ORIGINAL RESEARCH article
Front. Nutr.
Sec. Nutritional Epidemiology
This article is part of the Research TopicDietary Pattern and Metabolic SyndromeView all 11 articles
The interaction between the gene SOD1 rs2070424 and the plasma zinc/copper ratio predicts renal function impairment
Provisionally accepted- 1Soochow University, Suzhou, China
- 2Suzhou Medical College of Soochow University SSPH Department of Nutrition and Food Hygiene, Suzhou, China
- 3Suzhou Industrial Park Center for Disease Control and Prevention, Suzhou, China
- 4The First Hospital of Hebei Medical University, Shijiazhuang, China
- 5Hospital of Stomatology Hebei Medical University, Shijiazhuang, China
Select one of your emails
You have multiple emails registered with Frontiers:
Notify me on publication
Please enter your email address:
If you already have an account, please login
You don't have a Frontiers account ? You can register here
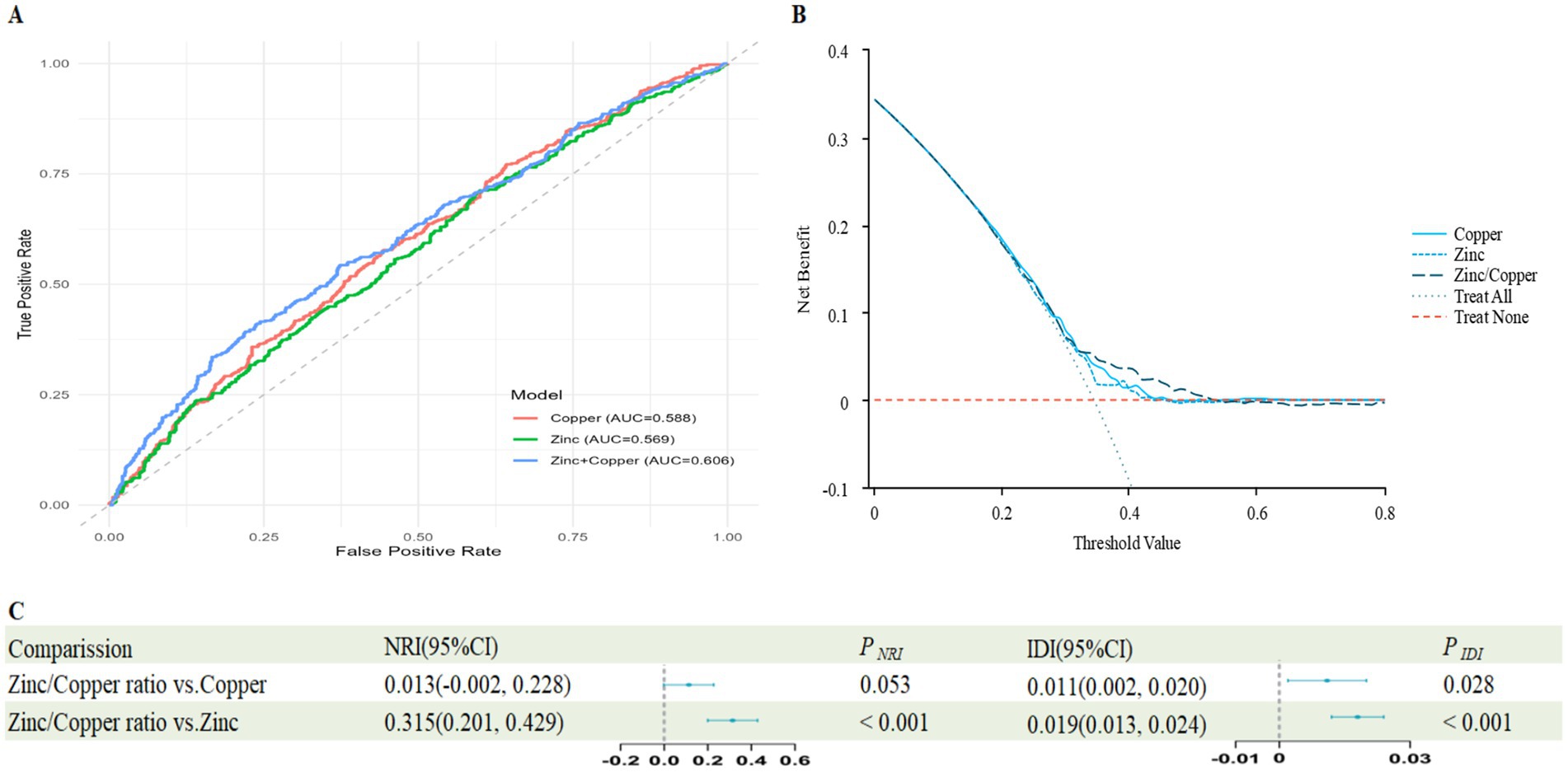
[Background] Essential trace elements zinc and copper have been suggested to play a role in renal function. However, the balance between these elements and their interaction with genetic variation in Superoxide Dismutase 1 (SOD1) remains unclear. [Methods] We conducted a prospective study involving 1,274 middle-aged and elderly participants from the "135" cohort in 2015. Cox regression analyses were used to assess associations between plasma trace elements, SOD1 polymorphism (rs2070424), and their interactions with impaired renal function. To evaluate predictive utility, we compared discrimination and reclassification using ROC analysis and the net reclassification and integrated discrimination indices (NRI, IDI). [Results] After adjusting for multiple variables, the hazard ratios (HRs) (95% CI) comparing the highest to the lowest tertiles were 1.303 (1.037, 1.637) for zinc, 1.615 (1.275, 2.046) for the zinc/copper ratio, and 0.709 (0.558, 0.900) for copper. Compared with the GG genotype, the AG and AA genotypes were positively associated impaired renal function (HR: 1.282, 95% CI: 1.003, 1.639). Positive associations between impaired renal function and plasma zinc (P for interaction: 0.006), as well as the zinc/copper ratio (P for interaction: <0.001), were modified by rs2070424 genotypes. The adjusted HRs comparing tertile 3 with tertile 1 for impaired renal function were: AA/AG carriers—zinc 1.359 (1.055–1.749); zinc/copper ratio 1.642 (1.267–2.128); GG carriers—zinc 1.065 (0.623–1.819); zinc/copper ratio 1.584 (0.889–2.822). In prediction analyses, the zinc/copper ratio showed higher discrimination (AUC) than single-metal models and improved reclassification (NRI, IDI), providing partial evidence of incremental value. [Conclusion] Decline in renal function was positively correlated with plasma zinc and the zinc/copper ratio and negatively correlated with plasma copper. The relationship between impaired renal function and both zinc and the zinc/copper ratio was modified by rs2070424 genotypes. Taken together, considering zinc/copper ratio provides a more informative summary than single-metal measures and shows partial incremental discrimination.
Keywords: Copper, Renal function, Superoxide dismutase 1, Zinc, Zinc/copper ratio
Received: 30 Sep 2025; Accepted: 04 Nov 2025.
Copyright: © 2025 Chen, Ge, Song, Wang, Ma, Qian, Zhou, Wang, Zhu, Wu, Du, Qin and Li. This is an open-access article distributed under the terms of the Creative Commons Attribution License (CC BY). The use, distribution or reproduction in other forums is permitted, provided the original author(s) or licensor are credited and that the original publication in this journal is cited, in accordance with accepted academic practice. No use, distribution or reproduction is permitted which does not comply with these terms.
* Correspondence:
Jingsi Chen, jschen1993@suda.edu.cn
Li-Qiang Qin, qinliqiang@suda.edu.cn
Zengning Li, zengningli@hebmu.edu.cn
Disclaimer: All claims expressed in this article are solely those of the authors and do not necessarily represent those of their affiliated organizations, or those of the publisher, the editors and the reviewers. Any product that may be evaluated in this article or claim that may be made by its manufacturer is not guaranteed or endorsed by the publisher.
