ORIGINAL RESEARCH article
Front. Toxicol.
Sec. In Vitro Toxicology
This article is part of the Research TopicApplication of New Approach Methodologies in Toxicological Assessment of Next Generation Tobacco and Nicotine ProductsView all 6 articles
Monocyte Migration Assay Using a Vascular-on-a-Chip Model and its Utilization for the Evaluation of a Heated Tobacco Product
Provisionally accepted- Japan Tobacco (Japan), Tokyo, Japan
Select one of your emails
You have multiple emails registered with Frontiers:
Notify me on publication
Please enter your email address:
If you already have an account, please login
You don't have a Frontiers account ? You can register here
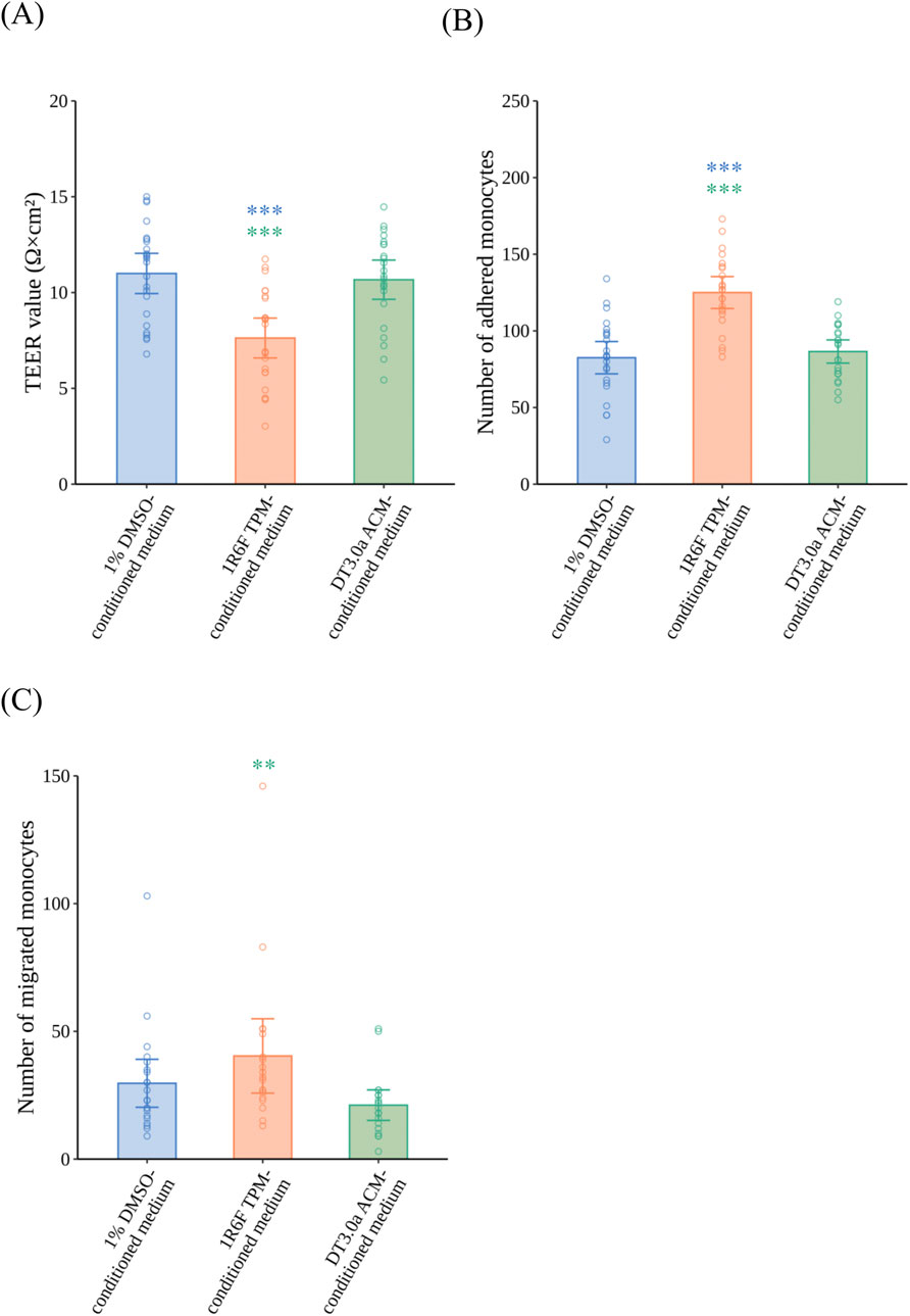
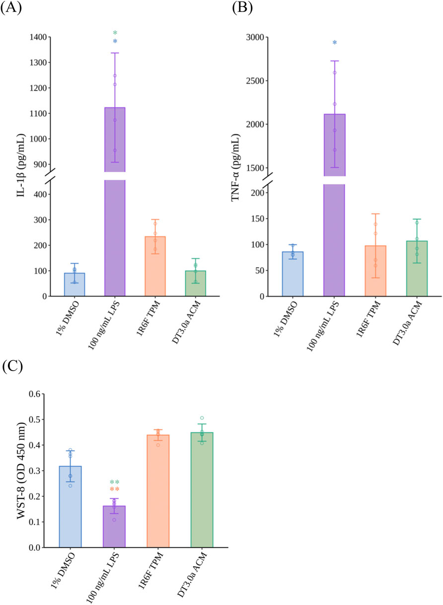
The use of Heated Tobacco Products (HTPs) is expected to have a reduced-risk potential for cardiovascular disease, including atherosclerosis, compared with combustible cigarettes (CCs). Because of the complex relationship between atherosclerosis and lifestyle factors, such as diet, physical activity, and smoking, focusing on the pathogenesis of atherosclerosis will help deepen our understanding of the reduced risk potential of HTPs. Organ-on-a-chip platforms are widely used to mimic human pathophysiology when studying such pathologic manifestations. In this study, a Vascular-on-a-Chip (VoC) model was used to mimic the characteristic physiology of the human vasculature and to establish an assessment model to measure three endpoints: endothelial barrier impairment, monocyte adhesion, and monocyte migration through vascular endothelial cells (VECs), which are the important initial key events in atherosclerosis. Macrophages were exposed to test cigarette smoke (CS) and HTP aerosol extracts, and conditioned medium was collected. VECs cultured on VoC were exposed to these conditioned media to mimic the effects on the vascular system caused by inflammatory responses elicited by inhaled substances. The HTP aerosol-exposed group had significantly reduced endothelial barrier impairment, monocyte adhesion, and monocyte migration compared with the CS-exposed group, and there was no significant difference with the solvent control. In summary, our model provided valuable insights into the reduced risk potential of an HTP compared with a CC by evaluating a series of endpoints in the early stage of atherosclerosis.
Keywords: organ-on-a-chip, Atherosclerosis, cardiovascular disease, Monocyte migration, Heatedtobacco products, Macrophages, New approach methodologies
Received: 02 Jul 2025; Accepted: 02 Oct 2025.
Copyright: © 2025 Hayashida, Nozawa and Ito. This is an open-access article distributed under the terms of the Creative Commons Attribution License (CC BY). The use, distribution or reproduction in other forums is permitted, provided the original author(s) or licensor are credited and that the original publication in this journal is cited, in accordance with accepted academic practice. No use, distribution or reproduction is permitted which does not comply with these terms.
* Correspondence: Ayaka Hayashida, ayaka.hayashida@jt.com
Disclaimer: All claims expressed in this article are solely those of the authors and do not necessarily represent those of their affiliated organizations, or those of the publisher, the editors and the reviewers. Any product that may be evaluated in this article or claim that may be made by its manufacturer is not guaranteed or endorsed by the publisher.
