BRIEF RESEARCH REPORT article
Front. Nutr.
Sec. Nutrition, Psychology and Brain Health
Peers Are as Persuasive as Experts in Reducing Willingness to Pay for Sugary Foods
Provisionally accepted- 1National Research University Higher School of Economics, Moscow, Russia
- 2Cook Children's Health Care System, Fort Worth, United States
- 3The University of Texas at Arlington, Arlington, United States
Select one of your emails
You have multiple emails registered with Frontiers:
Notify me on publication
Please enter your email address:
If you already have an account, please login
You don't have a Frontiers account ? You can register here
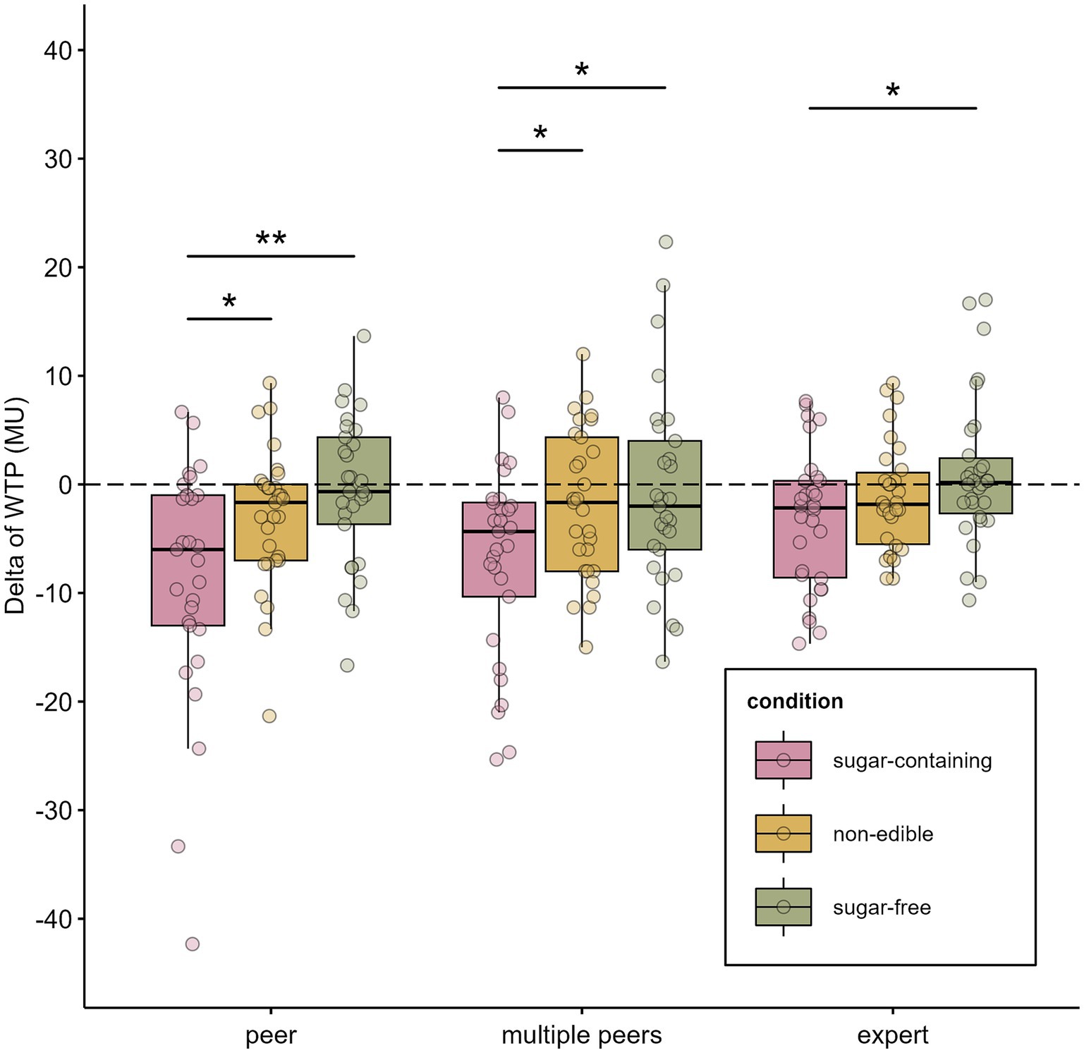
Non-communicable diseases are influenced by multiple genetic, physiological, environmental, and behavioral factors, with dietary sugar consumption representing one of the key modifiable risk determinants. Interventions aimed at reducing sugar intake often rely on persuasive health messaging by experts, yet it remains unclear whether the expertise of the narrator of the message is an indispensable component of a persuasive healthy eating call. To address this question, the present study directly compares the effect of different types of social endorsers on willingness to pay (WTP) for sugary food, including experts and peer endorsers. Eighty-eight healthy participants were randomly assigned to three groups: expert (N = 30), peer (N = 29), and multiple peers (N = 29). They evaluated their WTP for sugar-containing, sugar-free, and non-edible products before and after exposure to audio healthy eating interventions delivered by either a nutrition expert or university student peer(s). All audio interventions significantly decreased participants' WTP for sugar-containing products compared to sugar-free products. No significant differences were found between the effectiveness of peer and expert persuasion in reducing WTP for sugar-containing products. Peer-delivered healthy eating calls can be as effective as expert-delivered interventions in decreasing WTP for sugar-containing products. These findings highlight the potential of peer social influence in public health interventions in addition to expert calls.
Keywords: Healthy eating intervention, social norms, Sugar consumption, Willingness to pay, peer persuasion, Expert persuasion
Received: 26 Aug 2025; Accepted: 10 Nov 2025.
Copyright: © 2025 Arzumanyan, Shestakova, Moiseeva, Blank, Klucharev, Davidovich and Ntoumanis. This is an open-access article distributed under the terms of the Creative Commons Attribution License (CC BY). The use, distribution or reproduction in other forums is permitted, provided the original author(s) or licensor are credited and that the original publication in this journal is cited, in accordance with accepted academic practice. No use, distribution or reproduction is permitted which does not comply with these terms.
* Correspondence: Nina Arzumanyan, ngarzumanyan@gmail.com
Disclaimer: All claims expressed in this article are solely those of the authors and do not necessarily represent those of their affiliated organizations, or those of the publisher, the editors and the reviewers. Any product that may be evaluated in this article or claim that may be made by its manufacturer is not guaranteed or endorsed by the publisher.
