ORIGINAL RESEARCH article
Front. Nutr.
Sec. Nutrition and Metabolism
Association between Triglyceride Glucose-Body Mass Index and Long-Term Adverse Outcomes in Individuals with Heart Failure: A Retrospective Cohort Study
Provisionally accepted- Zhengzhou University People’s Hospital, Fuwai Central China Cardiovascular Hospital, Henan Provincial People’s Hospital, Heart Center of Henan Provincial People's Hospital, Zhengzhou, China
Select one of your emails
You have multiple emails registered with Frontiers:
Notify me on publication
Please enter your email address:
If you already have an account, please login
You don't have a Frontiers account ? You can register here
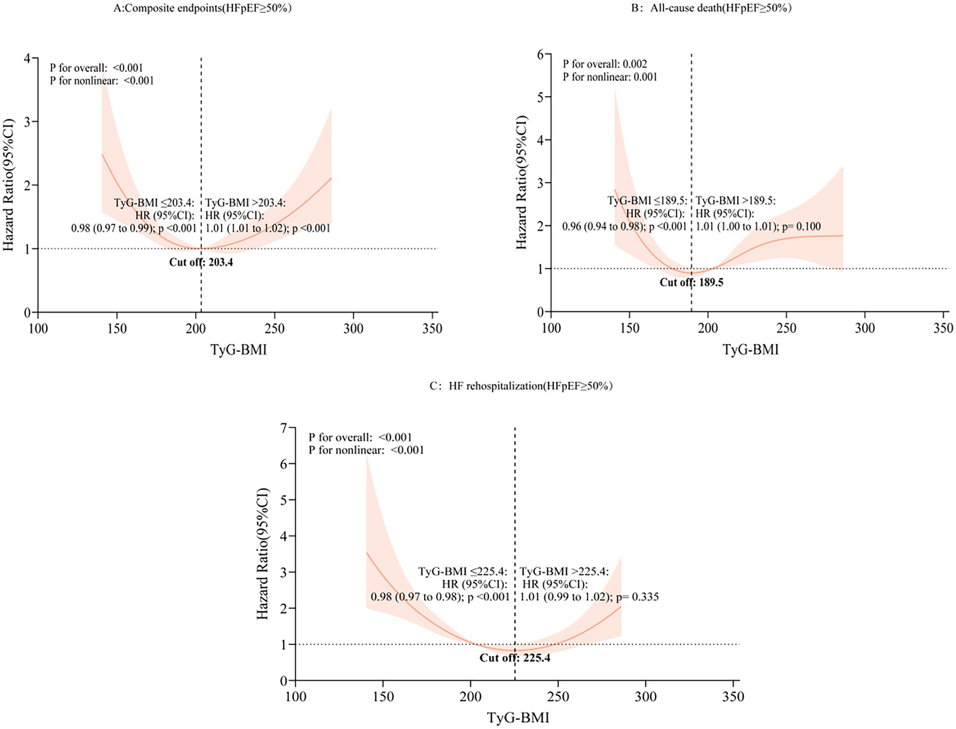
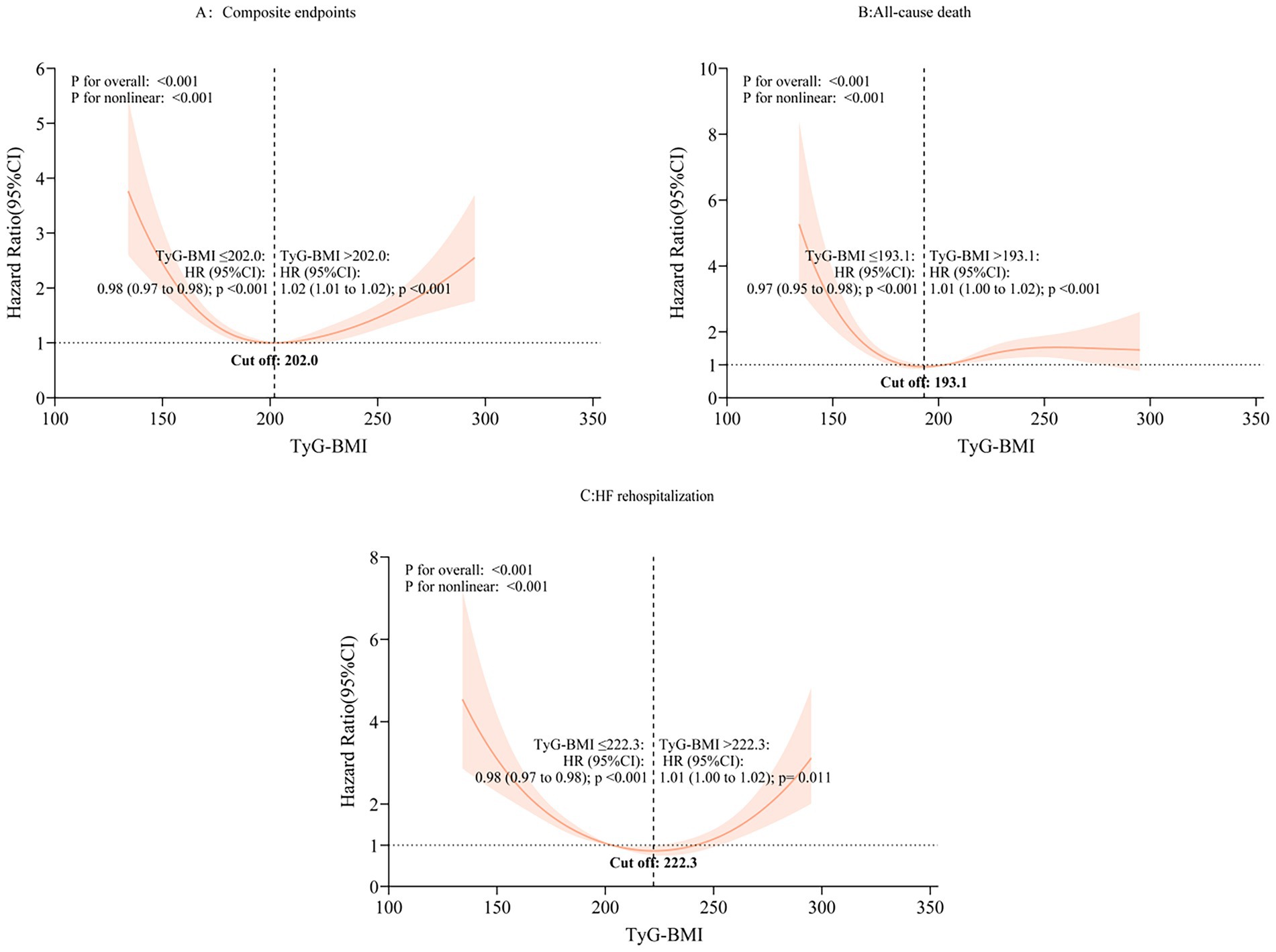
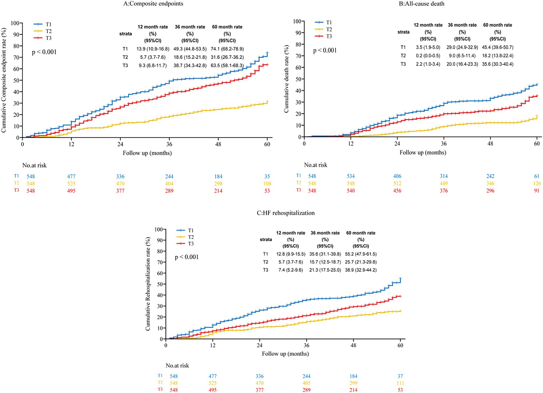
Background: Insulin resistance (IR) plays a pivotal role in the pathogenesis and progression of heart failure (HF), and may be exacerbated in advanced stages of HF, thereby perpetuating a deleterious cycle. The triglyceride glucose-body mass index (TyG-BMI), an established surrogate marker for IR, has been associated with adverse cardiovascular events. However, its prognostic significance in individuals diagnosed with HF has not been fully elucidated. The specific aim is to evaluate the association between the TyG-BMI index and long-term all-cause mortality and HF-rehospitalisation in patients with heart failure, and to examine whether right ventricular dysfunction (RVD) modifies this association. Methods: This retrospective cohort study included 1,644 participants hospitalized with HF at Fuwai Central China Cardiovascular Hospital, of whom 850 (51.7%) had HF with preserved ejection fraction (HFpEF). Participants were stratified into tertiles based on TyG-BMI values. The primary composite endpoint included all-cause mortality and HF-related rehospitalization. Multivariable Cox proportional hazards models and restricted cubic spline analyses were employed to assess associations, with survival probabilities visualized using Kaplan-Meier estimates. Results: Over a median follow-up period of 52 months, 415 individuals died from all causes, and 479 experienced HF-related rehospitalization. TyG-BMI exhibited a U-or J-shaped association with long-term outcomes: both the lowest and highest TyG-BMI tertiles carried significantly higher risks of all-cause mortality and HF rehospitalization compared with the intermediate tertile, indicating that risk was not merely elevated at low values but followed a non-linear U-or J-shaped curve. (p < 0.001). Restricted cubic spline analysis demonstrated an inverse J-shaped relationship between TyG-BMI and the composite endpoint, with inflection points at 193.10 for mortality and 222.30 for rehospitalization. Individuals in the lowest TyG-BMI tertile demonstrated a markedly elevated risk of the composite outcome (hazard ratio [HR]: 2.41, 95% confidence interval [CI]: 1.96–2.96, p < 0.001).Conclusions: A U-shaped association was observed: both very low and very high TyG-BMI were associated with increased all-cause mortality and HF rehospitalisation. These findings support the potential utility of TyG-BMI as a prognostic biomarker for risk stratification. Furthermore, TyG-BMI appears to modify the relationship between RVD and adverse clinical outcomes, with obesity potentially exerting a modulatory effect.
Keywords: Heart Failure, Insulin Resistance, Poor prognosis, Triglyceride glucose-body mass index, Cardiology
Received: 19 Aug 2025; Accepted: 04 Nov 2025.
Copyright: © 2025 Shi, Gao, Xu and Yuan. This is an open-access article distributed under the terms of the Creative Commons Attribution License (CC BY). The use, distribution or reproduction in other forums is permitted, provided the original author(s) or licensor are credited and that the original publication in this journal is cited, in accordance with accepted academic practice. No use, distribution or reproduction is permitted which does not comply with these terms.
* Correspondence: Chuan-yu Gao, gaochuanyugcy@126.com
Disclaimer: All claims expressed in this article are solely those of the authors and do not necessarily represent those of their affiliated organizations, or those of the publisher, the editors and the reviewers. Any product that may be evaluated in this article or claim that may be made by its manufacturer is not guaranteed or endorsed by the publisher.
