Your new experience awaits. Try the new design now and help us make it even better

SYSTEMATIC REVIEW article

Front. Nutr., 20 November 2025

Sec. Sport and Exercise Nutrition

Volume 12 - 2025 | https://doi.org/10.3389/fnut.2025.1708301

This article is part of the Research TopicSports, Nutrition and Public Health: Analyzing their Interconnected ImpactsView all 50 articles

Acute effects of exercise snacks on postprandial glucose and insulin metabolism in adults with obesity: a systematic review and meta-analysis

  • Capital University of Physical Education and Sports, Beijing, China

Objective: To quantify the acute effects of brief, frequent interruptions to prolonged sitting (“exercise snacks”) on postprandial glucose and insulin in adults with obesity, and to explore potential effect modifiers.

Data sources and methods: Following PRISMA 2020, seven sources (PubMed, Web of Science, Cochrane Library, Embase, ClinicalTrials.gov, ICTRP, CINAHL) were searched to July 10, 2025. Randomized crossover or parallel trials in adults with obesity comparing activity breaks with uninterrupted sitting were included. Co-primary outcomes were glucose and insulin incremental area under the curve (iAUC); secondary outcomes were total AUC (tAUC) and mean levels. Random-effects meta-analyses synthesized standardized or mean differences (95% CI); heterogeneity was quantified by I2. Prespecified subgroup and sensitivity analyses were undertaken; small-study effects were examined when k ≥ 10. Risk of bias was appraised with Cochrane RoB 2.0 (fixed-effect estimates were additionally inspected when heterogeneity was low to moderate).

Results: Seventeen trials (261 unique participants; predominantly randomized crossover) were included. Versus uninterrupted sitting, activity breaks reduced glucose iAUC (SMD = −0.49, 95% CI –0.85 to −0.14; I2 = 76%) and reduced insulin iAUC (SMD = −0.26, 95% CI –0.50 to −0.03; I2 = 44%). Glucose tAUC and mean glucose showed non-significant downward trends. Mean insulin decreased (SMD = −0.54, 95% CI –0.97 to −0.10), albeit with high heterogeneity (I2 = 76%). Exploratory subgroup analyses suggested larger effects with higher-frequency (≤30-min) and short-bout (≤3-min) interruptions and with walking or simple resistance, although tests for subgroup differences were generally non-significant. Meta-regressions showed age predicted glucose iAUC, BMI and interruption frequency predicted mean insulin, no moderator predicted insulin iAUC, and intervention intensity (daily MET) had minimal, non-significant effects. Findings were robust in leave-one-out and model-assumption sensitivity analyses, with no clear small-study effects for glucose outcomes.

Conclusion: In adults with obesity, interrupting sitting about every ≤30 min with 2–5 min of light-to-moderate walking or simple resistance acutely attenuates postprandial glucose and insulin responses. These findings support exercise “snacks” as a pragmatic behavioral strategy, while longer-term randomized trials are needed to define durability and refine dose parameters.

Systematic review registration: https://www.crd.york.ac.uk/PROSPERO/view/CRD420251144139, Identifier CRD420251144139.

1 Introduction

Sedentary behavior, defined as any waking activity performed in a sitting or reclining posture with an energy expenditure of ≤1.5 metabolic equivalents (METs), has become one of the most prevalent lifestyle patterns in modern society (13). According to epidemiological surveys by the World Health Organization (WHO), more than one-quarter of adults and nearly 80% of adolescents worldwide fail to achieve the recommended levels of physical activity, and prolonged sedentary time is increasingly recognized as an independent health risk, beyond insufficient exercise (46). A large body of longitudinal evidence indicates that chronic sedentary behavior is closely associated with insulin resistance, impaired glucose tolerance, and increased incidence of type 2 diabetes and metabolic syndrome (710). Individuals with obesity are particularly vulnerable in this process, as obesity itself represents a high-risk state for insulin resistance and chronic low-grade inflammation, and is strongly linked to elevated risks of diabetes, cardiovascular disease, and other metabolic disorders (1113). Consequently, identifying practical and feasible strategies to interrupt prolonged sitting and alleviate the metabolic burden in obese populations has become a pressing public health priority.

In recent years, the concept of brief “exercise snacks”—short, frequent bouts of light-to-moderate activity or standing embedded within prolonged sitting—has attracted growing attention (14). The physiological mechanisms underlying this intervention are primarily related to its ability to improve insulin sensitivity, enhance glucose metabolism, and increase fat oxidation. Short bouts of activity stimulate skeletal muscle contractions, which in turn increase glucose uptake and reduce insulin resistance (15). This effect is particularly important for individuals with obesity, who typically suffer from chronic low-grade inflammation and metabolic dysfunction (16). Additionally, brief physical activity breaks may activate the sympathetic nervous system, leading to improved vascular function and reduced postprandial glucose spikes (17). These physiological responses form the basis for the observed improvements in cardiometabolic health, particularly when sitting is interrupted by short, frequent activity breaks. Accumulating randomized crossover trials indicate that interrupting sitting with such activity/standing breaks improves cardiometabolic control (18, 19), with meta-analytic evidence showing moderate acute reductions in postprandial glucose and insulin versus uninterrupted sitting (e.g., pooled SMD for glucose −0.54 and for insulin −0.56) (20). These effects have been demonstrated across modalities (e.g., walking, standing, simple resistance) and in both laboratory and free-living contexts, supporting the translational potential of sedentary/activity breaks (21). Importantly, dose features appear to matter: a recent three-level meta-analysis comparing interruption schedules reported that higher-frequency breaks (≤30 min per bout) achieved greater acute glucose lowering than lower-frequency protocols (>30 min per bout), whereas differences for insulin, triglycerides, blood pressure, and vascular function were not statistically significant and the certainty of evidence was low (21). Current guidelines increasingly encourage “sit less, move more,” and some diabetes guidance suggests interrupting sitting every 30 min, though this specific interval derives from limited crossover evidence rather than head-to-head frequency trials—underscoring the need for rigorous dose-optimization research (21).

However, despite these encouraging signals, the evidence base remains incomplete in ways directly relevant to clinical translation in adults with obesity. First, most trials have enrolled metabolically healthy or mixed-weight samples, and dedicated investigations in adults with obesity remain limited in number, size, and duration (22). Second, substantial heterogeneity in interruption protocols—including modality (e.g., walking, standing, simple resistance), frequency (≤30 vs. > 30 min), bout duration (≤3 vs. > 3 min), and total daily volume (≤30, 31–60, 61–120, >120 min/day)—impedes comparability and likely contributes to between-study inconsistency (23, 24). Third, it is unclear which subgroups (e.g., sex, age, BMI category) and which dose features (frequency, bout duration, daily volume) yield the largest improvements in postprandial glucose and insulin (25, 26). These gaps directly motivate the present systematic review and meta-analysis, which aims to examine the acute effects of exercise-snack interventions on postprandial glucose and insulin metabolism in adults with obesity. The study uses glucose and insulin iAUC as co-primary outcomes. Beyond quantifying overall effects, subgroup analyses were conducted to explore how intervention characteristics (type, frequency, duration, intensity, and total dose) and participant characteristics (sex, age, degree of obesity) modulate these effects. The goal is to identify the most effective strategies and provide an evidence base for individualized lifestyle interventions and future public health recommendations.

2 Methods

This systematic review followed the PRISMA 2020 statement (27), and was registered in PROSPERO (CRD420251144139).

2.1 Search strategy

We systematically searched PubMed, Web of Science (Core Collection), Cochrane Library, Embase, ICTRP, ClinicalTrials.gov, and CINAHL from inception to July 10, 2025. Only peer-reviewed articles published in English were considered, with no restrictions on publication date. To maximize sensitivity, we applied a comprehensive search strategy combining MeSH terms and free-text keywords (e.g., Cochrane Library strategy shown in Supplementary Table S1). In addition to database searching, we conducted three supplementary steps: (1) manual screening of reference lists of eligible studies, (2) citation tracking of included articles, and (3) reviewing relevant systematic reviews to identify additional studies. We also searched PROSPERO and the Cochrane Database of Systematic Reviews to ensure no similar reviews had already been published.

2.2 Study selection

All retrieved records were first de-duplicated manually using Zotero (version 7.0). After de-duplication, two reviewers independently screened titles and abstracts according to the pre-specified inclusion and exclusion criteria. Any disagreements were resolved through discussion; if consensus could not be reached, a third independent reviewer was consulted to adjudicate. Finally, two reviewers independently assessed the full texts to confirm eligibility of the included studies.

2.3 Eligibility criteria

Eligibility criteria were prespecified according to the PICOS framework. We included randomized parallel-group or randomized crossover trials enrolling adults (≥18 years) with obesity. Obesity was operationalized a priori as (i) BMI ≥ 30 kg/m2 for European/White populations or ≥27.5 kg/m2 for Asian populations (28, 29), or (ii) BMI 27.0–29.9 kg/m2 with phenotypic obesity, evidenced by central adiposity [waist circumference ≥102 cm in men or ≥88 cm in women (30), or ethnic-specific cut-offs] or excessive body fat [≥35% in women, ≥25% in men (31)]. When BMI was not reported, body-fat percentage or waist circumference meeting the above thresholds was accepted. Trials with mixed weight status were eligible only when ≥80% of participants met the obesity criteria or when data for participants with obesity were extractable. No upper age limit was applied.

Interventions were structured strategies to interrupt prolonged sitting (e.g., exercise snacks, brief activity breaks, accumulated light-to-moderate activity) delivered under laboratory or free-living conditions; comparators involved uninterrupted/usual sitting.

The primary outcomes were postprandial glucose and insulin incremental area under the curve (iAUC). Secondary outcomes included other indices of glucose metabolism, such as total AUC, mean glucose or insulin levels. We excluded studies involving participants with type 1 or type 2 diabetes, metabolic syndrome, cardiovascular disease, or other chronic illnesses; non-obese or mixed populations without separate data for obese individuals; interventions unrelated to sedentary interruption or without sufficient detail on dose parameters; outcomes unrelated to glucose metabolism or without quantitative data; and non-randomized, observational, review, abstract, or non–peer-reviewed publications.

2.4 Data extraction

Two reviewers independently extracted data using a standardized Excel form. Extracted information included: author, country, year of publication; participant characteristics (sample size, age, BMI, health status); intervention details (type, timing, frequency, duration, and total volume of activity); supervision status; outcome measures; and measurement devices. Discrepancies were resolved by a third independent reviewer. For studies with missing data, we first attempted to contact the authors. If no response was obtained, data were extracted from figures using WebPlotDigitizer 4.1, a tool validated for high reliability and accuracy (32). When studies reported results in formats other than mean and standard deviation (33) (e.g., confidence intervals or standard errors), values were converted to standard deviations using established statistical methods. Studies for which essential data could not be retrieved were excluded from the quantitative analysis.

2.5 Risk of bias assessment

Two independent reviewers assessed the methodological quality of the included studies using the Cochrane Collaboration’s Risk of Bias (RoB 2.0) tool (34). The assessment covered domains including random sequence generation, allocation concealment, blinding, completeness of outcome data, selective reporting, and other potential sources of bias. Each domain was rated as “low risk,” “high risk,” or “unclear risk.” Disagreements were resolved through discussion or by consulting a third reviewer.

2.6 Certainty of the evidence

The effectiveness evidence for each outcome was assessed using the GRADE framework, which rated the certainty as high, moderate, low, or very low (35). This rating was based on factors such as risk of bias, consistency, imprecision, and publication bias. GRADE evaluation was performed by two independent researchers, and discrepancies were resolved through consensus.

Evidence quality was assessed using the following criteria: (1) Risk of Bias: Evidence was downgraded by one level if there were some concerns about bias, and by two levels if the risk of bias was classified as high. (2) Inconsistency: The impact of statistical heterogeneity (I2) was considered. Evidence was downgraded by one level if the I2 value was moderate (> 25%), and by two levels if the I2 value was high (> 75%). (3) Imprecision: Evidence was downgraded by one level if the statistical power of the studies was less than 80% or if there was no clear direction of the effects (36). (4) Risk of Publication Bias: Evidence was downgraded by one level if Egger’s test indicated a p-value of less than 0.05, suggesting potential publication bias.

2.7 Data analysis

Due to the limited number of studies reporting glycemic variability outcomes (e.g., MAGE, SD, CV, TIR), these indicators were not included in the meta-analysis. Instead, the analysis focused on glucose outcomes (mean, incremental area under the curve [iAUC], and total area under the curve [tAUC]) and insulin outcomes (mean, iAUC, and tAUC). Given that most studies employed continuous glucose monitoring (CGM), which provides a more comprehensive assessment of postprandial glycemic fluctuations, we prioritized iAUC as the primary endpoint, as it is considered the most sensitive indicator of postprandial glycemic responses. When iAUC data were not available, tAUC or mean values were used as substitutes.

All continuous outcomes were pooled as mean differences (MDs) or standardized mean differences (SMDs) with 95% confidence intervals (CIs). Because of methodological heterogeneity across studies (e.g., differences in intervention type, frequency, bout duration, and total dose), random-effects models (REMs) were applied. Between-study heterogeneity was assessed using Cochran’s Q (χ2) test and the I2 statistic. Following a conservative criterion, we considered heterogeneity statistically significant at p < 0.05 on the Q test, and substantial when I2 ≥ 50% (37, 38).

Sensitivity analyses were conducted using the leave-one-out method. Publication bias was assessed for primary outcomes (glucose iAUC, glucose tAUC) using Begg’s and Egger’s tests. For outcomes with fewer than 10 studies, only funnel plots were generated for qualitative assessment.

2.8 Subgroup analysis

To further explore potential sources of heterogeneity and effect modifiers, we conducted pre-specified subgroup analyses. Subgroups were defined based on participant characteristics—sex (female, male, mixed), age (<30 years vs. ≥30 years), and BMI category (mild obesity [BMI < 32 kg/m2] vs. moderate-to-severe obesity [BMI ≥ 32 kg/m2])—as well as intervention characteristics, which were derived from the characteristics of the included studies. These intervention characteristics included activity type (standing, walking, resistance exercise, cycling, stair climbing, running, leg fidgeting), break frequency (≤30 min vs. >30 min), bout duration (≤3 min vs. >3 min), total daily dose of interruption (≤30 min/day, 31–60 min/day, 61–120 min/day, >120 min/day), and intervention intensity, as measured by the regression analysis conducted on the intervention characteristics. These subgroup analyses were designed to clarify “for whom” and “under what conditions” sedentary interruption strategies are most effective. Given the limited number of studies in some subgroups, these analyses should be considered exploratory.

3 Results

3.1 Search results

We retrieved 759 records from five bibliographic databases and two trial registries (PubMed = 226, Web of Science = 370, Cochrane Library = 95, Embase = 45, CINAHL = 2, ICTRP = 11, ClinicalTrials.gov = 10) and identified 69 additional records through reference lists, yielding 828 records in total. After de-duplication (n = 467), 361 unique records remained. Title/abstract screening excluded 229 records, leaving 132 articles for full-text assessment. Of these, 115 were excluded (wrong study design = 6; non-obese population = 72; outcomes not relevant = 14; data not available = 23). Seventeen randomized controlled or crossover trials were included in the quantitative synthesis (Figure 1).

Figure 1
Flowchart displaying the study selection process for a quantitative synthesis. Initially, 759 records were identified from databases and 69 additional records from reference lists. After duplicates were removed, 361 records were screened, resulting in 229 exclusions. Of the 132 full-text articles assessed for eligibility, 115 were excluded due to reasons like wrong study design, non-obese population, irrelevant outcomes, or unavailable data. Ultimately, 17 studies were included in the quantitative synthesis.

Figure 1. PRISMA flowchart.

3.2 Characteristics of included studies

Seventeen randomized crossover trials comprising 261 unique participants were included, of whom 128 (49%) were women. Owing to the crossover design, individual participants contributed multiple outcome measures under different intervention conditions, leading to a higher number of observations than independent participants. Sample sizes ranged from 8 to 28, with mean ages between 21 and 59.6 years and BMI values ranging from 27.1 to 38. Notably, five studies enrolled participants whose BMI did not strictly meet the conventional obesity thresholds (≥30 kg/m2 for Europeans, ≥28 kg/m2 for Asians). Among these, one study classified obesity based on body fat percentage exceeding accepted cutoffs (39), while the other four included individuals at borderline BMI levels (23, 4042). These borderline participants, although not meeting the strict BMI criteria for obesity, were included due to their proximity to the established diagnostic thresholds and the recognized metabolic risks associated with these BMI levels. This inclusion is scientifically justified, as individuals with BMI values near the diagnostic cutoffs often present similar health risks, including insulin resistance and metabolic dysfunction, which are relevant to the effects of exercise interventions. Therefore, their inclusion enhances the generalizability and applicability of the findings to a broader population at risk. Control conditions involved uninterrupted sitting for 3 to 10 h.

Intervention characteristics varied. The most frequently applied activity breaks were resistance exercises (34.2%) (4145), walking (22.2%) (43, 4650), and cycling (15.4%) (51), followed by standing (11.1%) (23, 40, 52), stair climbing (6.8%) (53), running (6.8%) (39), and leg fidgeting (3.4%) (54). Break frequency was most often every 30 min (64.2%), with fewer studies using 20 min (11.7%) (42, 46) or 60 min (9.2%) (40, 47, 53) intervals; rarer protocols included 2.5 min (4.2%) (54), 120 min (3.3%) (53), 180 min (3.3%) (39), 45 min (1.7%) (43), 3 min (1.7%) (23), and 510 min (0.8%) (43). Bout duration most commonly lasted 3 min (37.3%) (4144, 4749), 5 min (15.1%) (50, 51), or 2 min (11.9%) (39, 46, 50, 53). Shorter bouts included 30 s (4.8%) (45) or 1.5–2.5 min (7.1%) (23, 39, 46, 48, 50, 53, 54), while longer bouts extended to 10 min (3.2%) (39), 15 min (1.6%) (23), or 30 min (0.8%) (45). One study adopted a progressive protocol, interrupting sitting hourly with bouts increasing from 10 to 30 min, totaling 150 min/day (0.8%) (32). Detailed study characteristics are summarized in Table 1.

Table 1
www.frontiersin.org

Table 1. Characteristics of included trials on interrupting prolonged sitting in adults with overweight or obesity.

3.3 Primary outcomes

Compared with uninterrupted sitting, exercise snacks significantly improved postprandial glucose and insulin dynamics. For glucose, pooled analysis of incremental area under the curve (iAUC) showed a moderate and significant reduction (SMD = −0.49, 95% CI –0.85 to −0.14, p = 0.007) (Figure 2), although heterogeneity was substantial (I2 = 76%). This highlights the acute efficacy of interrupting prolonged sitting in attenuating postprandial glycemic excursions in obese adults. Similarly, insulin iAUC was significantly reduced in the intervention group (SMD = −0.26, 95% CI –0.50 to −0.03, p = 0.03) (Figure 3), with moderate heterogeneity (I2 = 44%). These findings support exercise snacks as an effective strategy to blunt both postprandial glycemia and insulinemia, with glucose iAUC emerging as the most consistent indicator. To assess the robustness of these findings, we conducted a sensitivity analysis by excluding studies that involved participants with BMI values near the diagnostic cutoffs. The results remained consistent, with no substantial changes in effect sizes, suggesting that the inclusion of these borderline cases did not significantly affect the overall conclusions.

Figure 2
Forest plot comparing exercise-break groups to prolonged sitting groups across various studies. It displays mean differences and standard deviations, with confidence intervals represented by horizontal lines. The overall effect shows a standardized mean difference of -0.49 in favor of exercise breaks, with a 95% confidence interval [-0.85, -0.14]. Heterogeneity is indicated by Tau² = 0.42, Chi² = 66.48, df = 16, P < 0.00001, and I² = 76%.

Figure 2. Forest plot of glucose iAUC comparing exercise breaks with prolonged sitting.

Figure 3
Forest plot comparing exercise-break groups to prolonged sitting groups in nine studies. The standardized mean difference (SMD) for each study and overall effect is displayed with confidence intervals. The overall SMD is -0.26, indicating a slight favor towards exercise breaks. The plot shows heterogeneity with Chi-squared value = 14.24, degrees of freedom = 8, and I-squared = 44%. The test for overall effect has a Z value of 2.20 with a P-value of 0.03.

Figure 3. Forest plot of insulin iAUC comparing exercise breaks with prolonged sitting.

3.4 Secondary outcomes

Secondary outcomes showed more heterogeneous and less consistent effects. For glucose, neither total AUC (SMD = −0.10, 95% CI –0.24 to 0.04, p = 0.17; I2 = 0%) nor mean glucose (SMD = −0.11, 95% CI –0.25 to 0.03, p = 0.14; I2 = 10%) demonstrated significant improvements, though both pointed toward a modest lowering effect. For insulin, mean levels were significantly reduced (SMD = −0.54, 95% CI –0.97 to −0.10, p = 0.02), albeit with high heterogeneity (I2 = 76%), whereas total AUC showed only a non-significant downward trend (SMD = −0.16, 95% CI –0.38 to 0.07, p = 0.17; I2 = 0%). Collectively, these results suggest that while exercise snacks consistently improve postprandial excursions (iAUC), their influence on mean or total exposure metrics is more variable and warrants further confirmation in larger, standardized trials. A summary plot of all glucose and insulin outcomes is presented in Figure 4, while detailed forest plots for each outcome are provided in Supplementary Figures S1–S5.

Figure 4
Forest plot showing the effects of exercise breaks versus prolonged sitting on glucose and insulin outcomes. Blue represents glucose outcomes, while red represents insulin outcomes. Bubble size indicates precision with examples provided as 1/SE. Glucose iAUC and Insulin iAUC show significant differences, favoring exercise breaks. Each outcome lists sample size, heterogeneity (I²), and p-value. The x-axis measures the standardized mean difference, where left favors exercise breaks and right favors prolonged sitting.

Figure 4. Pooled effects of exercise breaks versus prolonged sitting on glucose and insulin outcomes.

3.5 Subgroup analysis

To further explore potential effect modifiers, pre-specified subgroup analyses were conducted according to participant characteristics (sex, age, BMI) and intervention features (activity type, break frequency, bout duration, total daily dose, Intervention Intensity). Given their clinical relevance and data availability, detailed subgroup results for glucose iAUC and insulin iAUC are presented in the main text (Tables 2, 3), while subgroup analyses for other secondary outcomes are presented in the Supplementary Table S2: subgroup analyses for glucose AUC outcomes; Supplementary Table S3: subgroup analyses for mean glucose outcomes; Supplementary Table S4: subgroup analyses for glucose variability indices outcomes; Supplementary Table S5: subgroup analyses for insulin AUC outcomes; and Supplementary Table S6: subgroup analyses for mean insulin outcomes.

Table 2
www.frontiersin.org

Table 2. Subgroup analyses for glucose iAUC outcomes.

Table 3
www.frontiersin.org

Table 3. Subgroup analyses for insulin iAUC outcomes.

3.5.1 Sex

For glucose iAUC, men showed significant reductions (SMD = −0.92, 95% CI –1.57 to −0.28, p = 0.005), whereas women exhibited a non-significant increase (SMD = 0.46, p = 0.09). Mixed-sex groups demonstrated a borderline reduction (SMD = −0.34, p = 0.05), with a significant subgroup difference (p = 0.004). Insulin iAUC was significantly reduced only in mixed-sex groups (SMD = −0.50, p = 0.04), with no significant differences between sexes (p = 0.36).

3.5.2 Age

Among younger adults (<30 years), glucose tAUC (SMD = −0.21, p = 0.04) and mean glucose (SMD = −0.23, p = 0.03) were significantly reduced, while no effects were observed in older adults (≥30 years). Glucose variability increased in younger groups (SMD = 0.37, p = 0.0005) but decreased in older adults (SMD = −1.58, p = 0.02), with significant subgroup differences (p = 0.006). For insulin iAUC, significant reductions were observed in older adults (SMD = −0.49, p = 0.01), whereas younger adults showed no effect; subgroup differences were not significant (p = 0.14).

3.5.3 BMI

No significant effects were found for glucose outcomes when stratified by BMI (<32 vs. ≥32 kg/m2). Insulin iAUC was significantly reduced in the mildly obese group (SMD = −0.28, p = 0.04), but not in the moderate-to-severe obese group (p = 0.43); subgroup differences were not significant (p = 0.80).

3.5.4 Intervention type

Walking and resistance exercise yielded the most consistent benefits. Walking reduced glucose iAUC (SMD = −0.74, p = 0.02), while resistance exercise showed significant effects on glucose iAUC (SMD = −1.23, p < 0.001), insulin iAUC (SMD = −0.93, p = 0.01), and glucose tAUC (SMD = −0.29, p = 0.01). Standing and resistance exercise both showed borderline improvements in mean glucose (p = 0.05). Cycling, running, and leg fidgeting showed no significant effects.

3.5.5 Break frequency

High-frequency breaks (≤30 min) significantly reduced insulin iAUC (SMD = −0.37, p = 0.02) and glucose tAUC (SMD = −0.18, p = 0.03), with a borderline reduction in glucose iAUC (p = 0.05). Low-frequency breaks (>30 min) showed a borderline reduction in mean glucose (SMD = −0.40, p = 0.05), but no other significant effects. Subgroup differences were not significant (p = 0.17).

3.5.6 Bout duration

Short bouts (≤3 min) significantly improved glucose iAUC (SMD = −0.77, p = 0.002), insulin iAUC (SMD = −0.37, p = 0.02), and glucose tAUC (SMD = −0.18, p = 0.03). Longer bouts (>3 min) were not effective. Subgroup differences for glucose iAUC were borderline significant (p = 0.05).

3.5.7 Total daily dose

For glucose iAUC, the low-dose group (≤30 min/day) demonstrated the largest effect (SMD = −1.51, p = 0.0004), whereas higher doses did not yield stronger benefits (P_difference = 0.02). For insulin iAUC, the moderate-high dose group (61–120 min/day) showed the greatest reduction (SMD = −2.38, p = 0.0003), while other dose groups were not significant (P_difference = 0.004). No consistent effects were observed for glucose mean or insulin mean/AUC.

3.6 Meta-regression analysis and sensitivity analysis

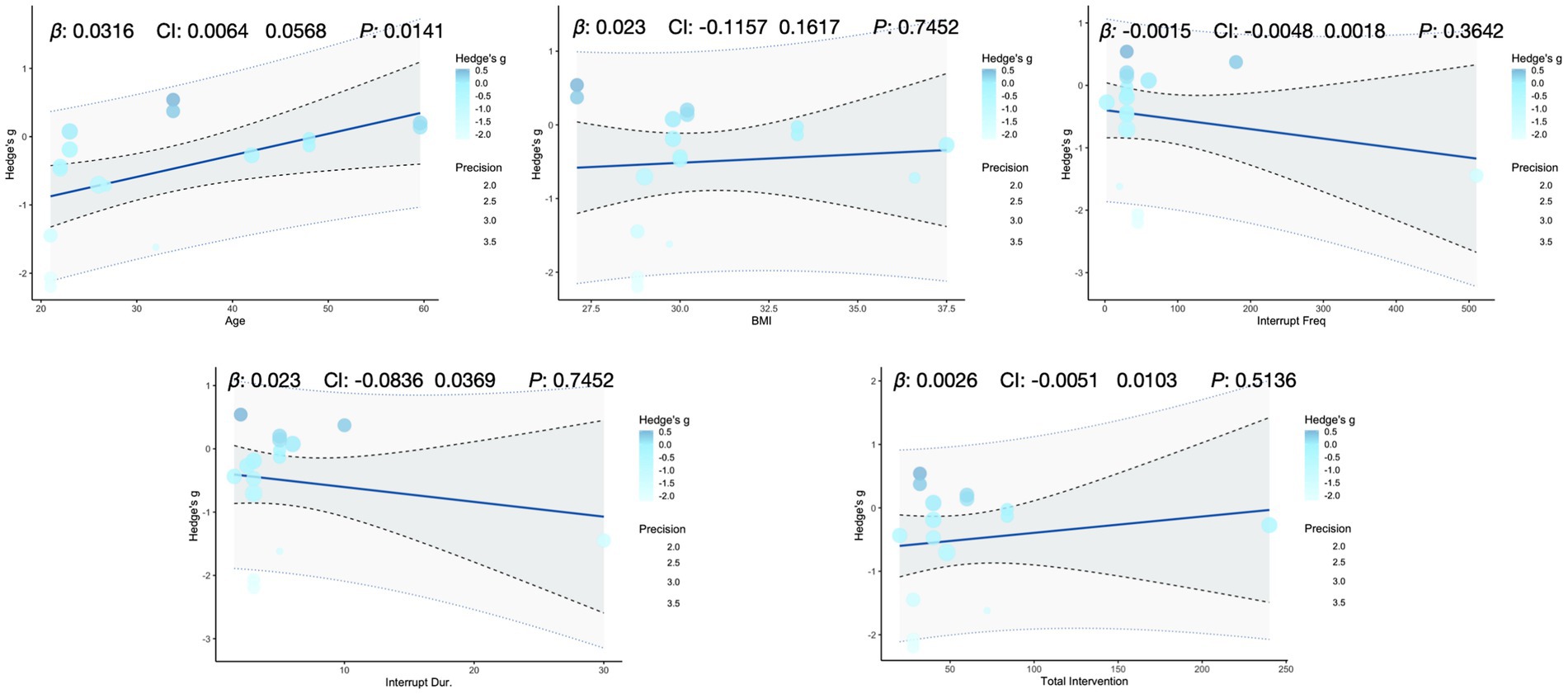
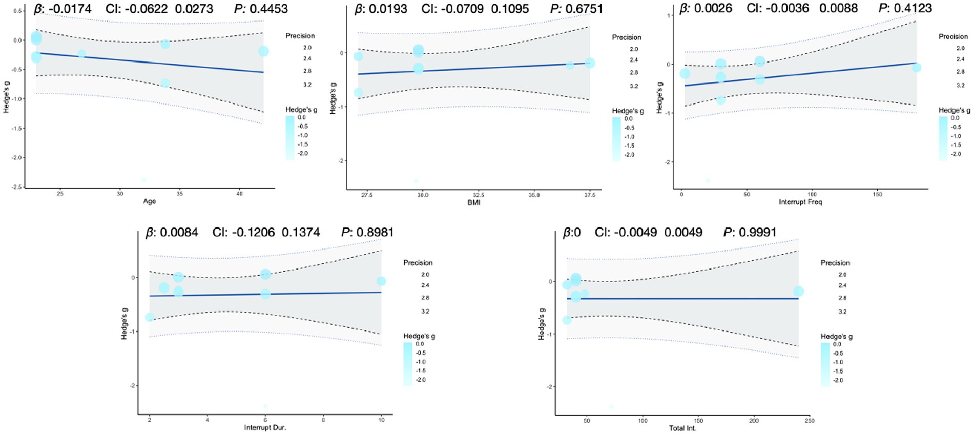
To explore potential sources of heterogeneity, we ran meta-regressions linking two primary outcomes (glucose iAUC, insulin iAUC) and one secondary outcome (mean insulin) to five continuous moderators (age, BMI, interruption frequency, single-bout duration, and total intervention duration; Figures 57). Age was significantly associated with higher glucose iAUC (p = 0.014). No moderator reached significance for insulin iAUC. For mean insulin, both BMI (p = 0.043) and interruption frequency (p = 0.002) were significant predictors. Single-bout duration and total intervention duration were not significantly associated with any outcome. Across models, R2 values were generally low, indicating limited explanatory power.

Figure 5
Five scatter plots show relationships between Hedge's g and variables: Age, BMI, Interrupt Frequency, Interrupt Duration, and Total Intervention. Each plot includes a blue regression line, shaded confidence intervals, and data points sized by precision. The plots display beta coefficients, confidence intervals, and p-values.

Figure 5. Meta-regression analysis of key variables affecting glucose iAUC.

Figure 6
Five scatter plots with linear regression lines, displaying relationships between Hedges' g and different variables: Age, BMI, Interrupt Frequency, Interrupt Duration, and Total Interruptions. Each plot includes standard error shaded areas, confidence intervals, and p-values, with data points sized by precision.

Figure 6. Meta-regression analysis of key variables affecting insulin iAUC.

Figure 7
Five scatter plots each depict the relationship between a variable on the x-axis and Hedge's g on the y-axis. Variables are Age, BMI, Interrupt Frequency, Interrupt Duration, and Total Interruptions. Each plot includes a regression line, confidence intervals, and data points sized by precision. Annotations include β, confidence interval (CI), and p-value for each plot.

Figure 7. Meta-regression analysis of key variables affecting insulin mean.

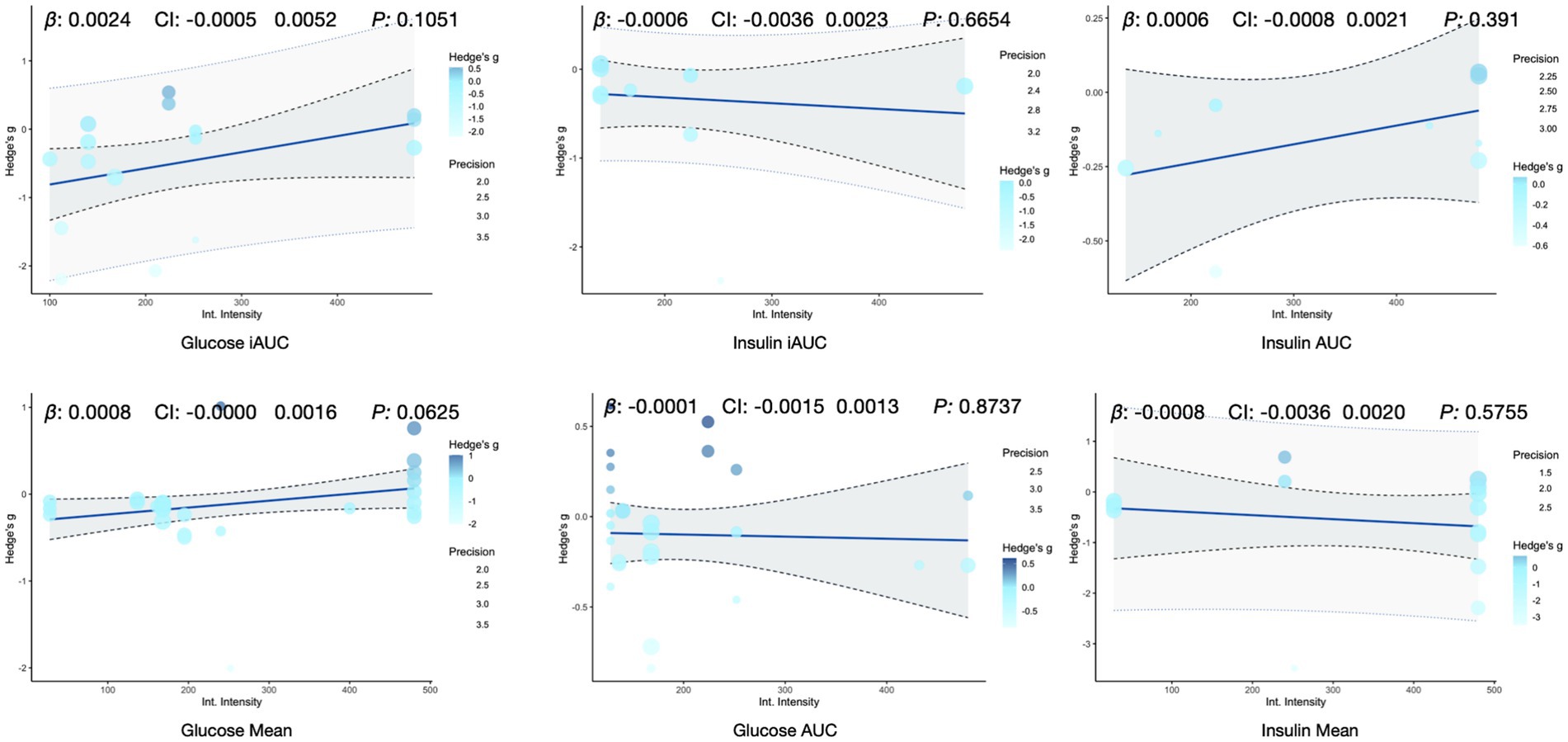
Given the significant impact of exercise intensity on insulin sensitivity (55), we standardized and quantified the exercise intensity in the studies. Using the Adult Physical Activity Questionnaire (56), we converted the intervention data from each study into daily exercise intensity. To explore the effect of exercise intensity on the primary outcomes, we conducted meta-regression analysis, treating exercise intensity as a continuous variable. The results of these analyses are shown in Figure 8. The findings indicate that the effect of exercise intensity on the outcomes is minimal, with most effects being statistically insignificant.

Figure 8
Six scatter plots showing relationships between different metrics with beta coefficients, confidence intervals, and p-values. Each plot features a regression line, shaded confidence area, and varying bubble sizes indicating precision. Details include Glucose iAUC, Insulin iAUC, Insulin AUC, Glucose Mean, Glucose AUC, and Insulin Mean. Each graph helps visualize how intensity affects Hedge’s g, with annotations for statistical analysis.

Figure 8. Meta-regression analysis of intervention intensity and its effect on outcome indicators.

To examine the robustness of the pooled results, sensitivity analyses were conducted using the leave-one-out method. Excluding each study in turn did not materially alter the pooled effect estimates or their 95% confidence intervals, suggesting that the overall conclusions were not driven by any single study and were stable.

3.7 Risk of bias assessment and publication bias

The methodological quality of the 17 included studies was assessed using the Cochrane Collaboration’s Risk of Bias tool (Figure 9). Most trials were judged to have a low risk of bias in domains such as random sequence generation, completeness of outcome data, and selective reporting, indicating overall methodological robustness. However, allocation concealment was often insufficiently reported, leading to several ratings of unclear risk. Blinding of participants and personnel was consistently judged at high risk due to the inherently visible nature of the interventions (e.g., exercise vs. uninterrupted sitting), although blinding of outcome assessment was generally well implemented, with only a few studies rated as unclear. A small number of studies raised concerns under the “other bias” domain, such as limited sample sizes or incomplete reporting. Overall, the risk of bias across studies was moderate to low, with the primary limitation being the unavoidable lack of blinding of participants and intervention providers.

Figure 9
Bar chart showing risks of bias in various categories with color codes: green for low risk, yellow for unclear risk, and red for high risk.

Figure 9. Risk of bias assessment across included studies (Cochrane risk of bias tool).

To assess publication bias, glucose iAUC and glucose AUC, each with ≥10 studies, were formally tested. Begg’s test indicated no evidence of publication bias (iAUC: p = 0.655; AUC: p = 0.655), and Egger’s regression also showed no small-study effects (iAUC: p = 0.484; AUC: p = 0.890) (Table 4). These findings suggest that the pooled estimates for glucose-related outcomes are unlikely to be substantially influenced by publication bias. For insulin iAUC and other secondary outcomes, the number of studies was fewer than 10, so Begg’s and Egger’s tests were not performed. Instead, funnel plots were inspected qualitatively, and no obvious asymmetry was detected.

Table 4
www.frontiersin.org

Table 4. Publication bias assessment for glucose-related outcomes using Begg’s and Egger’s tests.

3.8 GRADE evaluation of evidence quality

The quality of evidence for each primary outcome was assessed using the GRADE methodology, with outcomes rated as high, moderate, low, or very low. Glucose iAUC and Insulin iAUC were rated as moderate due to concerns about inconsistency. Other outcomes, including Glucose AUC, Insulin AUC, and Insulin Mean, were rated as low due to imprecision and wide confidence intervals. Detailed GRADE ratings for each outcome are summarized in Table 5.

Table 5
www.frontiersin.org

Table 5. GRADE assessment of primary outcomes.

4 Discussion

4.1 Main findings

This systematic review and meta-analysis demonstrates that interrupting prolonged sitting with brief bouts of physical activity meaningfully improves glycemic and insulinemic responses in adults with obesity. Compared with uninterrupted sitting, activity breaks lowered postprandial glucose and insulin, with glucose outcomes showing a moderate standardized effect and insulin outcomes also clearly favorable. In our pooled analyses, exercise interruptions reduced glucose incremental area under the curve (iAUC) and peak responses, paralleled by decreases in insulin curves. These findings are consistent with Loh et al. (20), who reported moderate reductions in both glucose and insulin (SMD ≈ −0.5) with sitting interruptions. Notably, our work focuses on metabolically healthy adults with obesity, among whom benefits may be greater, aligning with prior evidence that higher BMI is associated with larger improvements from breaking up sitting (20). Collectively, our results confirm the acute metabolic advantages of “exercise snacks” in people with obesity and strengthen the rationale for embedding regular movement into prolonged sitting periods.

4.2 Interpreting differences across outcomes

Heterogeneity in outcome definitions (e.g., total AUC vs. iAUC; CGM-derived measures vs. intermittent venous sampling) can influence effect estimates. I2 values indicate notable heterogeneity in some outcomes, such as glucose iAUC (I2 = 76%), suggesting substantial variation across studies. iAUC subtracts the baseline component and may better isolate postprandial excursions, whereas total AUC reflects overall exposure. We prioritized harmonized metrics where possible to enhance comparability. Prior syntheses suggest modest quantitative differences by measurement method (e.g., CGM versus discrete sampling) without altering the qualitative conclusion that interruptions are beneficial (5759).

In the present review, activity breaks generally reduced postprandial glycemia across iAUC, total AUC, and mean glucose, with effect sizes varying by metric. Insulin outcomes (e.g., insulin AUC, peak insulin, HOMA-IR) trended in the favorable direction as well; iAUC is particularly sensitive to acute changes in postprandial secretion, whereas fasting or total exposure may require longer observation58. However, the high heterogeneity observed (I2 = 76%) suggests that the effects of activity breaks may vary across studies due to differences in intervention characteristics (e.g., frequency, duration, mode) and participant characteristics (e.g., age, BMI). This variability underscores the need for cautious interpretation of the results.

A subset of trials assessed glycemic variability (e.g., SD or CV from CGM) (41, 42, 52); interruptions tended to mitigate excessive variability—a clinically relevant signal given links to cardiovascular risk—though current evidence remains limited and should be interpreted cautiously. Overall, convergence of multiple indicators supports the conclusion, while metric-specific differences underscore the need to consider measurement choices and intervention characteristics when interpreting effects.

4.3 Synthesis of subgroup findings

We examined effect modifiers to clarify “for whom” and “how” activity breaks work best.

4.3.1 Participant characteristics

Across prespecified subgroups, we observed several directional patterns with generally limited statistical support. For sex, men showed clear reductions in glucose iAUC whereas the female-only subgroup did not; the formal test for subgroup differences was significant for glucose iAUC, while insulin iAUC did not differ by sex, indicating a possible sex-specific effect on glycemia but not insulinemia (60). For age, a differentiated pattern emerged: adults <30 years benefited more on glucose outcomes (e.g., total AUC and mean glucose), whereas adults ≥30 years exhibited greater reductions in insulin iAUC (6163); most subgroup tests, however, were non-significant, and estimates were imprecise (6466). For adiposity, within our obese-only sample we did not detect stronger effects at higher BMI. Indeed, the decline in insulin iAUC was more evident in the <32 kg/m2 stratum, and the BMI subgroup test was null—findings that likely reflect small subgroup sizes, a restricted BMI range, and coarse categorization (20, 67, 68).

4.3.2 Intervention characteristics

Mode, frequency, bout duration, and total daily dose contributed to variability. Walking and especially resistance-type “snacks” yielded the most consistent benefits; resistance was associated with larger improvements in glucose iAUC and insulin iAUC, whereas standing showed only borderline reductions in mean glucose (6971). While the mean effect size for resistance training was significant, the stability of this finding remains uncertain due to the high heterogeneity observed (e.g., I2 values). The wide variability in effect sizes highlights the need for caution when interpreting these results. Despite the positive trends observed, further research with larger sample sizes and more consistent intervention protocols is required to establish more robust conclusions. Cycling, running, and leg fidgeting did not demonstrate reliable effects, possibly due to differences in exercise intensity or participant compliance, indicating that not all types of physical activity may yield similar benefits. For break frequency, interrupting sitting every 30 min tended to outperform lower frequencies across several outcomes, though the subgroup difference test was non-significant (21). For bout duration, short bouts (≤3 min) were superior to longer bouts for glucose iAUC and insulin iAUC before accounting for total daily volume. However, when stratified by daily volume, this advantage attenuated, underscoring the importance of the cumulative “frequency × duration” effect (7274). Finally, the dose–response relationship appeared non-linear: the largest reduction in glucose iAUC occurred with ≤30 min/day, whereas insulin iAUC improvements peaked at 61–120 min/day. Higher daily volumes did not confer additional benefit, possibly due to fatigue, adherence issues, or compensatory behaviors. Additionally, the results of the regression analysis indicated that intervention intensity, including factors such as frequency and total intervention duration, had minimal and mostly non-significant effects on the primary outcomes.

4.4 Plausible mechanisms

Skeletal muscle contraction is a central mechanism: prolonged sitting suppresses muscle activity and glucose uptake, whereas even brief standing/walking or resistance movements rapidly stimulate GLUT4 translocation and increase insulin-independent glucose disposal (7578). These effects can acutely lower glucose and transiently enhance insulin sensitivity, explaining observed declines in insulin curves after only minutes of activity. Resistance-type breaks may be especially potent due to greater recruitment of large muscle groups and type II fibers and a post-exercise “afterburn,” consistent with our subgroup signals (7981). Contraction-induced myokines (e.g., IL-6) can further augment insulin signaling and exert anti-inflammatory effects (70, 8284), which is pertinent for individuals with obesity who commonly exhibit low-grade inflammation and insulin resistance (85, 86). Repeated interruptions also raise energy expenditure; while each bout is brief, cumulative energy cost may aid weight management and insulin sensitivity over time (23). Some studies report carryover into the nocturnal period (e.g., lower nighttime glucose), suggesting sustained increases in glucose utilization or enhanced insulin action (20, 87, 88). Thus, rapid muscular glucose clearance, improved insulin sensitivity, and anti-inflammatory signaling likely converge to produce the acute metabolic benefits observed—particularly pronounced in obesity.

4.5 Comparison with the literature

Our findings accord with prior syntheses. As noted, Loh et al. (20) reported significant improvements in postprandial glucose and insulin and identified larger benefits with higher BMI (21). Reviews by Saunders and Benatti also support beneficial effects, albeit with somewhat smaller pooled estimates (89, 90). For example, Saunders reported effects of approximately −0.36 for glucose and −0.37 for insulin (Cohen’s d) (90), values slightly below ours, potentially due to inclusion of more metabolically healthy participants and methodological differences. The overarching message is consistent: uninterrupted sitting impairs glucose regulation, and interspersed movement mitigates this harm (91). With respect to implementation details, evidence has been less definitive about “how often.” Yin et al. (21) addressed this gap by recommending breaks at least every 30 minutes; our results align and emphasize the importance of this cadence in adults with obesity. Earlier guidance and reviews often refrained from specifying frequency due to insufficient evidence (92); our estimates help inform that debate.

4.6 Practical and policy implications

For adults with obesity or high cardiometabolic risk who sit for long periods (e.g., desk-based workers), we recommend rising at ~30-min intervals for 2–5 min of light walking, standing with simple body-weight resistance, or similar activities. These “exercise snacks” are feasible within daily routines and can meaningfully blunt postprandial glycemic excursions, supporting diabetes prevention. However, it is important to note that the evidence supporting this recommendation is moderate in quality and primarily based on short-term studies with varying methodologies and populations. While the effects on glycemia and insulin sensitivity are generally positive, further research is needed to confirm the applicability and effectiveness of these breaks, especially in specific populations such as older adults and individuals with diabetes.

Clinicians should integrate the recommendation to reduce uninterrupted sitting and add frequent activity breaks into lifestyle counseling, alongside conventional exercise prescriptions (e.g., ≥150 min/week of moderate-intensity exercise). However, clinicians should be aware of the current limitations in evidence, particularly for specific subgroups. At the policy level, workplaces and schools could facilitate standing desks, scheduled short breaks, and education campaigns, consistent with the 2020 WHO Guidelines, which emphasize limiting sedentary time and accumulating physical activity across intensities (93). Messaging such as “move for a few minutes every 30 min of sitting”, aided by wearables or smartphone prompts, may enhance adherence and yield population-level benefits. Given the low cost and scalability (92), promoting sitting interruptions could be a cost-effective prevention strategy in settings with high obesity and diabetes burden, but the generalizability of this recommendation across different groups still requires further validation.

4.7 Strengths and limitations

Strengths include adherence to PRISMA, a comprehensive and up-to-date search, and an a priori focus on adults with obesity—addressing a gap in prior reviews that largely pooled mixed populations. We conducted extensive subgroup and sensitivity analyses (sex, age, BMI, frequency, mode) and evaluated risk of bias and certainty, finding “low” to “moderate” certainty for key outcomes yet overall robust conclusions. We also explicitly contrasted outcome definitions (iAUC, total AUC, mean), improving methodological transparency.

Limitations include potential publication bias due to restriction to peer-reviewed English-language studies; although funnel plots and Egger tests did not suggest small-study effects, undetected bias remains possible. Heterogeneity in intervention protocols (e.g., frequency, intensity) and measurement (CGM vs. laboratory sampling) persisted despite random-effects modeling and subgroup exploration. Most trials examined acute responses over a single day; thus, our conclusions primarily address short-term effects. Whether sustained interruptions improve longer-term endpoints (e.g., HbA1c) is unknown due to limited long-duration RCTs. Sample sizes were small (often 10–30 participants), and generalizability beyond primarily White and Asian younger/middle-aged adults is uncertain. Performance blinding is inherently infeasible, and control conditions (e.g., dietary standardization) varied. Although both laboratory and free-living settings were eligible, the evidence base was predominantly laboratory-based; only a few free-living studies contributed data (49), and their precision was limited. While the direction of effects in free-living contexts appears broadly consistent, external validity should be interpreted with caution.

4.8 Directions for future research

Future work should move beyond acute, laboratory crossovers to adequately powered randomized trials in free-living settings that test durability of effects on fasting glucose, HbA1c, body composition, and diabetes incidence. Head-to-head, factorial, or adaptive designs comparing interruption cadence (e.g., ≤30 vs. > 30 min), bout duration (e.g., 1–2 vs. ~ 5 min), mode (walking, resistance, cycling, stretching) and intensity are needed to define minimal effective doses and optimal combinations, rather than inferring from single-schedule studies (e.g., ~30-min cadence). Parallel mechanistic endpoints—such as skeletal-muscle glucose uptake, GLUT4 content/translocation, and inflammatory mediators—would clarify pathways and dose thresholds. Recruitment should extend to older adults with obesity, people with diabetes/metabolic syndrome, and highly sedentary occupations; larger samples are required to examine sex differences and inter-individual variability (including phenotypic or genetic moderators), where current evidence remains inconclusive. Pragmatic trials leveraging wearables, app-based prompts, and simple incentives can address adherence, feasibility, and durability under real-world conditions. Finally, multicomponent strategies that pair sitting interruptions with dietary modification or structured exercise, and assessment of broader outcomes—cardiovascular, cognitive, mental-health, and cost-effectiveness—will be essential to translate acute benefits into quantitative guidance on how often, how long, and what to do for adults with obesity.

5 Conclusion

This systematic review and meta-analysis demonstrates that interrupting prolonged sitting with brief “exercise snacks” may significantly improve glucose and insulin regulation in adults with obesity. Compared with uninterrupted sitting, engaging in 2–5 min of activity approximately every 30 min resulted in reductions in postprandial glucose iAUC and insulin responses, with walking and resistance exercises generally showing more consistent benefits, while standing provided borderline improvements. Subgroup analyses indicated that intervention effects were jointly moderated by participant characteristics and protocol design: men and younger adults exhibited greater improvements in glycemic outcomes, whereas middle-aged and older adults benefited more in terms of reduced insulin responses. Individuals with mild obesity showed stronger improvements in insulin metabolism, although no clear BMI-stratified differences were observed for glucose outcomes. Regarding intervention features, high-frequency (≤30 min) and short-bout (≤3 min) interruptions were superior to less frequent or longer bouts, and dose–response analyses suggested a non-linear pattern, with low-to-moderate daily volumes (≤30–120 min/day) being more advantageous than higher doses. Overall, these findings support the recommendation that adults with obesity should incorporate regular breaks—every ≤30 min for 2–5 min, primarily consisting of walking or simple resistance activities—into daily life and clinical management. However, due to the observed heterogeneity and the non-significant effects of intensity, we urge caution when implementing these recommendations in diverse populations. Further long-term trials are warranted to confirm the sustainability of these effects and to determine optimal intervention parameters.

Data availability statement

The original contributions presented in the study are included in the article/Supplementary material, further inquiries can be directed to the corresponding author.

Author contributions

YC: Data curation, Supervision, Writing – review & editing, Formal analysis, Writing – original draft, Methodology. HW: Formal analysis, Data curation, Writing – original draft. XZ: Methodology, Data curation, Formal analysis, Writing – review & editing. HL: Formal analysis, Validation, Writing – original draft, Supervision.

Funding

The author(s) declare that no financial support was received for the research and/or publication of this article.

Acknowledgments

We thank all experts who provided guidance and advice during the preparation of this manuscript, and we express our appreciation to the authors of all studies included in this review.

Conflict of interest

The authors declare that the research was conducted in the absence of any commercial or financial relationships that could be construed as a potential conflict of interest.

Generative AI statement

The author(s) declare that no Gen AI was used in the creation of this manuscript.

Any alternative text (alt text) provided alongside figures in this article has been generated by Frontiers with the support of artificial intelligence and reasonable efforts have been made to ensure accuracy, including review by the authors wherever possible. If you identify any issues, please contact us.

Publisher’s note

All claims expressed in this article are solely those of the authors and do not necessarily represent those of their affiliated organizations, or those of the publisher, the editors and the reviewers. Any product that may be evaluated in this article, or claim that may be made by its manufacturer, is not guaranteed or endorsed by the publisher.

Supplementary material

The Supplementary material for this article can be found online at: https://www.frontiersin.org/articles/10.3389/fnut.2025.1708301/full#supplementary-material

References

1. van der Ploeg, HP, and Hillsdon, M. Is sedentary behaviour just physical inactivity by another name? Int J Behav Nutr Phys Act. (2017) 14:142. doi: 10.1186/s12966-017-0601-0

PubMed Abstract | Crossref Full Text | Google Scholar

2. Jochem, C, Schmid, D, and Leitzmann, M. Introduction to sedentary behaviour epidemiology (2018):978‑3‑319‑61550‑9. doi: 10.1007/978‑3‑319‑61552‑3

Crossref Full Text | Google Scholar

3. Mansoubi, M, Pearson, N, Clemes, SA, Biddle, SJ, Bodicoat, DH, Tolfrey, K, et al. Energy expenditure during common sitting and standing tasks: examining the 1.5 MET definition of sedentary behaviour. BMC Public Health. (2015) 15:516. doi: 10.1186/s12889-015-1851-x

PubMed Abstract | Crossref Full Text | Google Scholar

4. Andrade, C. Physical exercise and health, 1: an overview of terminology, guidance, benefits, and risks. J Clin Psychiatry. (2023) 84:23f15099. doi: 10.4088/jcp.23f15099

PubMed Abstract | Crossref Full Text | Google Scholar

5. World Health Organization. (2004). Physical activity – Fact Sheet. Available at: https://www.who.int/news-room/fact-sheets/detail/physical-activity?utm_source=chatgpt.com

Google Scholar

6. Chaput, J, Willumsen, J, Bull, F, Chou, R, Ekelund, U, Firth, J, et al. 2020 WHO guidelines on physical activity and sedentary behaviour for children and adolescents aged 5–17 years: summary of the evidence. Int J Behav Nutr Phys Act. (2020) 17:141. doi: 10.1186/s12966-020-01037-z

PubMed Abstract | Crossref Full Text | Google Scholar

7. Lahjibi, E, Heude, B, Dekker, J, Højlund, K, Laville, M, Nolan, J, et al. Impact of objectively measured sedentary behaviour on changes in insulin resistance and secretion over 3 years in the RISC study: interaction with weight gain. Diabetes Metab. (2013) 39:217–25. doi: 10.1016/j.diabet.2012.12.006

PubMed Abstract | Crossref Full Text | Google Scholar

8. Rizvi, A. Type 2 diabetes: epidemiologic trends, evolving pathogenic concepts, and recent changes in therapeutic approach. South Med J. (2004) 97:1079–87. doi: 10.1097/01.SMJ.0000125108.06314.25

PubMed Abstract | Crossref Full Text | Google Scholar

9. Antoniolli, L, Piccoli, V, Beer, MA, Nedel, BL, Pazinato, TC, Gatelli, LE, et al. Accuracy of insulin resistance indices for metabolic syndrome in a population with different degrees of glucose tolerance. Diabetol Metab Syndr. (2015) 7:115–5. doi: 10.1186/1758-5996-7-S1-A115

Crossref Full Text | Google Scholar

10. Sotomayor, B. A. A.de, and El-Mikati, H. K. (2019). Is sedentary behavior associated with dysglycemia in youth with obesity? Proc. IMPRS 2:1. doi: 10.18060/23411

Crossref Full Text | Google Scholar

11. Emanuela, F, Grazia, M, Marco, DR, Paola, LM, Giorgio, F, and Marco, B. Inflammation as a link between obesity and metabolic syndrome. J Nutr Metab. (2012) 2012:476380. doi: 10.1155/2012/476380

PubMed Abstract | Crossref Full Text | Google Scholar

12. Esser, N, Legrand-Poels, S, Piette, J, Scheen, A, and Paquot, N. Inflammation as a link between obesity, metabolic syndrome and type 2 diabetes. Diabetes Res Clin Pract. (2014) 105:141–50. doi: 10.1016/j.diabres.2014.04.006

PubMed Abstract | Crossref Full Text | Google Scholar

13. Chen, L, Chen, R, Wang, H, and Liang, F. Mechanisms linking inflammation to insulin resistance. Int J Endocrinol, 2015. (2015):508409. doi: 10.1155/2015/508409

PubMed Abstract | Crossref Full Text | Google Scholar

14. Islam, H, Gibala, MJ, and Little, JP. Exercise snacks: a novel strategy to improve cardiometabolic health. Exerc Sport Sci Rev. (2022) 50:31–7. doi: 10.1249/JES.0000000000000275

PubMed Abstract | Crossref Full Text | Google Scholar

15. Lambernd, S, Taube, A, Schober, A, Platzbecker, B, Görgens, S, Schlich, R, et al. Contractile activity of human skeletal muscle cells prevents insulin resistance by inhibiting pro-inflammatory signalling pathways. Diabetologia. (2012) 55:1128–39. doi: 10.1007/s00125-012-2454-z

PubMed Abstract | Crossref Full Text | Google Scholar

16. Ellies, L., Johnson, A. M. F., and Olefsky, J. Obesity, Inflammation, and Insulin Resistance. In: Dannenberg, A., Berger, N. (eds) Obesity, Inflammation and Cancer. Energy Balance and Cancer, vol 7. Springer, New York, NY. (2013). doi: 10.1007/978-1-4614-6819-6_1

Crossref Full Text | Google Scholar

17. Peddie, MC, Kessell, C, Bergen, T, Gibbons, TD, Campbell, HA, Cotter, JD, et al. The effects of prolonged sitting, prolonged standing, and activity breaks on vascular function, and postprandial glucose and insulin responses: a randomised crossover trial. PLoS One. (2021) 16:e0244841. doi: 10.1371/journal.pone.0244841

PubMed Abstract | Crossref Full Text | Google Scholar

18. Zhang, X, Zheng, C, Ho, RST, Miyashita, M, and Wong, SHS. The effects of accumulated versus continuous exercise on postprandial glycemia, insulin, and triglycerides in adults with or without diabetes: a systematic review and Meta-analysis. Sports Med Open. (2022) 8:14. doi: 10.1186/s40798-021-00401-y

PubMed Abstract | Crossref Full Text | Google Scholar

19. Gillen, JB, Estafanos, S, Williamson, E, Hodson, N, Malowany, JM, Kumbhare, D, et al. Interrupting prolonged sitting with repeated chair stands or short walks reduces postprandial insulinemia in healthy adults. J Appl Physiol. (2021) 130:104–13. doi: 10.1152/japplphysiol.00796.2020

PubMed Abstract | Crossref Full Text | Google Scholar

20. Loh, R, Stamatakis, E, Folkerts, D, Allgrove, JE, and Moir, HJ. Effects of interrupting prolonged sitting with physical activity breaks on blood glucose, insulin and triacylglycerol measures: a systematic review and Meta-analysis. Sports Med. (2020) 50:295–330. doi: 10.1007/s40279-019-01183-w

PubMed Abstract | Crossref Full Text | Google Scholar

21. Yin, M, Xu, K, Deng, J, Deng, S, Chen, Z, Zhang, B, et al. Optimal frequency of interrupting prolonged sitting for cardiometabolic health: a systematic review and Meta-analysis of randomized crossover trials. Scand J Med Sci Sports. (2024) 34:e14769. doi: 10.1111/sms.14769

PubMed Abstract | Crossref Full Text | Google Scholar

22. Estafanos, S, Williamson, E, Malowany, JM, Moore, D, Kumbhare, D, and Gillen, J. Interrupting sitting with short walks or repeated chair stands improves glycemic control in healthy adults. Med Sci Sports Exerc. (2020) 52:596–6. doi: 10.1249/01.mss.0000680736.48019.97

Crossref Full Text | Google Scholar

23. Hawari, N, Al-Shayji, IAR, Wilson, J, and Gill, J. Frequency of breaks in sedentary time and postprandial metabolic responses. Med Sci Sports Exerc. (2016) 48 12:2495–502. doi: 10.1249/MSS.0000000000001034

PubMed Abstract | Crossref Full Text | Google Scholar

24. Carrasco-Uribarren, A, Ortega-Martínez, A, Amor-Barbosa, M, Cadellans-Arróniz, A, Cabanillas-Barea, S, and Bagur-Calafat, M. Improvement of in-school physical activity with active school-based interventions to interrupt prolonged sitting: a systematic review and meta-analysis. Int J Environ Res Public Health. (2023) 20:1636. doi: 10.3390/ijerph20021636

PubMed Abstract | Crossref Full Text | Google Scholar

25. Rafiei, H, Omidian, K, Myette-Côté, É, and Little, J. Metabolic effect of breaking up prolonged sitting with stair climbing exercise snacks. Med Sci Sports Exerc. (2021) 53:150–8. doi: 10.1249/MSS.0000000000002431

PubMed Abstract | Crossref Full Text | Google Scholar

26. Healy, G, Matthews, C, Dunstan, D, Winkler, E, and Owen, N. Sedentary time and cardio-metabolic biomarkers in US adults: NHANES 2003-06. Eur Heart J. (2011) 32:590–7. doi: 10.1093/eurheartj/ehq451

PubMed Abstract | Crossref Full Text | Google Scholar

27. Page, MJ, McKenzie, JE, Bossuyt, PM, Boutron, I, Hoffmann, TC, Mulrow, CD, et al. The PRISMA 2020 statement: an updated guideline for reporting systematic reviews. Br Med J. (2021) 372:n71. doi: 10.1136/bmj.n71

Crossref Full Text | Google Scholar

28. WHO Expert Consultation. Appropriate body-mass index for Asian populations and its implications for policy and intervention strategies. Lancet (London, England). (2004) 363:157–63. doi: 10.1016/S0140-6736(03)15268-3

Crossref Full Text | Google Scholar

29. World Health Organization. Obesity: Preventing and Managing the Global Epidemic. Report of a WHO Consultation (WHO Technical Report Series No. 894). Geneva: WHO. (2005). Available at: https://cfmws.ca/CFMWS/media/Kingston/WHO_TRS_894.pdf?utm_source=chatgpt.com

Google Scholar

30. Grundy, SM, Cleeman, JI, Daniels, SR, Donato, KA, Eckel, RH, Franklin, BA, et al. Diagnosis and management of the metabolic syndrome. Circulation. (2005) 112:e285–90. doi: 10.1161/CIRCULATIONAHA.105.169405

Crossref Full Text | Google Scholar

31. Romero-Corral, A, Somers, VK, Sierra-Johnson, J, Thomas, RJ, Bailey, KR, Collazo-Clavell, ML, et al. Accuracy of body mass index to diagnose obesity in the US adult population. Int J Obes. (2008) 32:959–66. doi: 10.1038/ijo.2008.11

Crossref Full Text | Google Scholar

32. Drevon, D, Fursa, SR, and Malcolm, AL. Intercoder reliability and validity of WebPlotDigitizer in extracting graphed data. Behav Modif. (2017) 41:323–39. doi: 10.1177/0145445516673998

PubMed Abstract | Crossref Full Text | Google Scholar

33. Cumpston, M., Li, T., Page, M. J., Chandler, J., Welch, V. A., Higgins, J. P., et al. (n.d.). Updated guidance for trusted systematic reviews: a new edition of the Cochrane handbook for systematic reviews of interventions | Cochrane library (Accessed September 2, 2025). Available online at: https://www.cochranelibrary.com/cdsr/doi/10.1002/14651858.ED000142/full

Google Scholar

34. Sterne, JAC, Savović, J, Page, MJ, Elbers, RG, Blencowe, NS, Boutron, I, et al. RoB 2: a revised tool for assessing risk of bias in randomised trials. BMJ. (2019) 366:14898. doi: 10.1136/bmj.l4898

Crossref Full Text | Google Scholar

35. Schünemann, HJ, Higgins, JP, Vist, GE, Glasziou, P, Akl, EA, Skoetz, N, et al. Completing ‘summary of findings’ tables and grading the certainty of the evidence In: Cochrane handbook for systematic reviews of interventions : John Wiley & Sons, Ltd. (2019). 375–402.

Google Scholar

36. Guyatt, GH, Oxman, AD, Kunz, R, Brozek, J, Alonso-Coello, P, Rind, D, et al. Grade guidelines 6. Rating the quality of evidence—imprecision. J Clin Epidemiol. (2011) 64:1283–93. doi: 10.1016/j.jclinepi.2011.01.012

PubMed Abstract | Crossref Full Text | Google Scholar

37. Higgins, JPT, Thompson, SG, Deeks, JJ, and Altman, DG. Measuring inconsistency in meta-analyses. BMJ. (2003) 327:557–60. doi: 10.1136/bmj.327.7414.557

PubMed Abstract | Crossref Full Text | Google Scholar

38. Chapter 10: analysing data and undertaking meta-analyses | Cochrane. (n.d.). (Accessed September 13, 2025). Available online at: https://www.cochrane.org/authors/handbooks-and-manuals/handbook/current/chapter-10

Google Scholar

39. Maylor, B, Zakrzewski-Fruer, J, Stensel, D, Orton, C, and Bailey, D. Effects of frequency and duration of interrupting sitting on cardiometabolic risk markers. Int J Sports Med. (2019) 40:818–24. doi: 10.1055/a-0997-6650

PubMed Abstract | Crossref Full Text | Google Scholar

40. Hoffmann, SW, Schierbauer, J, Zimmermann, P, Voit, T, Grothoff, A, Wachsmuth, N, et al. Effects of light-intensity physical activity on cardiometabolic parameters in young adults with overweight and obesity: the SED—ACT randomized controlled crossover trial. Diabetes Obes Metab. (2024) 26:3849–59. doi: 10.1111/dom.15732

PubMed Abstract | Crossref Full Text | Google Scholar

41. Gale, JT, Haszard, JJ, and Peddie, MC. Improved glycaemic control induced by evening activity breaks does not persist overnight amongst healthy adults: a randomized crossover trial. Diabetes Obes Metab. (2024) 26:2732–40. doi: 10.1111/dom.15589

PubMed Abstract | Crossref Full Text | Google Scholar

42. Climie, R, Grace, M, Larsen, R, Dempsey, P, Oberoi, J, Cohen, N, et al. Regular brief interruptions to sitting after a high-energy evening meal attenuate glycemic excursions in overweight/obese adults. Nutr Metab Cardiovasc Dis. (2018) 28:909–16. doi: 10.1016/j.numecd.2018.05.009

PubMed Abstract | Crossref Full Text | Google Scholar

43. Gao, Y, Li, Q, Finni, T, and Pesola, A. Enhanced muscle activity during interrupted sitting improves glycemic control in overweight and obese men. Scand J Med Sci Sports. (2024) 34:e14628. doi: 10.1111/sms.14628

PubMed Abstract | Crossref Full Text | Google Scholar

44. Gale, J, Wei, D, Haszard, J, Brown, R, Taylor, R, and Peddie, M. Breaking up evening sitting with resistance activity improves postprandial glycemic response: a randomized crossover study. Med Sci Sports Exerc. (2023) 55:1471–80. doi: 10.1249/MSS.0000000000003166

PubMed Abstract | Crossref Full Text | Google Scholar

45. Hawari, N, Wilson, J, and Gill, J. Effects of breaking up sedentary time with “chair squats” on postprandial metabolism. J Sports Sci. (2019) 37:331–8. doi: 10.1080/02640414.2018.1500856

PubMed Abstract | Crossref Full Text | Google Scholar

46. Larsen, R, Kingwell, B, Robinson, C, Hammond, L, Cerin, E, Shaw, J, et al. Breaking up of prolonged sitting over three days sustains, but does not enhance, lowering of postprandial plasma glucose and insulin in overweight and obese adults. Clin Sci (Lond). (2015) 129:117–27. doi: 10.1042/CS20140790

PubMed Abstract | Crossref Full Text | Google Scholar

47. Wongpipit, W, Huang, W, Miyashita, M, Tian, X, and Wong, S. Frequency of interruptions to prolonged sitting and postprandial metabolic responses in young, obese, Chinese men. J Sports Sci. (2021) 39:1376–85. doi: 10.1080/02640414.2021.1874170

PubMed Abstract | Crossref Full Text | Google Scholar

48. Wongpipit, W, Zhang, X, Miyashita, M, and Wong, S. Interrupting prolonged sitting reduces postprandial glucose concentration in young men with central obesity. J Clin Endocrinol Metab. (2021) 106:e791–802. doi: 10.1210/clinem/dgaa834

PubMed Abstract | Crossref Full Text | Google Scholar

49. Smith, J, Savikj, M, Sethi, P, Platt, S, Gabriel, B, Hawley, J, et al. Three weeks of interrupting sitting lowers fasting glucose and glycemic variability, but not glucose tolerance, in free-living women and men with obesity. Am J Physiol Endocrinol Metab. (2021) 321:E203–16. doi: 10.1152/ajpendo.00599.2020

PubMed Abstract | Crossref Full Text | Google Scholar

50. Rodriguez-Hernandez, M, Martin, JS, Pascoe, DD, Roberts, MD, and Wadsworth, DW. Multiple short bouts of walking activity attenuate glucose response in obese women. J Phys Act Health. (2018) 15:279–86. doi: 10.1123/jpah.2017-0251

PubMed Abstract | Crossref Full Text | Google Scholar

51. Wanders, L, Cuijpers, I, Kessels, R, van de Rest, O, Hopman, M, and Thijssen, D. Impact of prolonged sitting and physical activity breaks on cognitive performance, perceivable benefits, and cardiometabolic health in overweight/obese adults: the role of meal composition. Clin Nutr. (2021) 40:2259–69. doi: 10.1016/j.clnu.2020.10.006

Crossref Full Text | Google Scholar

52. Bailey, D, Stringer, C, Maylor, B, and Zakrzewski-Fruer, J. Lower amounts of daily and prolonged sitting do not lower free-living continuously monitored glucose concentrations in overweight and obese adults: a randomised crossover study. Nutrients. (2022) 14:605. doi: 10.3390/nu14030605

PubMed Abstract | Crossref Full Text | Google Scholar

53. Gay, JL, Buchner, DM, Erickson, ML, and Lauture, A. Effect of short bouts of high intensity activity on glucose among adults with prediabetes: a pilot randomized crossover study. Diabetes Res Clin Pract. (2018) 141:168–74. doi: 10.1016/j.diabres.2018.04.045

PubMed Abstract | Crossref Full Text | Google Scholar

54. Pettit-Mee, RJ, Ready, ST, Padilla, J, and Kanaley, JA. Leg fidgeting during prolonged sitting improves postprandial Glycemic control in people with obesity. Obesity. (2021) 29:1146–54. doi: 10.1002/oby.23173

PubMed Abstract | Crossref Full Text | Google Scholar

55. Glans, F, Eriksson, K-F, Segerström, Å, Thorsson, O, Wollmer, P, and Groop, L. Evaluation of the effects of exercise on insulin sensitivity in arabian and swedish women with type 2 diabetes. Diabetes Res Clin Pract. (2009) 85:69–74. doi: 10.1016/j.diabres.2009.04.018

PubMed Abstract | Crossref Full Text | Google Scholar

56. Herrmann, SD, Willis, EA, Ainsworth, BE, Barreira, TV, Hastert, M, Kracht, CL, et al. 2024 adult compendium of physical activities: a third update of the energy costs of human activities. J Sport Health Sci. (2024) 13:6–12. doi: 10.1016/j.jshs.2023.10.010

PubMed Abstract | Crossref Full Text | Google Scholar

57. Röhling, M, Martin, T, Wonnemann, M, Kragl, M, Klein, H, Heinemann, L, et al. Determination of postprandial glycemic responses by continuous glucose monitoring in a real-world setting. Nutrients. (2019) 11:2305. doi: 10.3390/nu11102305

PubMed Abstract | Crossref Full Text | Google Scholar

58. Nava, C, Hedenmalm, AM, Borys, F, Hooft, L, Bruschettini, M, and Jenniskens, K. Accuracy of continuous glucose monitoring in preterm infants: a systematic review and meta-analysis. BMJ Open. (2020) 10:e045335. doi: 10.1136/bmjopen-2020-045335

PubMed Abstract | Crossref Full Text | Google Scholar

59. Seidu, S, Kunutsor, S, Ajjan, R, and Choudhary, P. Efficacy and safety of continuous glucose monitoring and intermittently scanned continuous glucose monitoring in patients with type 2 diabetes: a systematic review and meta-analysis of interventional evidence. Diabetes Care. (2023) 47:169–79. doi: 10.2337/dc23-1520

Crossref Full Text | Google Scholar

60. Maylor, BD, Zakrzewski-Fruer, JK, Stensel, DJ, Orton, CJ, and Bailey, DP. Breaking up sitting with short frequent or long infrequent physical activity breaks does not lead to compensatory changes in appetite, appetite-regulating hormones or energy intake. Appetite. (2023) 182:106445. doi: 10.1016/j.appet.2022.106445

PubMed Abstract | Crossref Full Text | Google Scholar

61. Yassine, HN, Marchetti, CM, Krishnan, R, Vrobel, T, González, F, and Kirwan, J. Effects of exercise and caloric restriction on insulin resistance and cardiometabolic risk factors in older obese adults—a randomized clinical trial. J Gerontol A Biol Sci Med Sci. (2009) 64:90–5. doi: 10.1093/gerona/gln032

PubMed Abstract | Crossref Full Text | Google Scholar

62. Bloem, C, and Chang, A. Short-term exercise improves beta-cell function and insulin resistance in older people with impaired glucose tolerance. J Clin Endocrinol Metab. (2008) 93:387–92. doi: 10.1210/JC.2007-1734

PubMed Abstract | Crossref Full Text | Google Scholar

63. Brennan, AM, Standley, R, Anthony, SJ, Grench, K, Helbling, N, DeLany, J, et al. Weight loss and exercise differentially affect insulin sensitivity, body composition, cardiorespiratory fitness and muscle strength in older adults with obesity; a randomized controlled trial. J Gerontol A Biol Sci Med Sci. (2021) 77:1088–97. doi: 10.1093/gerona/glab240

PubMed Abstract | Crossref Full Text | Google Scholar

64. Mun, H, Lee, S, Kim, S, Yoo, SJ, and Son, J. 8413 skeletal muscle mass, insulin sensitivity, and beta-cell function in the development of type 2 diabetes: a 16-year prospective cohort study. J Endocr Soc. (2024) 8:bvae163.939. doi: 10.1210/jendso/bvae163.939

Crossref Full Text | Google Scholar

65. Consitt, L, Dudley, C, and Saxena, G. Impact of endurance and resistance training on skeletal muscle glucose metabolism in older adults. Nutrients. (2019) 11:2636. doi: 10.3390/nu11112636

PubMed Abstract | Crossref Full Text | Google Scholar

66. Marcus, R, Addison, O, LaStayo, P, Hungerford, R, Wende, A, Hoffman, J, et al. Regional muscle glucose uptake remains elevated one week after cessation of resistance training independent of altered insulin sensitivity response in older adults with type 2 diabetes. J Endocrinol Investig. (2013) 36:111–7. doi: 10.3275/8333

PubMed Abstract | Crossref Full Text | Google Scholar

67. Shah, SZA, Karam, JA, Zeb, A, Ullah, R, Shah, A, Haq, I, et al. Movement is improvement: the therapeutic effects of exercise and general physical activity on glycemic control in patients with type 2 diabetes mellitus: a systematic review and meta-analysis of randomized controlled trials. Diabetes Ther. (2021) 12:707–32. doi: 10.1007/s13300-021-01005-1

PubMed Abstract | Crossref Full Text | Google Scholar

68. Chae, J, Kang, R, Kwak, J, Paik, J, Kim, OY, Kim, M, et al. Supervised exercise program, BMI, and risk of type 2 diabetes in subjects with normal or impaired fasting glucose. Diabetes Care. (2012) 35:1680–5. doi: 10.2337/dc11-2074

PubMed Abstract | Crossref Full Text | Google Scholar

69. Ferrari, F, Bock, P, Motta, MT, and Helal, L. Biochemical and molecular mechanisms of glucose uptake stimulated by physical exercise in insulin resistance state: role of inflammation. Arq Bras Cardiol. (2019) 113:1139–48. doi: 10.5935/abc.20190224

PubMed Abstract | Crossref Full Text | Google Scholar

70. Dong, Y, Pan, Y, Zhang, X, He, Q, Chen, S, Du, L, et al. Impact of prolonged sitting interruption on blood glucose, insulin and triacylglycerol in adults: a systematic review and meta-analysis. Appl Sci-Basel. (2024) 14:3201. doi: 10.3390/app14083201

Crossref Full Text | Google Scholar

71. Fletcher, EA, Salmon, J, McNaughton, SA, Orellana, L, Wadley, GD, Bruce, C, et al. Effects of breaking up sitting on adolescents’ postprandial glucose after consuming meals varying in energy: a cross-over randomised trial. J Sci Med Sport. (2018) 21:280–5. doi: 10.1016/j.jsams.2017.06.002

PubMed Abstract | Crossref Full Text | Google Scholar

72. Murphy, MH, Lahart, I, Carlin, A, and Murtagh, E. The effects of continuous compared to accumulated exercise on health: a Meta-analytic review. Sports Med. (2019) 49:1585–607. doi: 10.1007/s40279-019-01145-2

PubMed Abstract | Crossref Full Text | Google Scholar

73. Bellini, A, Nicolò, A, Bazzucchi, I, and Sacchetti, M. Effects of different exercise strategies to improve postprandial glycemia in healthy individuals. Med Sci Sports Exerc. (2021) 53:1334–44. doi: 10.1249/MSS.0000000000002607

PubMed Abstract | Crossref Full Text | Google Scholar

74. Eguchi, M, Ohta, M, and Yamato, H. The effects of single long and accumulated short bouts of exercise on cardiovascular risks in male Japanese workers: a randomized controlled study. Ind Health. (2013) 51:563–71. doi: 10.2486/indhealth.2013-0023

PubMed Abstract | Crossref Full Text | Google Scholar

75. Norman, NJ, Ghali, J, Radzyukevich, T, Landero, J, and Heiny, J. An exercise-driven, insulin-independent glucose uptake pathway in contracting skeletal muscle. FASEB J. (2022) 36:R5513. doi: 10.1096/fasebj.2022.36.s1.r5513

Crossref Full Text | Google Scholar

76. Pereira, LO, and Lancha, A. Effect of insulin and contraction up on glucose transport in skeletal muscle. Prog Biophys Mol Biol. (2004) 84:1–27. doi: 10.1016/S0079-6107(03)00055-5

PubMed Abstract | Crossref Full Text | Google Scholar

77. Hayashi, T, Wojtaszewski, J, and Goodyear, L. Exercise regulation of glucose transport in skeletal muscle. Am J Phys. (1997) 273:1039–51. doi: 10.1152/ajpendo.1997.273.6.E1039

Crossref Full Text | Google Scholar

78. Park, D-R, Park, K-H, Kim, B-J, Yoon, C, and Kim, U. Exercise ameliorates insulin resistance via Ca2+ signals distinct from those of insulin for GLUT4 translocation in skeletal muscles. Diabetes. (2014) 64:1224–34. doi: 10.2337/db14-0939

PubMed Abstract | Crossref Full Text | Google Scholar

79. Drummond, MJ, Vehrs, P, Schaalje, GB, and Parcell, AC. Aerobic and resistance exercise sequence affects excess postexercise oxygen consumption. J Strength Cond Res. (2005) 19:332–7. doi: 10.1519/R-14353.1

PubMed Abstract | Crossref Full Text | Google Scholar

80. Schuenke, M, Mikat, R, and Mcbride, J. Effect of an acute period of resistance exercise on excess post-exercise oxygen consumption: implications for body mass management. Eur J Appl Physiol. (2002) 86:411–7. doi: 10.1007/s00421-001-0568-y

PubMed Abstract | Crossref Full Text | Google Scholar

81. Farinatti, P, Neto, AGC, and Amorim, PR. Oxygen consumption and substrate utilization during and after resistance exercises performed with different muscle mass. Int J Exerc Sci. (2016) 9:77–88. doi: 10.70252/akbm3973

PubMed Abstract | Crossref Full Text | Google Scholar

82. Brandt, C, and Pedersen, B. The role of exercise-induced myokines in muscle homeostasis and the defense against chronic diseases. J Biomed Biotechnol. (2010) 2010:520258. doi: 10.1155/2010/520258

PubMed Abstract | Crossref Full Text | Google Scholar

83. Madureira, Á. N. de M., Oliveira, J. R. S.de, and Lima, V. L. de M. 2022 The role of IL-6 released during exercise to insulin sensitivity and muscle hypertrophy Mini Rev Med Chem doi: 10.2174/1389557522666220309161245 22 2419–2428.

PubMed Abstract | Crossref Full Text | Google Scholar

84. Pedersen, B. The anti-inflammatory effect of exercise: its role in diabetes and cardiovascular disease control. Essays Biochem. (2006) 42:105–17. doi: 10.1042/BSE0420105

PubMed Abstract | Crossref Full Text | Google Scholar

85. Collao, N, Rada, I, Francaux, M, Deldicque, L, and Zbinden-Foncea, H. Anti-inflammatory effect of exercise mediated by toll-like receptor regulation in innate immune cells – a review. Int Rev Immunol. (2020) 39:39–52. doi: 10.1080/08830185.2019.1682569

PubMed Abstract | Crossref Full Text | Google Scholar

86. Matos, MA, Duarte, T, Ottone, VO, Sampaio, PFM, Costa, K, Oliveira, MFA, et al. The effect of insulin resistance and exercise on the percentage of CD16+ monocyte subset in obese individuals. Cell Biochem Funct. (2016) 34:209–16. doi: 10.1002/cbf.3178

Crossref Full Text | Google Scholar

87. Sherr, J, Bergford, S, Patton, S, Clements, M, Calhoun, P, Gal, R, et al. 575-P: do overnight dips exist following afternoon exercise? Factors associated with nocturnal hypoglycemia in the type 1 diabetes exercise initiative pediatric (T1DexiP) study. Diabetes. (2023) 72:575. doi: 10.2337/db23-575-p

Crossref Full Text | Google Scholar

88. Farabi, SS, Carley, D, Smith, D, and Quinn, L. Impact of exercise on diurnal and nocturnal markers of glycaemic variability and oxidative stress in obese individuals with type 2 diabetes or impaired glucose tolerance. Diabetes Vasc Dis Res. (2015) 12:381–5. doi: 10.1177/1479164115579003

PubMed Abstract | Crossref Full Text | Google Scholar

89. Benatti, FB, and Ried-Larsen, M. The effects of breaking up prolonged sitting time: a review of experimental studies. Med Sci Sports Exerc. (2015) 47:2053–61. doi: 10.1249/MSS.0000000000000654

PubMed Abstract | Crossref Full Text | Google Scholar

90. Saunders, TJ, Atkinson, HF, Burr, J, MacEwen, B, Skeaff, CM, and Peddie, MC. The acute metabolic and vascular impact of interrupting prolonged sitting: a systematic review and Meta-analysis. Sports Med. (2018) 48:2347–66. doi: 10.1007/s40279-018-0963-8

PubMed Abstract | Crossref Full Text | Google Scholar

91. Alobaid, AM, Dempsey, PC, Francois, M, Zulyniak, MA, Hopkins, M, and Campbell, MD. Reducing sitting time in type 1 diabetes: considerations and implications. Can J Diabetes. (2023) 47:300–4. doi: 10.1016/j.jcjd.2023.02.003

PubMed Abstract | Crossref Full Text | Google Scholar

92. Dempsey, PC, Biddle, SJH, Buman, MP, Chastin, S, Ekelund, U, Friedenreich, CM, et al. New global guidelines on sedentary behaviour and health for adults: broadening the behavioural targets. Int J Behav Nutr Phys Act. (2020) 17:151. doi: 10.1186/s12966-020-01044-0

PubMed Abstract | Crossref Full Text | Google Scholar

93. Bull, FC, Al-Ansari, SS, Biddle, S, Borodulin, K, Buman, MP, Cardon, G, et al. World Health Organization 2020 guidelines on physical activity and sedentary behaviour. Br J Sports Med. (2020) 54:1451–62. doi: 10.1136/bjsports-2020-102955

PubMed Abstract | Crossref Full Text | Google Scholar

Keywords: sedentary behavior, exercise snacks, interrupting sitting, obesity, glucose iAUC, insulin

Citation: Chang Y, Wang H, Zhang X and Liu H (2025) Acute effects of exercise snacks on postprandial glucose and insulin metabolism in adults with obesity: a systematic review and meta-analysis. Front. Nutr. 12:1708301. doi: 10.3389/fnut.2025.1708301

Received: 18 September 2025; Revised: 02 November 2025; Accepted: 06 November 2025;
Published: 20 November 2025.

Edited by:

Jian Sun, Guangzhou Sport University, China

Reviewed by:

Patrick Calders, Ghent University, Belgium
Duanying Li, Guangzhou Sport University, China

Copyright © 2025 Chang, Wang, Zhang and Liu. This is an open-access article distributed under the terms of the Creative Commons Attribution License (CC BY). The use, distribution or reproduction in other forums is permitted, provided the original author(s) and the copyright owner(s) are credited and that the original publication in this journal is cited, in accordance with accepted academic practice. No use, distribution or reproduction is permitted which does not comply with these terms.

*Correspondence: Haiyuan Liu, bGl1aGFpeXVhbkBjdXBlcy5lZHUuY24=

Disclaimer: All claims expressed in this article are solely those of the authors and do not necessarily represent those of their affiliated organizations, or those of the publisher, the editors and the reviewers. Any product that may be evaluated in this article or claim that may be made by its manufacturer is not guaranteed or endorsed by the publisher.