ORIGINAL RESEARCH article
Front. Nutr.
Sec. Nutritional Immunology
Impact of Inflammatory and Nutritional Parameters on Mortality in Cardiovascular Multimorbidity (CMM): A Comprehensive Prognostic Analysis Based on Two Datasets
Provisionally accepted- 1First Affiliated Hospital, Nanjing Medical University, Nanjing, China
- 2Southeast University Zhongda Hospital, Nanjing, China
Select one of your emails
You have multiple emails registered with Frontiers:
Notify me on publication
Please enter your email address:
If you already have an account, please login
You don't have a Frontiers account ? You can register here
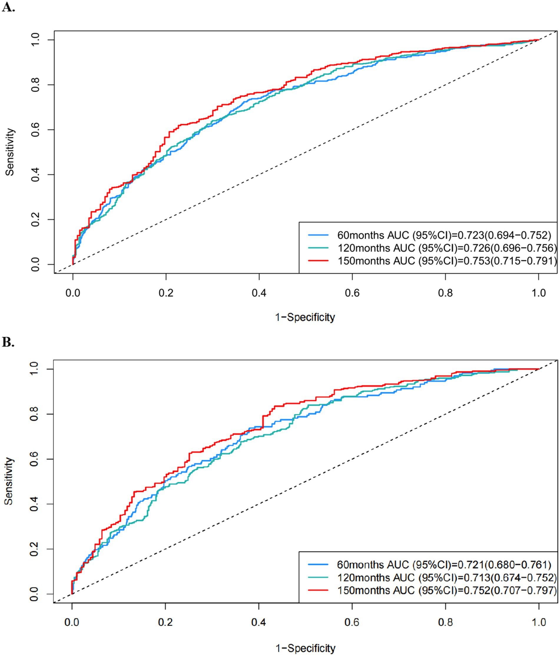
Cardiovascular multimorbidity (CMM), defined as the coexistence of multiple cardiometabolic diseases, has posed an escalating global health burden associated with premature mortality. Systemic inflammation has been increasingly recognized as a central mechanism linking cardiometabolic diseases, yet the prognostic implications of routine inflammatory and nutritional biomarkers in patients with CMM remained unclear. This cohort study analyzed 1,928 CMM patients from the National Health and Nutrition Examination Survey (NHANES) and 364 patients from a Chinese cohort (Gaoyou). Ten inflammatory and nutritional parameters were evaluated. Associations with all-cause and cardiovascular mortality were assessed using multivariable Cox regression and restricted cubic splines. Feature selection (SHAP, Boruta, and Lasso) was employed to identify optimal predictors, followed by construction and validation of nomogram and machine learning (ML) models. The Systemic Inflammation Response Index (SIRI) emerged as the strongest independent predictor of mortality. Patients in the highest SIRI quartile exhibited significantly increased risks of all-cause mortality (HR=2.34, 95% CI: 1.88–2.90) and cardiovascular mortality (HR=2.09, 95% CI: 1.47–2.98), with consistent performance across various subgroups. Nomograms incorporating SIRI demonstrated excellent discrimination (AUCs > 0.7) and clinical utility. Among the ML models, XGBoost achieved the highest predictive efficiency at 60, 120, and 150 months. SIRI, reflecting the combined influence of inflammatory responses and nutritional status, provided an available and independent biomarker for mortality risk stratification in CMM patients. The validated nomograms and web-based prediction tool offered clinicians a practical approach for individualized prognosis and informed future strategies targeting systemic inflammation and nutrition in multimorbidity management.
Keywords: Cardiovascular multimorbidity (CMM), systemic inflammation response index (SIRI), nomogram prediction, risk stratification, Machine Learning (ML)
Received: 09 Sep 2025; Accepted: 06 Nov 2025.
Copyright: © 2025 Chen, Zhu, Zhu, Qu, Ying, Chen, Zhang, Cheang and Li. This is an open-access article distributed under the terms of the Creative Commons Attribution License (CC BY). The use, distribution or reproduction in other forums is permitted, provided the original author(s) or licensor are credited and that the original publication in this journal is cited, in accordance with accepted academic practice. No use, distribution or reproduction is permitted which does not comply with these terms.
* Correspondence: Xinli Li, xinli3267@njmu.edu.cn
Disclaimer: All claims expressed in this article are solely those of the authors and do not necessarily represent those of their affiliated organizations, or those of the publisher, the editors and the reviewers. Any product that may be evaluated in this article or claim that may be made by its manufacturer is not guaranteed or endorsed by the publisher.
