ORIGINAL RESEARCH article
Front. Nutr.
Sec. Food Chemistry
This article is part of the Research TopicKombucha (tea and analogues): Fermentation, Composition and Health EffectsView all articles
Reconstitution of Dominant Kombucha Strains to Enhance Functional Properties and Product Quality
Provisionally accepted- 1Wuyi University, Wuyishan, China
- 2Universiti Sains Malaysia, Minden Heights, Malaysia
Select one of your emails
You have multiple emails registered with Frontiers:
Notify me on publication
Please enter your email address:
If you already have an account, please login
You don't have a Frontiers account ? You can register here
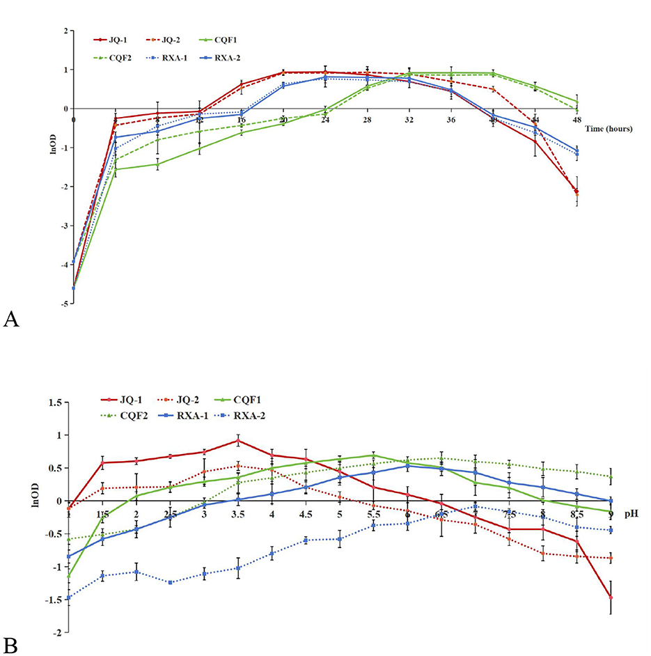
Based on previous research, yeasts, acetic acid bacteria, and lactic acid bacteria dominate the fermentation of kombucha.Building on this finding,In this study, six dominant strains were identified, namely Saccharomyces cerevisiae (JQ-1), Pichia manshurice (JQ-2), Acetobacter papayae (CQF1), Acetobacter tropicalis (CQF2), Lactobacillus plantarum (RXA-1), and Lactobacillus fermentum (RXA-2)—were isolated and reconstituted into three synthetic consortia to evaluate fermentation performance. Results showed significant increases in phenolic content, antioxidant activity, and organic acid accumulation, alongside reductions in free amino acids and caffeine. Consortium B(JQ-1 + JQ-2 + CQF1 + CQF2)achieved the best sensory acceptability due to its balanced acidity and flavor. Safety assessment confirmed the absence of pathogenic microorganisms. These findings highlight that rationally designed microbial consortia can improve the functional quality, sensory properties, and safety of kombucha, supporting its standardized industrial production.
Keywords: Kombucha, dominant strains, synthetic consortia, Fermentation, sensory quality
Received: 18 Aug 2025; Accepted: 03 Nov 2025.
Copyright: © 2025 Ting, Li, Rong, Ting, Ming, Cheng and Li Fan. This is an open-access article distributed under the terms of the Creative Commons Attribution License (CC BY). The use, distribution or reproduction in other forums is permitted, provided the original author(s) or licensor are credited and that the original publication in this journal is cited, in accordance with accepted academic practice. No use, distribution or reproduction is permitted which does not comply with these terms.
* Correspondence:
Lai-Hoong Cheng, lhcheng@usm.my
Li Fan Li Fan, 278701912@qq.com
Disclaimer: All claims expressed in this article are solely those of the authors and do not necessarily represent those of their affiliated organizations, or those of the publisher, the editors and the reviewers. Any product that may be evaluated in this article or claim that may be made by its manufacturer is not guaranteed or endorsed by the publisher.
