ORIGINAL RESEARCH article
Front. Nutr.
Sec. Clinical Nutrition
Serum Creatinine-to-cystatin C Ratio and 1-year mortality risk in advanced breast cancer patients: a multicenter retrospective cohort study
Provisionally accepted- 1Affiliated Hospital of Guangdong Medical University, Zhanjiang, China
- 2Central Hospital of Guangdong Nongken, Zhanjiang, China
Select one of your emails
You have multiple emails registered with Frontiers:
Notify me on publication
Please enter your email address:
If you already have an account, please login
You don't have a Frontiers account ? You can register here
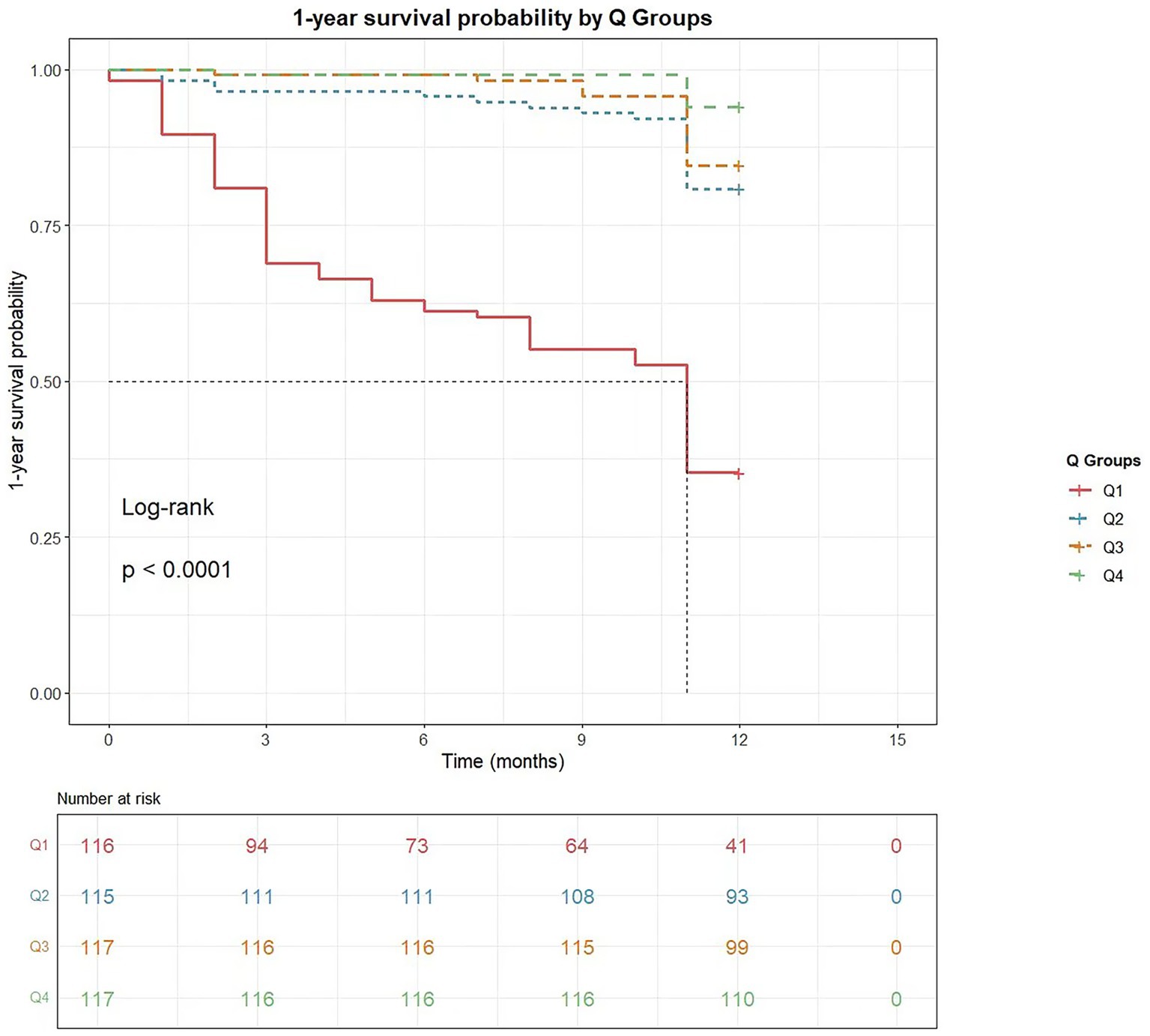
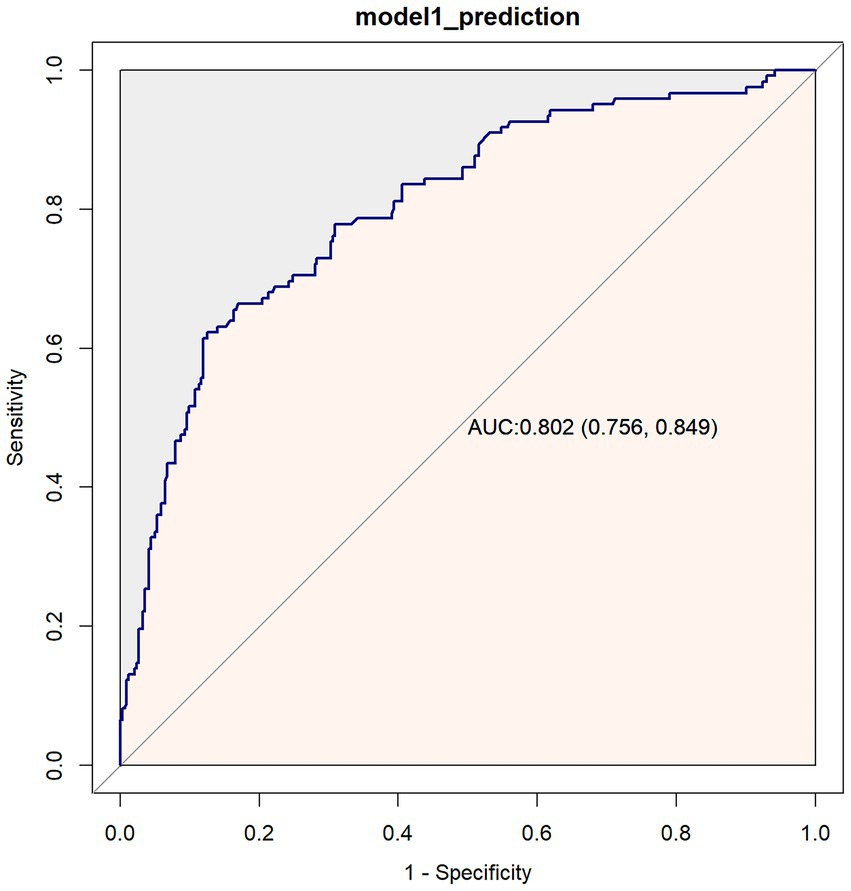
Background: Muscle wasting and sarcopenia in advanced breast cancer correlates with poor outcomes. The serum creatinine-to-cystatin C ratio (CCR) is a potential muscle mass biomarker, but its prognostic value in advanced breast cancer is unclear. Methods: This multicenter retrospective cohort study included 465 patients with stage III-IV breast cancer (2018-2023) receiving standard treatment. The creatinine-cystatin C ratio (CCR) was calculated based on baseline serum markers. The primary endpoint was the 1-year all-cause mortality rate, as assessed through medical records and follow-up. A multivariate Cox regression model was used to analyze the relationship between CCR and mortality, along with restricted cubic spline, Kaplan-Meier survival analysis, ROC curve, and subgroup analysis. Results: This study enrolled a total of 465 patients with stage III-IV breast cancer, with a median age of 52.0 (interquartile range [IQR], 47.0–60.0)years and a median creatinine-cystatin C ratio (CCR) of 1.0 (IQR, 0.8-1.2). The 1-year mortality rate among all patients was 26.2% (122/465), with a mortality rate of 18.1% (52/288) for stage III patients and 39.5% (70/177) for stage IV patients. Multivariate Cox proportional hazards regression analysis showed a significant negative association between CCR and 1-year all-cause mortality in breast cancer patients (adjusted HR=0.68, 95% CI: 0.63–0.74, P<0.001). Compared with the lowest quartile group (Q1), the highest quartile group (Q4) had a mortality risk reduction of 94% (HR=0.06, 95% CI: 0.03–0.14, P<0.001). Restricted cubic spline analysis confirmed a linear negative association between the two (P for non-linear=0.178). The Kaplan-Meier survival curves showed a significantly higher 1-year all-cause mortality in the Q1 This is a provisional file, not the final typeset article group (P<0.0001). The area under the curve (AUC) for predicting 1-year mortality was 0.802 (95% CI: 0.756–0.849). Subgroup analysis revealed a significant interaction between CCR and chemotherapy (P=0.013) and clinical stage (P<0.001), while the negative correlation persisted in other subgroups. Sensitivity analysis using unadjusted data yielded consistent results (Q4 HR=0.06, 95% CI: 0.02-0.14), confirming the robustness of the study conclusions. Conclusion: The serum creatinine-cystatin C ratio is an independent predictor of 1-year mortality risk in advanced breast cancer, with higher levels associated with significantly reduced mortality.
Keywords: breast cancer, Creatinine, Cystatin C, Creatinine–cystatin C, muscle mass, Sarcopenia, Mortality
Received: 19 Aug 2025; Accepted: 29 Oct 2025.
Copyright: © 2025 Deng, Yang, Zheng, Zhang, Wang, Wu, Mo, Huang, Zhang and Li. This is an open-access article distributed under the terms of the Creative Commons Attribution License (CC BY). The use, distribution or reproduction in other forums is permitted, provided the original author(s) or licensor are credited and that the original publication in this journal is cited, in accordance with accepted academic practice. No use, distribution or reproduction is permitted which does not comply with these terms.
* Correspondence:
Yuanqi Zhang, zhangyuanqi@gdmu.edu.cn
Lixia Li, lisalady@126.com
Disclaimer: All claims expressed in this article are solely those of the authors and do not necessarily represent those of their affiliated organizations, or those of the publisher, the editors and the reviewers. Any product that may be evaluated in this article or claim that may be made by its manufacturer is not guaranteed or endorsed by the publisher.
