SYSTEMATIC REVIEW article
Front. Pain Res.
Sec. Musculoskeletal Pain
Ultrasound-Guided Acupotomy for Cervical Spondylosis: A Systematic Review and Meta-Analysis Based on GRADE Quality Assessment
Provisionally accepted- 1Changzhi People's Hospital, Changzhi, China
- 2Changzhi University, Changzhi, China
- 3Nanjing University of Chinese Medicine, Nanjing, China
Select one of your emails
You have multiple emails registered with Frontiers:
Notify me on publication
Please enter your email address:
If you already have an account, please login
You don't have a Frontiers account ? You can register here
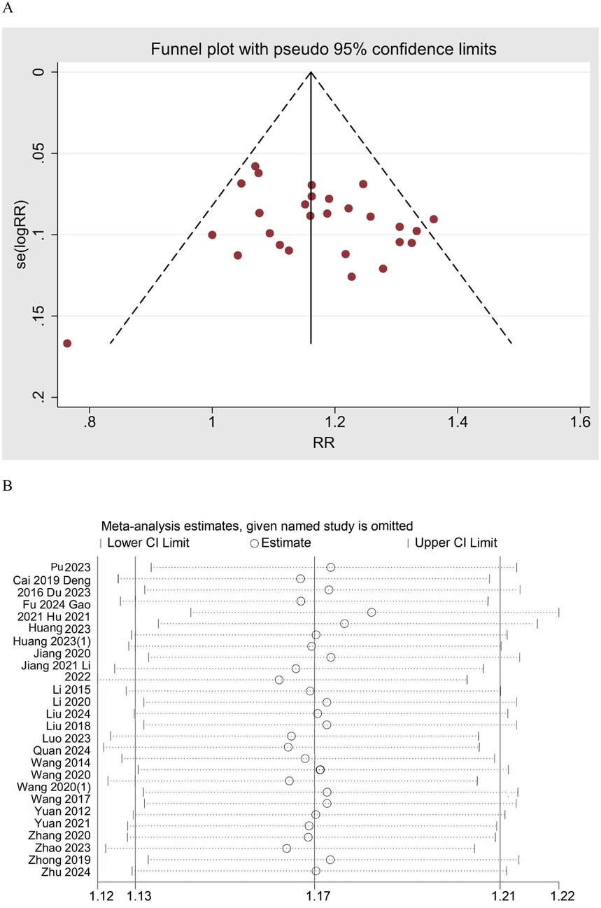
Objective: This study aimed to evaluate the effectiveness of ultrasound-guided acupotomy (UgA) in treating Cervical spondylosis (CS), particularly in pain relief, improvement in cervical range of motion (CROM), and overall clinical efficacy, through a systematic review and meta-analysis based on GRADE quality assessment. Methods: Following PRISMA guidelines, we searched databases including PubMed, Embase, Cochrane Library, Web of Science, and CNKI, Wanfang, Weipu, and Sinomed, identifying 33 randomized controlled trials (RCTs). Inclusion criteria were: patients aged 18–70 with a diagnosis of CS, intervention with UgA, and control groups receiving placebo, physical therapy, or other conventional treatments. Primary outcomes included clinical effective rate and Visual Analog Scale (VAS) for pain, while secondary outcomes encompassed Neck Disability Index (NDI), CROM, and mean flow velocity of vertebral and basilar arteries (MFV-VA/BA). Study quality was assessed using the Cochrane Risk of Bias 2.0 tool, and meta-analysis was conducted using Stata 15.0. The GRADE approach was used to evaluate evidence quality. Results: Meta-analysis revealed that UgA significantly improved the clinical effective rate compared to control treatments (RR=1.17, 95% CI: 1.13–1.21), with low heterogeneity (I²=12%). UgA also demonstrated significant pain reduction (WMD=-0.96, 95% CI: -1.25 to -0.67), albeit with high heterogeneity (I²=91.6%). For secondary outcomes such as NDI, CROM, and MFV-VA/BA, UgA showed moderate improvements, but with considerable heterogeneity. GRADE assessment indicated high-quality evidence for the clinical effective rate, while evidence for VAS, NDI, and CROM was rated as low or very low due to heterogeneity and publication bias. Conclusion: UgA shows superior efficacy for pain and disability in cervical spondylosis compared to non-UgA and other acupuncture related therapies. However, heterogeneity and potential publication bias exist. It requires skilled practitioners and real-time ultrasound guidance for treatment. Future multinational randomized trials with standardized protocols are needed. Registration Information: PROSPERO ID: CRD42025649835
Keywords: cervical spondylosis, ultrasound-guided acupotomy, Meta-analysis, Systematic review, Grade
Received: 17 Jul 2025; Accepted: 28 Oct 2025.
Copyright: © 2025 Zhang, Zhang, Yuan and Zhang. This is an open-access article distributed under the terms of the Creative Commons Attribution License (CC BY). The use, distribution or reproduction in other forums is permitted, provided the original author(s) or licensor are credited and that the original publication in this journal is cited, in accordance with accepted academic practice. No use, distribution or reproduction is permitted which does not comply with these terms.
* Correspondence: Lijian  Zhang, 15234580999@163.com
Disclaimer: All claims expressed in this article are solely those of the authors and do not necessarily represent those of their affiliated organizations, or those of the publisher, the editors and the reviewers. Any product that may be evaluated in this article or claim that may be made by its manufacturer is not guaranteed or endorsed by the publisher.
