ORIGINAL RESEARCH article
Front. Nutr.
Sec. Nutritional Epidemiology
Associations between Dietary Patterns and Sarcopenia in aging Populations: A Community Study from Eastern China's Huzhou City
Provisionally accepted- 1Huzhou Center for Disease Control and Prevention, Huzhou, China
- 2Huzhou center for disease control and prevention, Huzhou, China
- 3Changxing Country Center for Disease Control and Prevention, Huzhou, Zhejiang Province, China, Changxing, China
- 4Deqing Country Center for Disease Control and Prevention, Huzhou, Zhejiang Province, China, Deqin, China
- 5Anji Country Center for Disease Control and Prevention, Huzhou, Zhejiang Province, China, Anji, China
Select one of your emails
You have multiple emails registered with Frontiers:
Notify me on publication
Please enter your email address:
If you already have an account, please login
You don't have a Frontiers account ? You can register here
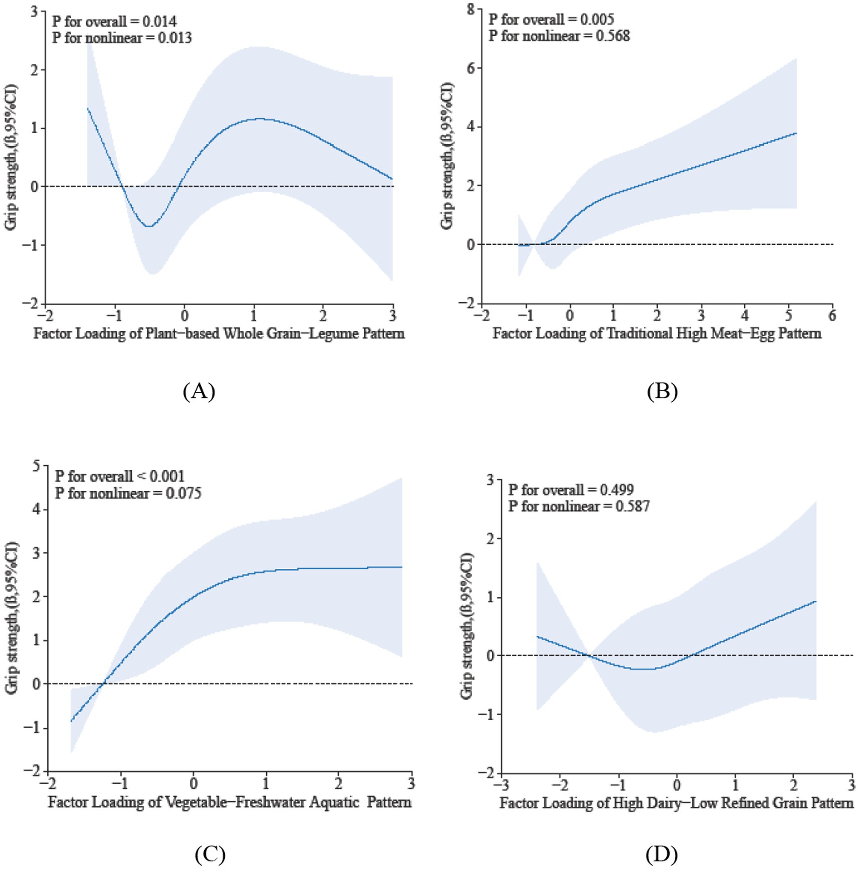
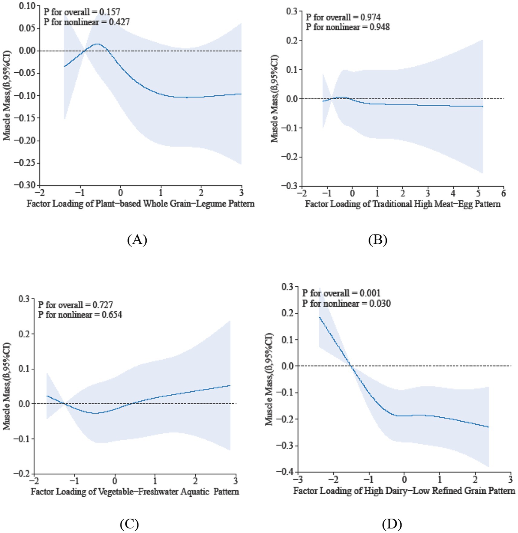
Background As the global population ages, sarcopenia has become a significant health issue. Although diet is a key factor, evidence linking specific dietary patterns to sarcopenia risk in older adults is inconsistent, especially in unique regional diets like China's. The study aimed to identify main dietary patterns and explore their associations, including possible dose-response relationships, with sarcopenia risk among older adults in Huzhou, China. Methods In 2024, a convenience sample study in Huzhou collected fasting blood samples and administered food frequency questionnaires (FFQs). Principal component analysis (PCA) identified dietary patterns, which were divided into tertiles. Logistic regression (LR) and restricted cubic spline(RCS) models analyzed the link between these patterns and sarcopenia. Results Our study involving 1,030 participants aged 60 and above, sarcopenia prevalence was found to be 21.2%. PCA identified four distinct dietary patterns: Pattern 1 (plant-based whole grain-legume), Pattern 2 (traditional high meat-egg), Pattern 3 (vegetable-freshwater aquatic), and Pattern 4 (high dairy-low refined grain). Adjusted LR analysis demonstrated that greater adherence to Dietary Patterns 2 (T3 vs T1: adjusted odds ratio [aOR] = 0.63, 95% confidence interval [CI]: 0.40–0.98, p < 0.05) and 3 (T3 vs T1: aOR = 0.48, 95% CI: 0.29–0.78, p < 0.01) was inversely associated with the occurrence of sarcopenia. Conversely, moderate adherence to Dietary Pattern 4 (T2 vs T1: aOR = 1.73, 95% CI:1.10–2.72, p < 0.05) showed a positive association with sarcopenia. No statistically significant association was identified for Dietary Pattern 1. RCS analysis revealed linear dose–response relationships for Dietary Pattern 3, which correlated with a decreased risk of sarcopenia, and for Dietary Pattern 4, which correlated with an increased risk (both P for overall association < 0.05; P for non-linearity > 0.05). Additionally, significant linear or non-linear associations were observed between Dietary Patterns 2–4 and sarcopenia diagnostic indicators, including physical performance, muscle mass, and grip strength. Conclusions Dietary Patterns 2 and 3 were negatively associated with sarcopenia risk, suggesting potential benefits of these dietary habits. In contrast, moderate adherence to Dietary Pattern 4 was positively associated with risk. Future interventions should consider personalized dietary thresholds to optimize muscle health in aging populations.
Keywords: Sarcopenia, Dietary patterns, Aging populations, Principal Component Analysis, Restricted cubic spline plots
Received: 31 Jul 2025; Accepted: 10 Nov 2025.
Copyright: © 2025 Zhang, Yu, Huang, Shen, Zhu, Yun, Ding, Chen, Shi and Wang. This is an open-access article distributed under the terms of the Creative Commons Attribution License (CC BY). The use, distribution or reproduction in other forums is permitted, provided the original author(s) or licensor are credited and that the original publication in this journal is cited, in accordance with accepted academic practice. No use, distribution or reproduction is permitted which does not comply with these terms.
* Correspondence: Meihua Yu, 614094266@qq.com
Disclaimer: All claims expressed in this article are solely those of the authors and do not necessarily represent those of their affiliated organizations, or those of the publisher, the editors and the reviewers. Any product that may be evaluated in this article or claim that may be made by its manufacturer is not guaranteed or endorsed by the publisher.
