CLINICAL TRIAL article
Front. Nutr.
Sec. Clinical Nutrition
Targeting gut microbiota with short-chain fructo-oligosaccharides prebiotic fibers to support metabolic health in overweight prediabetic adults: a randomized, double-blinded, placebo-controlled study
Provisionally accepted- 1Tereos SCA, Moussy-le-Vieux, France
- 2Biofortis SAS, Saint-Herblain, France
Select one of your emails
You have multiple emails registered with Frontiers:
Notify me on publication
Please enter your email address:
If you already have an account, please login
You don't have a Frontiers account ? You can register here
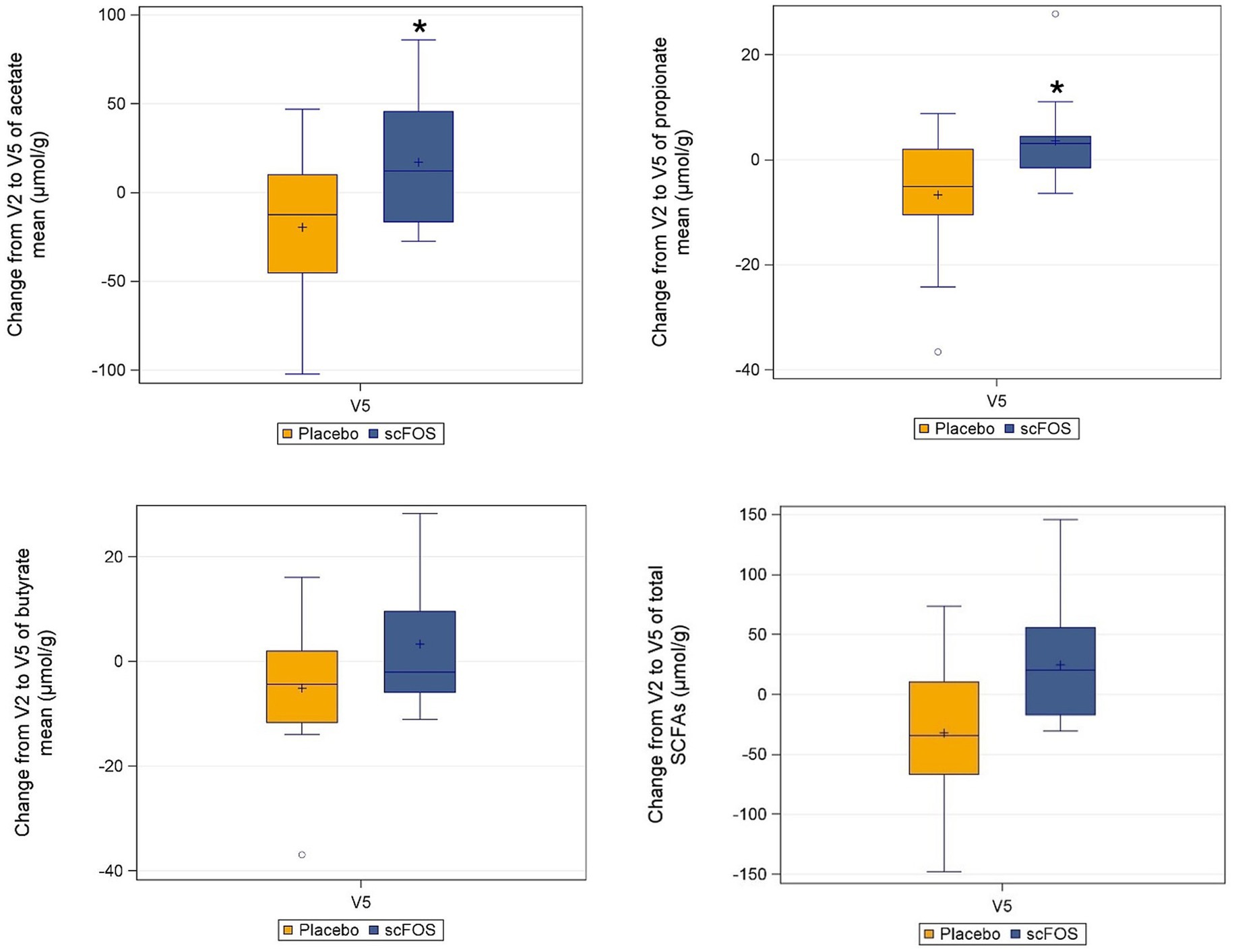
The global rise in metabolic disorders such as obesity and type 2 diabetes is largely driven by dietary changes and sedentary lifestyles. Prebiotic fibers may help mitigate this trend by modulating gut microbiota. This study aimed to evaluate the effects of short-chain fructo-oligosaccharides (scFOS) on glucose homeostasis, body composition and gut microbiota in overweight individuals with prediabetes. In this randomized, double-blind, placebo-controlled, parallel arms trial, participants with fasting glycemia between 1 and 1.25 g/L and BMI between 23 and 35 kg/m² received either 20 g/day of scFOS (Actilight® 950P; Beghin-Meiji) or placebo for 12 weeks. Glucose metabolism, body composition and gut microbiota were assessed at baseline and post-intervention. The primary endpoint was the change in HbA1c level, with a hypothesis of superiority. Participants (n=66) had a mean age of 50.6 ± 9.0 years and BMI of 28.2 ± 2.7 kg/m². Compliance was excellent (> 97%). No significant treatment effect was observed for glucose metabolism markers, including the primary outcome HbA1c (+0.055% with scFOS vs +0.030% with placebo, p=0.6835). However, body composition outcomes favored scFOS: fat mass decreased (medians: -0.26% vs +0.20%, p=0.0273), lean mass increased (+0.27% vs -0.30%; p=0.0279). Body weight remained stable with scFOS while it tended to increase with placebo (estimated means: +0.14 kg vs +0.70 kg; global treatment effect: p=0.0718). Among 30 participants analyzed for gut microbiota, α-diversity decreased in the scFOS arm and increased in placebo across three of four indices (p<0.004), primarily driven by selective microbial shifts. In addition to a significant increase in Bifidobacterium (p=0.0202), scFOS supplementation enriched Anaerostipes, while reducing Blautia and Ruminococcus2 (p<0.05). These changes were accompanied by increased fecal acetate (p=0.0310) and propionate (p=0.0062), contrasting with decreases in placebo. Twelve-week scFOS supplementation in overweight prediabetic adults led to beneficial changes in gut microbiota composition and fermentative activity, along with modest improvements in body composition. Although no significant improvements in glucose homeostasis were observed, this may reflect the moderately impaired metabolic status of participants and interindividual variability in response to prebiotics. Findings nonetheless suggest that scFOS may support gut and metabolic health and contribute to strategies for preventing metabolic disorders. ClinicalTrials.gov: NCT04767672.
Keywords: prebiotic, fructo-oligosaccharides, scFOS, Gut Microbiota, diabetes, Metabolic health, weight management, randomized clinical trial
Received: 03 Oct 2025; Accepted: 27 Nov 2025.
Copyright: © 2025 Le Bourgot, Capronnier, Graf and Carton. This is an open-access article distributed under the terms of the Creative Commons Attribution License (CC BY). The use, distribution or reproduction in other forums is permitted, provided the original author(s) or licensor are credited and that the original publication in this journal is cited, in accordance with accepted academic practice. No use, distribution or reproduction is permitted which does not comply with these terms.
* Correspondence: Cindy Le Bourgot
Disclaimer: All claims expressed in this article are solely those of the authors and do not necessarily represent those of their affiliated organizations, or those of the publisher, the editors and the reviewers. Any product that may be evaluated in this article or claim that may be made by its manufacturer is not guaranteed or endorsed by the publisher.
