiri, G, Dhanasekaran, S, Zhang, X, et al. Revisiting the current and emerging concepts of postharvest fresh fruit and vegetable pathology for next-generation antifungal technologies. Compr Rev Food Sci Food Saf. (2024) 23:e13397. doi: 10.1111/1541-4337.13397
41. Manstretta, V, Morcia, C, Terzi, V, and Rossi, V. Germination of Fusarium graminearum ascospores and wheat infection are affected by dry periods and by temperature and humidity during dry periods. Phytopathology. (2016) 106:262–9. doi: 10.1094/PHYTO-05-15-0118-R
42. Beyer, M, Verreet, J-A, and Ragab, WS. Effect of relative humidity on germination of ascospores and macroconidia of Gibberella zeae and deoxynivalenol production. Int J Food Microbiol. (2005) 98:233–40. doi: 10.1016/j.ijfoodmicro.2004.07.005
44. Guenther, J. C. (2003). The colonization of wheat stems and subsequent perithecium development by Gibberella zeae (Anamorph Fusarium graminearum) Michigan State University.
45. Kheiri, A, Moosawi Jorf, SA, and Malihipour, A. Infection process and wheat response to Fusarium head blight caused by Fusarium graminearum. Eur J Plant Pathol. (2019) 153:489–502. doi: 10.1007/s10658-018-1576-7
46. Shay, R, Wiegand, AA, and Trail, F. Biofilm formation and structure in the filamentous fungus Fusarium graminearum, a plant pathogen. Microbiol Spect. (2022) 10:e00171–22. doi: 10.1128/spectrum.00171-22
47. Murray, TD. Diseases of small grain cereal crops: a colour handbook. Boca Raton, FL: CRC Press, Taylor & Francis Group (2013).
48. Manstretta, V, and Rossi, V. Effects of temperature and moisture on development of Fusarium graminearum perithecia in maize stalk residues. Appl Environ Microbiol. (2016) 82:184–91.
49. Vurro, M, Bonciani, B, and Vannacci, G. Emerging infectious diseases of crop plants in developing countries: impact on agriculture and socio-economic consequences. Food Secur. (2010) 2:113–32. doi: 10.1007/s12571-010-0062-7
50. Bigini, V, Sillo, F, Giulietti, S, Pontiggia, D, Giovannini, L, Balestrini, R, et al. Oligogalacturonide application increases resistance to Fusarium head blight in durum wheat. J Exp Bot. (2024) 75:3070–91. doi: 10.1093/jxb/erae050
51. Park, J, Jeon, H, Hwangbo, A, Min, K, Ko, J, Kim, J-E, et al. A winged-helix DNA-binding protein is essential for self-fertility during sexual development of the homothallic fungus Fusarium graminearum. mSphere. (2024) 9:e00511:–24. doi: 10.1128/msphere.00511-24
52. Huang, P, Yu, X, Liu, H, Ding, M, Wang, Z, Xu, J-R, et al. Regulation of TRI5 expression and deoxynivalenol biosynthesis by a long non-coding RNA in Fusarium graminearum. Nat Commun. (2024) 15:1216. doi: 10.1038/s41467-024-45502-w
53. Meek, IB, Peplow, AW, Ake, C Jr, Phillips, T, and Beremand, MN. Tri1 encodes the cytochrome P450 monooxygenase for C-8 hydroxylation during trichothecene biosynthesis in Fusarium sporotrichioides and resides upstream of another new tri gene. Appl Environ Microbiol. (2003) 69:1607–13. doi: 10.1128/AEM.69.3.1607-1613.2003
54. Koizumi, Y, Nakajima, Y, Tanaka, Y, Matsui, K, Sakabe, M, Maeda, K, et al. A role in 15-deacetylcalonectrin acetylation in the non-enzymatic cyclization of an earlier bicyclic intermediate in Fusarium trichothecene biosynthesis. Int J Mol Sci. (2024) 25:4288. doi: 10.3390/ijms25084288
55. Tag, AG, Garifullina, GF, Peplow, AW, Ake, C Jr, Phillips, T, Hohn, TM, et al. A novel regulatory gene, Tri10, controls trichothecene toxin production and gene expression. Appl Environ Microbiol. (2001) 67:5294–302. doi: 10.1128/AEM.67.11.5294-5302.2001
56. Li, C, and Liu, C. Enantioselective effect of chiral fungicide prothioconazole on Fusarium graminearum: fungicidal activity and DON biosynthesis. Environ Pollut. (2022) 307:119553. doi: 10.1016/j.envpol.2022.119553
57. Wang, Y, Li, B, Shang, H, Ma, R, Zhu, Y, Yang, X, et al. Effective inhibition of fungal growth, deoxynivalenol biosynthesis and pathogenicity in cereal pathogen Fusarium spp. by cold atmospheric plasma. Chem Eng J. (2022) 437:135307
58. Dhakal, U. (2023). Population genomics analysis of US Fusarium graminearum isolates and identification of the genetic basis of fitness traits. Kansas State University.
59. Ismail, Y. Molecular interactions of arbuscular mycorrhizal fungi with mycotoxin-producing fungi and their role in plant defense responses. Canada: Universite de Montreal (2011).
60. Cardoza, RE, McCormick, SP, Lindo, L, Kim, H-S, Olivera, ER, Nelson, DR, et al. A cytochrome P450 monooxygenase gene required for biosynthesis of the trichothecene toxin harzianum a in Trichoderma. Appl Microbiol Biotechnol. (2019) 103:8087–103. doi: 10.1007/s00253-019-10047-2
61. Shin, JY, Bui, DC, Lee, Y, Nam, H, Jung, S, Fang, M, et al. Functional characterization of cytochrome P450 monooxygenases in the cereal head blight fungus Fusarium graminearum. Environ Microbiol. (2017) 19:2053–67. doi: 10.1111/1462-2920.13730
62. Gao, J, Liu, D, Nguyen, C, McCormick, SP, Proctor, RH, Luo, S, et al. Biosynthesis of the central tricyclic skeleton of trichothecene mycotoxins. J Am Chem Soc. (2025) 147:10331–8. doi: 10.1021/jacs.4c16973
63. Khatibi, PA, Newmister, SA, Rayment, I, McCormick, SP, Alexander, NJ, and Schmale, DG III. Bioprospecting for trichothecene 3-O-acetyltransferases in the fungal genus Fusarium yields functional enzymes with different abilities to modify the mycotoxin deoxynivalenol. Appl Environ Microbiol. (2011) 77:1162–70. doi: 10.1128/AEM.01738-10
64. Okubara, P, Blechl, A, McCormick, S, Alexander, N, Dill-Macky, R, and Hohn, T. Engineering deoxynivalenol metabolism in wheat through the expression of a fungal trichothecene acetyltransferase gene. Theor Appl Genet. (2002) 106:74–83. doi: 10.1007/s00122-002-1066-2
65. Wang, Y, Li, J, Wang, X, Wu, W, Nepovimova, E, Wu, Q, et al. Deoxynivalenol and its modified forms: key enzymes, inter-individual and interspecies differences in metabolism. Drug Metab Rev. (2022) 54:331–42. doi: 10.1080/03602532.2022.2088786
66. Alexander, NJ, McCormick, SP, Waalwijk, C, van der Lee, T, and Proctor, RH. The genetic basis for 3-ADON and 15-ADON trichothecene chemotypes in Fusarium. Fungal Genet Biol. (2011) 48:485–95. doi: 10.1016/j.fgb.2011.01.003
67. Chen, Y, Kistler, HC, and Ma, Z. Fusarium graminearum trichothecene mycotoxins: biosynthesis, regulation, and management. Annu Rev Phytopathol. (2019) 57:15–39. doi: 10.1146/annurev-phyto-082718-100318
68. Xu, C, Wang, J, Zhang, Y, Luo, Y, Zhao, Y, Chen, Y, et al. The transcription factor FgStuA regulates virulence and mycotoxin biosynthesis via recruiting the SAGA complex in Fusarium graminearum. New Phytol. (2023) 240:2455–67. doi: 10.1111/nph.19297
69. Jiang, C, Zhang, C, Wu, C, Sun, P, Hou, R, Liu, H, et al. TRI6 and TRI10 play different roles in the regulation of deoxynivalenol (DON) production by cAMP signalling in Fusarium graminearum. Environ Microbiol. (2016) 18:3689–701. doi: 10.1111/1462-2920.13279
70. Kimura, M, Tokai, T, Takahashi-Ando, N, Ohsato, S, and Fujimura, M. Molecular and genetic studies of Fusarium trichothecene biosynthesis: pathways, genes, and evolution. Biosci Biotechnol Biochem. (2007) 71:2105–23. doi: 10.1271/bbb.70183
71. Deng, Y, You, L, Wang, X, Wu, W, Kuca, K, Wu, Q, et al. Deoxynivalenol: emerging toxic mechanisms and control strategies, current and future perspectives. J Agric Food Chem. (2023) 71:10901–15. doi: 10.1021/acs.jafc.3c02020
72. Wang, Z, Wu, Q, Kuča, K, Dohnal, V, and Tian, Z. Deoxynivalenol: signaling pathways and human exposure risk assessment—an update. Arch Toxicol. (2014) 88:1915–28. doi: 10.1007/s00204-014-1354-z
73. Yun, Y, Liu, Z, Yin, Y, Jiang, J, Chen, Y, Xu, JR, et al. Functional analysis of the Fusarium graminearum phosphatome. New Phytol. (2015) 207:119–34. doi: 10.1111/nph.13374
74. Duan, K, Qin, S, Cui, F, Zhao, L, Huang, Y, Xu, J-R, et al. MeJA inhibits fungal growth and DON toxin production by interfering with the cAMP-PKA signaling pathway in the wheat scab fungus Fusarium graminearum. MBio. (2025) 16:e03151:–24. doi: 10.1128/mbio.03151-24
75. Hou, S, Ma, J, Cheng, Y, Wang, H, Sun, J, and Yan, Y. The toxicity mechanisms of DON to humans and animals and potential biological treatment strategies. Crit Rev Food Sci Nutr. (2023) 63:790–812. doi: 10.1080/10408398.2021.1954598
76. Hu, S, Zhou, X, Gu, X, Cao, S, Wang, C, and Xu, J-R. The cAMP-PKA pathway regulates growth, sexual and asexual differentiation, and pathogenesis in Fusarium graminearum. Mol Plant-Microbe Interact. (2014) 27:557–66. doi: 10.1094/MPMI-10-13-0306-R
77. Bian, C, Duan, Y, Xiu, Q, Wang, J, Tao, X, and Zhou, M. Mechanism of validamycin a inhibiting DON biosynthesis and synergizing with DMI fungicides against Fusarium graminearum. Mol Plant Pathol. (2021) 22:769–85. doi: 10.1111/mpp.13060
78. Yu, F, Gu, Q, Yun, Y, Yin, Y, Xu, JR, Shim, WB, et al. The TOR signaling pathway regulates vegetative development and virulence in Fusarium graminearum. New Phytol. (2014) 203:219–32. doi: 10.1111/nph.12776
79. Gao, X, Mu, P, Wen, J, Sun, Y, Chen, Q, and Deng, Y. Detoxification of trichothecene mycotoxins by a novel bacterium, Eggerthella sp. DII-9. Food Chem Toxicol. (2018) 112:310–9. doi: 10.1016/j.fct.2017.12.066
80. Ramirez, ML, Chulze, S, and Magan, N. Temperature and water activity effects on growth and temporal deoxynivalenol production by two Argentinean strains of Fusarium graminearum on irradiated wheat grain. Int J Food Microbiol. (2006) 106:291–6. doi: 10.1016/j.ijfoodmicro.2005.09.004
81. Moraes, W. B. (2021). Sampling for Fusarium head blight (FHB) index estimation and quantifying the effects of environmental conditions on FHB development, mycotoxin contamination of grain, and their management in wheat. The Ohio State University.
82. Ding, Y, Gardiner, DM, Xiao, D, and Kazan, K. Regulators of nitric oxide signaling triggered by host perception in a plant pathogen. Proc Natl Acad Sci. (2020) 117:11147–57. doi: 10.1073/pnas.1918977117
83. Merhej, J, Boutigny, A-L, Pinson-Gadais, L, Richard-Forget, F, and Barreau, C. Acidic pH as a determinant of TRI gene expression and trichothecene B biosynthesis in Fusarium graminearum. Food Addit Contam. (2010) 27:710–7. doi: 10.1080/19440040903514531
84. Nakajima, Y, Akasaka, M, Shiobara, T, Kitou, Y, Maeda, K, Kanamaru, K, et al. Impact of nitrogen metabolism-associated culture pH changes on regulation of Fusarium trichothecene biosynthesis: revision of roles of Polyamine agmatine and transcription factor AreA. Curr Genet. (2020) 66:1179–90. doi: 10.1007/s00294-020-01102-x
85. Merhej, J, Richard-Forget, F, and Barreau, C. The pH regulatory factor Pac1 regulates tri gene expression and trichothecene production in Fusarium graminearum. Fungal Genet Biol. (2011) 48:275–84. doi: 10.1016/j.fgb.2010.11.008
86. Jiao, F, Kawakami, A, and Nakajima, T. Effects of different carbon sources on trichothecene production and tri gene expression by Fusarium graminearum in liquid culture. FEMS Microbiol Lett. (2008) 285:212–9. doi: 10.1111/j.1574-6968.2008.01235.x
87. Amarasinghe, CC, and Fernando, WD. Comparative analysis of deoxynivalenol biosynthesis related gene expression among different chemotypes of Fusarium graminearum in spring wheat. Front Microbiol. (2016) 7:1229. doi: 10.3389/fmicb.2016.01229
88. Wang, C, Li, P, Cong, W, Ma, N, Zhou, M, and Hou, Y. The transcription factor FgCreA modulates ergosterol biosynthesis and sensitivity to DMI fungicides by regulating transcription of FgCyp51A and FgErg6A in Fusarium graminearum. Int J Biol Macromol. (2025) 284:137903. doi: 10.1016/j.ijbiomac.2024.137903
89. Gardiner, DM, Kazan, K, Praud, S, Torney, FJ, Rusu, A, and Manners, JM. Early activation of wheat polyamine biosynthesis during Fusarium head blight implicates putrescine as an inducer of trichothecene mycotoxin production. BMC Plant Biol. (2010) 10:289. doi: 10.1186/1471-2229-10-289
90. Hou, R, Jiang, C, Zheng, Q, Wang, C, and Xu, JR. The AreA transcription factor mediates the regulation of deoxynivalenol (DON) synthesis by ammonium and cyclic adenosine monophosphate (cAMP) signalling in Fusarium graminearum. Mol Plant Pathol. (2015) 16:987–99. doi: 10.1111/mpp.12254
91. Ma, T, Zhang, L, Wang, M, Li, Y, Jian, Y, Wu, L, et al. Plant defense compound triggers mycotoxin synthesis by regulating H2B ub1 and H3K4 me2/3 deposition. New Phytol. (2021) 232:2106–23. doi: 10.1111/nph.17718
92. Nasmith, CG, Walkowiak, S, Wang, L, Leung, WW, Gong, Y, Johnston, A, et al. Tri6 is a global transcription regulator in the phytopathogen Fusarium graminearum. PLoS Pathog. (2011) 7:e1002266. doi: 10.1371/journal.ppat.1002266
93. Ponts, N, Pinson-Gadais, L, Barreau, C, Richard-Forget, F, and Ouellet, T. Exogenous H2O2 and catalase treatments interfere with tri genes expression in liquid cultures of Fusarium graminearum. FEBS Lett. (2007) 581:443–7. doi: 10.1016/j.febslet.2007.01.003
94. Jiang, C, Zhang, S, Zhang, Q, Tao, Y, Wang, C, and Xu, JR. FgSKN 7 and FgATF 1 have overlapping functions in ascosporogenesis, pathogenesis and stress responses in Fusarium graminearum. Environ Microbiol. (2015) 17:1245–60. doi: 10.1111/1462-2920.12561
95. Montibus, M, Ducos, C, Bonnin-Verdal, M-N, Bormann, J, Ponts, N, Richard-Forget, F, et al. The bZIP transcription factor Fgap1 mediates oxidative stress response and trichothecene biosynthesis but not virulence in Fusarium graminearum. PLoS One. (2013) 8:e83377. doi: 10.1371/journal.pone.0083377
96. Oufensou, S, Balmas, V, Azara, E, Fabbri, D, Dettori, MA, Schüller, C, et al. Naturally occurring phenols modulate vegetative growth and deoxynivalenol biosynthesis in Fusarium graminearum. ACS Omega. (2020) 5:29407–15. doi: 10.1021/acsomega.0c04260
97. Boutigny, A-L, Barreau, C, Atanasova-Penichon, V, Verdal-Bonnin, M-N, Pinson-Gadais, L, and Richard-Forget, F. Ferulic acid, an efficient inhibitor of type B trichothecene biosynthesis and tri gene expression in Fusarium liquid cultures. Mycol Res. (2009) 113:746–53. doi: 10.1016/j.mycres.2009.02.010
98. Deng, L-Z, Sutar, PP, Mujumdar, AS, Tao, Y, Pan, Z, Liu, Y-H, et al. Thermal decontamination technologies for microorganisms and mycotoxins in low-moisture foods. Annu Rev Food Sci Technol. (2021) 12:287–305. doi: 10.1146/annurev-food-062220-112934
99. Pronyk, C, Cenkowski, S, and Abramson, D. Superheated steam reduction of deoxynivalenol in naturally contaminated wheat kernels. Food Control. (2006) 17:789–96. doi: 10.1016/j.foodcont.2005.05.004
100. Vidal, A, Sanchis, V, Ramos, AJ, and Marín, S. Thermal stability and kinetics of degradation of deoxynivalenol, deoxynivalenol conjugates and ochratoxin a during baking of wheat bakery products. Food Chem. (2015) 178:276–86. doi: 10.1016/j.foodchem.2015.01.098
101. Khaneghah, AM, Moosavi, MH, Oliveira, CA, Vanin, F, and Sant'Ana, AS. Electron beam irradiation to reduce the mycotoxin and microbial contaminations of cereal-based products: an overview. Food Chem Toxicol. (2020) 143:111557. doi: 10.1016/j.fct.2020.111557
102. Li, M, He, S, Yang, S, Peng, N, Shen, H, Liu, X, et al. Deoxynivalenol removal and quality evaluation of foxtail millet under electron beam irradiation. Food Control. (2025) 174:111245. doi: 10.1016/j.foodcont.2025.111245
103. Feizollahi, E, Arshad, M, Yadav, B, Ullah, A, and Roopesh, M. Degradation of deoxynivalenol by atmospheric-pressure cold plasma and sequential treatments with heat and UV light. Food Eng Rev. (2021) 13:696–705. doi: 10.1007/s12393-020-09241-0
104. Shanakhat, H, Sorrentino, A, Raiola, A, Reverberi, M, Salustri, M, Masi, P, et al. Technological properties of durum wheat semolina treated by heating and UV irradiation for reduction of mycotoxin content. J Food Process Eng. (2019) 42:e13006. doi: 10.1111/jfpe.13006
105. Jiang, M, Ji, J, Zhang, Y, and Sun, S. Removal of aflatoxins in peanut oils by activated carbon functionalized with sodium dodecyl sulfonate. Food Control. (2023) 153:109935. doi: 10.1016/j.foodcont.2023.109935
106. Liu, M, Zhao, L, Gong, G, Zhang, L, Shi, L, Dai, J, et al. Invited review: remediation strategies for mycotoxin control in feed. J Anim Sci Biotechnol. (2022) 13:19. doi: 10.1186/s40104-021-00661-4
107. Tu, Y, Liu, S, Cai, P, and Shan, T. Global distribution, toxicity to humans and animals, biodegradation, and nutritional mitigation of deoxynivalenol: a review. Compr Rev Food Sci Food Saf. (2023) 22:3951–83. doi: 10.1111/1541-4337.13203
108. Young, JC, Zhu, H, and Zhou, T. Degradation of trichothecene mycotoxins by aqueous ozone. Food Chem Toxicol. (2006) 44:417–24. doi: 10.1016/j.fct.2005.08.015
109. Sun, X, Ji, J, Gao, Y, Zhang, Y, Zhao, G, and Sun, C. Fate of deoxynivalenol and degradation products degraded by aqueous ozone in contaminated wheat. Food Res Int. (2020) 137:109357. doi: 10.1016/j.foodres.2020.109357
110. Yang, Y, Xu, Y, Wu, S, Qiu, T, Blaženović, I, Sun, J, et al. Evaluation of the toxicity and chemical alterations of deoxynivalenol degradation products under ozone treatment. Food Control. (2021) 124:107937
111. Obadi, M, Zhu, KX, Peng, W, Sulieman, AA, Mahdi, AA, Mohammed, K, et al. Shelf life characteristics of bread produced from ozonated wheat flour. J Texture Stud. (2018) 49:492–502. doi: 10.1111/jtxs.12309
112. Bamyar, E, Peighambardoust, SH, and Ghaziani, MA. Bridging agriculture and food: aqueous ozone treatment optimizes wheat flour and dough rheology to enhance bread quality in Iranian cultivars. J Agric Food Res. (2025) 2025:102036
113. Wang, Y, Hu, J, Dai, Y, Wang, Y, Shi, J, Wang, G, et al. Design and characterization of an artificial two-strain bacterial consortium for the efficient biodegradation of deoxynivalenol. Biol Control. (2023) 179:105172. doi: 10.1016/j.biocontrol.2023.105172
114. Liu, J, Li, P, Li, X, Xie, Y, Mwabulili, F, Sun, S, et al. Expression, characterization, and application of an aldo-keto reductase mined from Bacillus velezensis Vel-HNGD-F2 for deoxynivalenol biodegradation. Food Chem Toxicol. (2025) 196:115159. doi: 10.1016/j.fct.2024.115159
Keywords: Fusarium head blight, deoxynivalenol (DON), TRI gene cluster, biosynthesis, regulation, detoxification
Citation: He M, Lei Y, Yan H, Sun C and Gu X (2025) Recent advances in the biosynthetic mechanisms, regulation, and detoxification strategies of deoxynivalenol in Fusarium graminearum. Front. Nutr. 12:1677196. doi: 10.3389/fnut.2025.1677196
Edited by:
Bin Wang, Shaoguan University, ChinaReviewed by:
Xiao Li Shen, Zunyi Medical University, ChinaYulou Qiu, China Jiliang University, China
Copyright © 2025 He, Lei, Yan, Sun and Gu. This is an open-access article distributed under the terms of the Creative Commons Attribution License (CC BY). The use, distribution or reproduction in other forums is permitted, provided the original author(s) and the copyright owner(s) are credited and that the original publication in this journal is cited, in accordance with accepted academic practice. No use, distribution or reproduction is permitted which does not comply with these terms.
*Correspondence: Chao Sun, amFja3NzdW5jQDE2My5jb20=; Xiaolong Gu, eHVld3UyNDU4OEAxMjYuY29t