ORIGINAL RESEARCH article
Front. Nutr.
Sec. Clinical Nutrition
This article is part of the Research TopicNutrient Metabolism and Complications of Type 2 Diabetes MellitusView all 30 articles
Association of fat-to-muscle ratio with diabetic kidney disease: A nationwide NHANES analysis and real-world validation
Provisionally accepted- 1Department of Nephrology, Blood Purification Research Center,Research Center for Metabolic Chronic Kidney Disease, First Affiliated Hospital of Fujian Medical University, Fuzhou, China
- 2Department of Nephrology, National Regional Medical Center, Binhai Campus, The First Affiliated Hospital of Fujian Medical University, Fuzhou, China
Select one of your emails
You have multiple emails registered with Frontiers:
Notify me on publication
Please enter your email address:
If you already have an account, please login
You don't have a Frontiers account ? You can register here
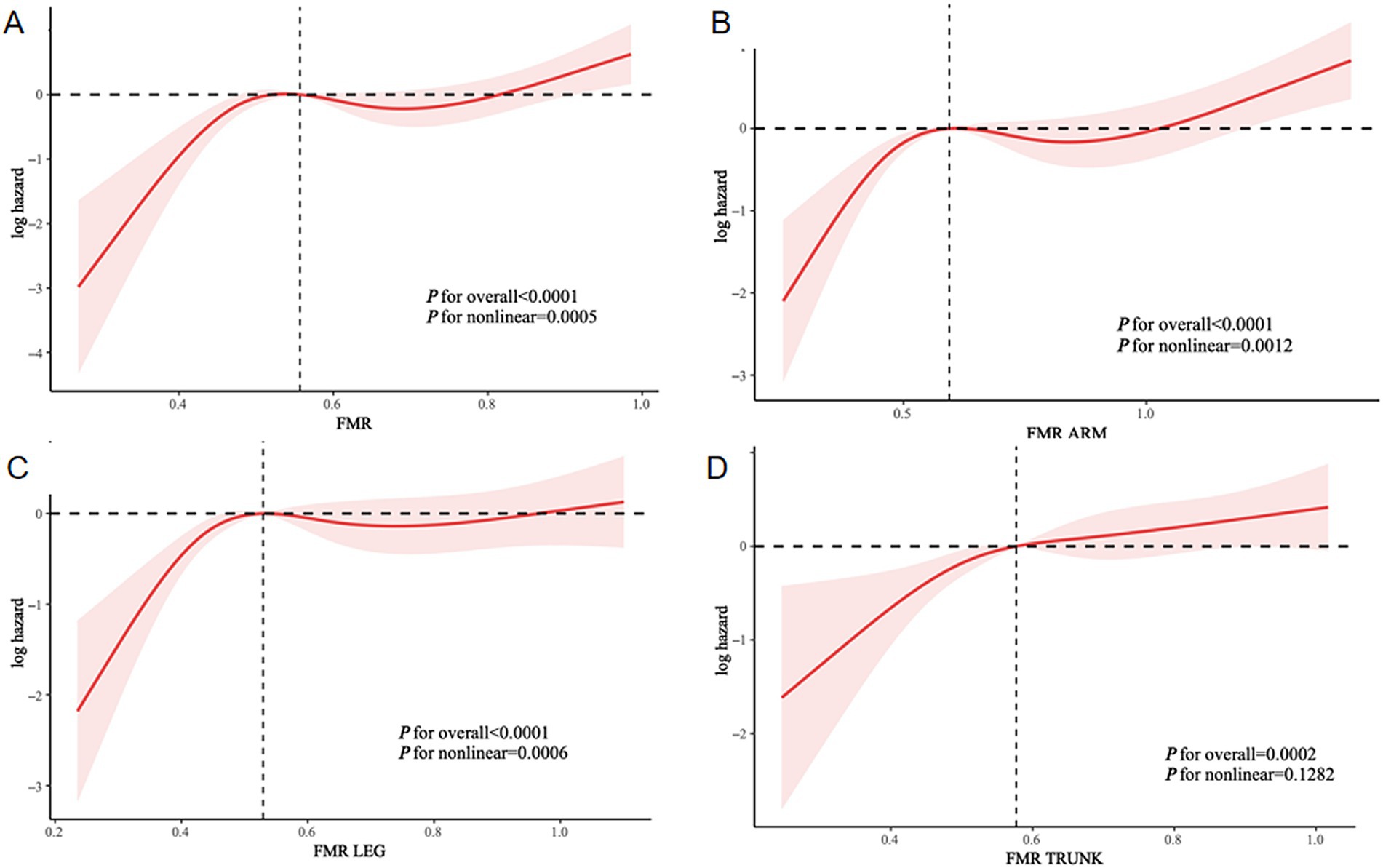
Background: Obesity and abnormal body composition are recognized contributors to diabetic kidney disease (DKD) development. The fat-to-muscle mass ratio (FMR), an indicator of body composition, remains insufficiently studied in relation to DKD risk. Methods: This study was a nationwide cohort analysis utilizing data from eight NHANES cycles. FMR was derived using Dual-Energy X-Ray Absorptiometry (DXA) and evaluated in both categorical and continuous forms. Given the cross-sectional design of NHANES for DKD status assessment, the association between FMR and DKD was analyzed as a prevalence association. Mortality outcomes were evaluated via retrospective linkage to the National Death Index, forming a retrospective mortality cohort among prevalent DKD cases. To evaluate the association between FMRs and DKD prevalence, we additionally analyzed an independent hospital-based clinical cohort. Results: After applying exclusion criteria, 680 DKD patients were included. Over a median follow-up of 97 months, 267 deaths (37.58%) were recorded. Logistic regression analysis identified arm-FMR, trunk-FMR, and total-FMR were independently associated with increased DKD risk (all P < 0.0001). Stratified subgroup analyses further confirmed significant associations between FMR and DKD, with notable interactions observed in arm-FMR and trunk-FMR when stratified by age and sex. Receiver operating characteristic curve analysis demonstrated that trunk-FMR exhibited the strongest predictive value for DKD (AUC = 0.812). Kaplan-Meier survival curves revealed that lower FMR quartiles were associated with better survival outcomes for both all-cause and CVD mortality in DKD patients (all log-rank P < 0.001). Moreover, non-linear associations were detected between FMR and DKD prevalence, as well as between FMR and mortality outcomes. In real-world validation cohort consisting of 94 patients, univariate logistics analysis revealed that all FMRs were identified as risk factors for the development of DKD. Multivariate logistics analysis showed that trunk FMR exhibited the highest predictive model value (OR=12.029, 95% CI 1.431-121.317, P=0.026,AUC=0.735). Conclusions: This NHANES-based study identifies a robust association between FMR and DKD prevalence, along with all-cause and CVD mortality. Importantly, these associations were supported by an independent real-world clinical cohort, underscoring the robustness and generalizability of our findings. Optimizing FMR may play a pivotal role in improving the prognosis of DKD patients.
Keywords: fat-to-muscle mass ratio, Diabetic kidney disease, NHANES, Real-world validation, risk factor
Received: 07 Sep 2025; Accepted: 10 Nov 2025.
Copyright: © 2025 Zhang, Lin, Wang, Lin, Fang, Xu and Wan. This is an open-access article distributed under the terms of the Creative Commons Attribution License (CC BY). The use, distribution or reproduction in other forums is permitted, provided the original author(s) or licensor are credited and that the original publication in this journal is cited, in accordance with accepted academic practice. No use, distribution or reproduction is permitted which does not comply with these terms.
* Correspondence: Jianxin Wan, wanjx@fjmu.edu.cn
Disclaimer: All claims expressed in this article are solely those of the authors and do not necessarily represent those of their affiliated organizations, or those of the publisher, the editors and the reviewers. Any product that may be evaluated in this article or claim that may be made by its manufacturer is not guaranteed or endorsed by the publisher.
