ORIGINAL RESEARCH article
Front. Toxicol.
Sec. Food and Nutritional Toxicology
This article is part of the Research TopicThe Safety Assessment of Novel Foods and New Nutrient SourcesView all 5 articles
Thai rice instant granules containing turmeric extract and Phyllanthus emblica fruit pulp: Chronic toxicity and antioxidant profiles in rats and in silico investigation of bioactive compounds
Provisionally accepted- 1Center of Veterinary Medical Diagnostic and Animal Health Innovation, Faculty of Veterinary Medicine, Chiang Mai University, Chiang Mai, Thailand
- 2Chiang Mai University Faculty of Veterinary Medicine, Chiang Mai, Thailand
- 3Department of Pharmaceutical Sciences, Faculty of Pharmacy, Chiang Mai University, Chiang Mai, Thailand
- 4Multidisciplinary Research Institute, Chiang Mai University, Muang Chiang Mai, Thailand
Select one of your emails
You have multiple emails registered with Frontiers:
Notify me on publication
Please enter your email address:
If you already have an account, please login
You don't have a Frontiers account ? You can register here
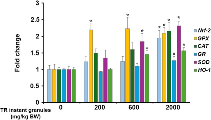
Turmeric (Curcuma longa) and Indian gooseberry (Phyllanthus emblica) are widely used for their ethnopharmacological properties, particularly in ASEAN countries. Recently, our group has formulated Thai rice instant granules containing turmeric extract and Phyllanthus emblica fruit pulp (TR instant granules); however, their toxicity profile has not been evaluated. This study investigated the long-term safety of TR instant granules in rats and assessed their effect on hepatic antioxidant status. Oral administration at doses of 200, 600, and 2,000 mg/kg body weight for 180 days resulted in no toxic effects, behavioral changes, mortality, or alterations in organ weights or hematological parameters. Significant changes were observed in biochemical markers, but there were no histopathological abnormalities. TR instant granules significantly upregulated hepatic antioxidant genes (Nrf2, GPx, CAT, GR, SOD, and HO-1). Phytochemical analysis identified chlorogenic acid and curcumin as major constituents. In silico molecular docking demonstrated that these compounds strongly bind multiple antioxidant enzymes and the Nrf2–Keap1 complex, supporting their potential as effective modulators of cellular antioxidant defenses. Overall, long-term administration of TR instant granules is safe and may enhance antioxidant mechanisms in rats. These findings support the potential development of TR instant granules as a safe functional food or nutraceutical with antioxidant benefits.
Keywords: bioactive compounds, Chronic toxicity, Curcumin, Indian gooseberry, Oryza sativa, Phyllanthus emblica, Thai rice, turmeric
Received: 22 Aug 2025; Accepted: 17 Nov 2025.
Copyright: © 2025 Punvittayagul, Thongtharb, Umsumarng, Chaichit, Okonogi, Ampasavate, Hongwiset and Taya. This is an open-access article distributed under the terms of the Creative Commons Attribution License (CC BY). The use, distribution or reproduction in other forums is permitted, provided the original author(s) or licensor are credited and that the original publication in this journal is cited, in accordance with accepted academic practice. No use, distribution or reproduction is permitted which does not comply with these terms.
* Correspondence: Sirinya Taya, sirinya.t@cmu.ac.th
Disclaimer: All claims expressed in this article are solely those of the authors and do not necessarily represent those of their affiliated organizations, or those of the publisher, the editors and the reviewers. Any product that may be evaluated in this article or claim that may be made by its manufacturer is not guaranteed or endorsed by the publisher.
