ORIGINAL RESEARCH article
Front. Nutr.
Sec. Nutrition and Food Science Technology
This article is part of the Research TopicIntegrating Plant Metabolites into Comprehensive Approaches for Disease ManagementView all 4 articles
Evaluation of the Antioxidant and Longevity-Promoting Effects of White Tea Extract in Drosophila melanogaster
Provisionally accepted- 1Wuyi University, Wuyishan, China
- 2Fujian University of Traditional Chinese Medicine Affiliated Rehabilitative Hospital, Fuzhou, China
- 3Universiti Sains Malaysia, Minden Heights, Malaysia
Select one of your emails
You have multiple emails registered with Frontiers:
Notify me on publication
Please enter your email address:
If you already have an account, please login
You don't have a Frontiers account ? You can register here
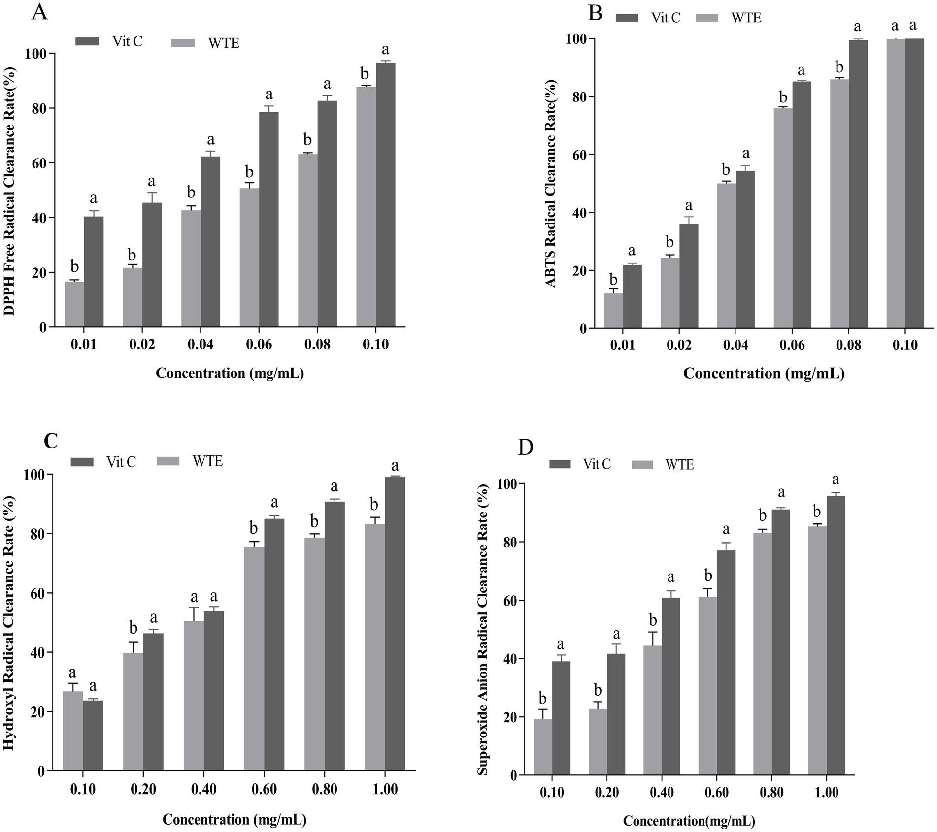
ABSTRACT: White tea is known for its health benefits, especially its strong antioxidant activity. Based on previous studies showing white tea extract (WTE) has antioxidant effects in vitro, this research further evaluated its potential to delay ageing in Drosophila melanogaster. The results showed that dietary supplementation with WTE significantly (P<0.05) increased both the mean lifespan (Tm) and longest survival time (Tmax) of Drosophila melanogaster. Tm levels rose by 15.41% in males and 30.39% in females at 3 mg/mL concentration, while the Tmax showed increases of 21.05 and 32.27%, respectively. WTE also improved the flies' climbing ability and their resistance to hydrogen peroxide-induced stress. It markedly (P<0.05) decreased malondialdehyde (MDA) concentrations while enhancing the activities of antioxidant enzymes, such as total superoxide dismutase (T-SOD) and catalase (CAT), in a dose-responsive manner. Gene expression analysis indicated that WTE significantly upregulated the antioxidant-related genes SOD1, SOD2, and CAT, while suppressing the expression of the ageing-related MTH gene. Overall, WTE helps delay ageing in fruit flies by boosting antioxidant defenses and reducing oxidative damage. These results suggest its potential use as a natural antioxidant and anti-ageing ingredient in food and health products.
Keywords: White tea extract, D. melanogaster, Longevity extension, Oxidative stress-related, Gene Expression
Received: 10 Sep 2025; Accepted: 30 Oct 2025.
Copyright: © 2025 Yang, Ye, Fan, Ma, Zhang, Tan and Yu. This is an open-access article distributed under the terms of the Creative Commons Attribution License (CC BY). The use, distribution or reproduction in other forums is permitted, provided the original author(s) or licensor are credited and that the original publication in this journal is cited, in accordance with accepted academic practice. No use, distribution or reproduction is permitted which does not comply with these terms.
* Correspondence: Yuhua  Yang, yuhuayfst@wuyiu.edu.cn
Disclaimer: All claims expressed in this article are solely those of the authors and do not necessarily represent those of their affiliated organizations, or those of the publisher, the editors and the reviewers. Any product that may be evaluated in this article or claim that may be made by its manufacturer is not guaranteed or endorsed by the publisher.
