SYSTEMATIC REVIEW article
Front. Nutr.
Sec. Nutrition and Microbes
An Umbrella Meta-Analysis of Microbial Therapy on Hepatic Steatosis, Fibrosis and Liver Stiffness in Metabolic Dysfunction-Associated Steatotic Liver Disease
Provisionally accepted- 1Southeast University, Nanjing, China
- 2Xizang Minzu University, Xianyang, China
Select one of your emails
You have multiple emails registered with Frontiers:
Notify me on publication
Please enter your email address:
If you already have an account, please login
You don't have a Frontiers account ? You can register here
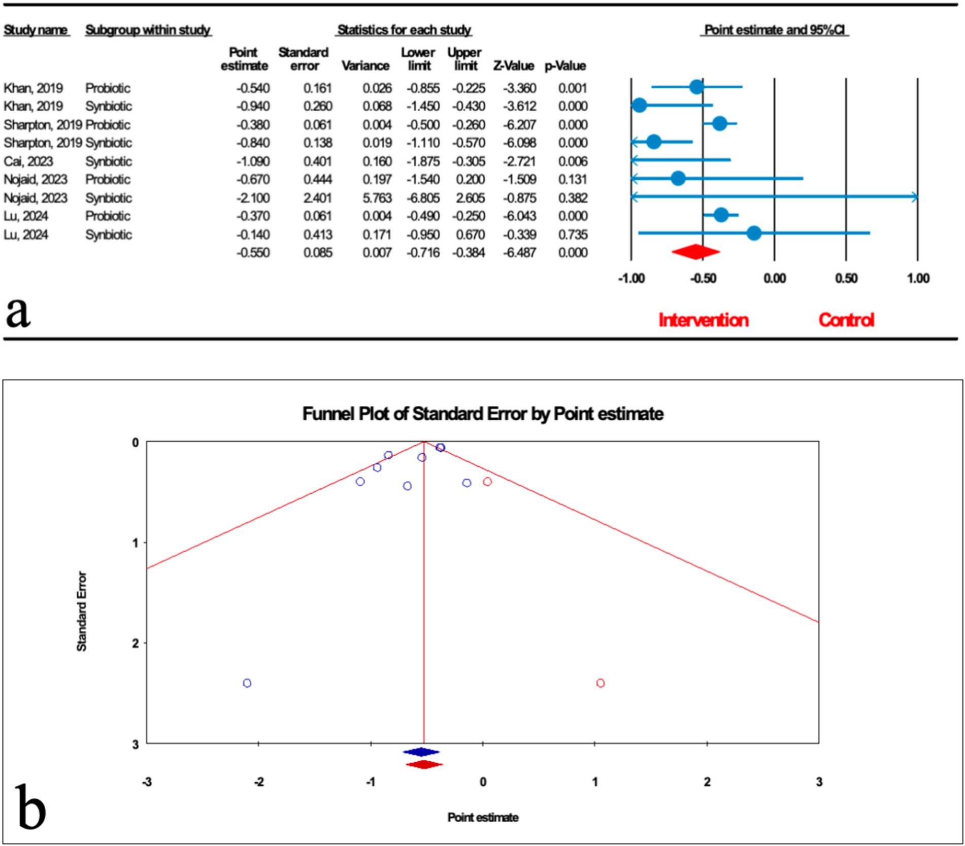
Background Metabolic dysfunction-associated steatotic liver disease is considered the leading cause of chronic liver disease worldwide. By now, no confirmed medication is accessible for the treatment of MASLD. Previous studies showed the positive effects of microbial therapy, such as probiotics, prebiotics and synbiotics. The study aims to summarize the results of a meta-analysis of randomized controlled trials and evaluate the impact of microbial therapy (probiotics, prebiotics, and synbiotics) on liver radioactive indicators in patients with MASLD, and hopes to bring certain benefits to the adjuvant treatment of MASLD populations. Methods A thorough search of the PubMed, Scopus, Web of Science, Embase, and Cochrane Library, from inception up to 4 May 2025, to find meta-analyses on randomized control trials reporting the effects of microbial therapy on patients with MASLD. Meta-analyses surveying the impact of microbial therapy on the degree of liver fat infiltration (DFI), hepatic steatosis (HS), hepatic fibrosis (HF), and liver steatosis measurement (LSM) in the MASLD patients were included in our umbrella review. The final effect size (ES) was estimated, and sensitivity and subgroup analyses were performed to explore heterogeneity. Results A total of 14 meta-analysis studies were included. The findings demonstrated that microbial therapy could significantly improve hepatic steatosis (measured by ultrasound grading) (HS; OR: 2.612; 95% CI: 1.674, 4.075; P < 0.001), hepatic fibrosis (HF; ES: -0.274; 95%CI: -0.427, -0.120; P < 0.001) , and liver stiffness measurement (LSM; ES: −0.550; 95%CI, −0.716, −0.384; P < 0.001) in patients with MASLD. Conclusion The present study suggests that microbial therapies seem to be a promising therapeutic approach to the improvement of hepatic steatosis, liver fibrosis and liver stiffness in patients with MASLD.
Keywords: MASLD, probiotic, prebiotic, Synbiotic, Umbrella review
Received: 16 Aug 2025; Accepted: 07 Nov 2025.
Copyright: © 2025 Kurban, Chen, Jin, Xia, Wang and Sun. This is an open-access article distributed under the terms of the Creative Commons Attribution License (CC BY). The use, distribution or reproduction in other forums is permitted, provided the original author(s) or licensor are credited and that the original publication in this journal is cited, in accordance with accepted academic practice. No use, distribution or reproduction is permitted which does not comply with these terms.
* Correspondence: Shaokang Wang, shaokangwang@seu.edu.cn
Disclaimer: All claims expressed in this article are solely those of the authors and do not necessarily represent those of their affiliated organizations, or those of the publisher, the editors and the reviewers. Any product that may be evaluated in this article or claim that may be made by its manufacturer is not guaranteed or endorsed by the publisher.
