Abstract
Recovery of predator populations triggers conflicts due to livestock depredation losses, particularly in Germany where the wolf (Canis lupus) population grows exponentially and livestock (especially sheep) losses raise public concerns and motivate the authorities to control wolf numbers. Yet, the effects of wolf numbers and alternative factors, such as abundance of prey and livestock, on livestock losses in this country are not investigated. In this study, we collected and analyzed data on the numbers of reproductive units of wolves (packs and pairs together) as a surrogate of adult wolf numbers, sheep killed by wolves, living sheep, red deer (Cervus elaphus), roe deer (Capreolus capreolus), and wild boar (Sus scrofa) in every German state and year from 2002 to 2019. We applied a negative binomial Generalized Linear Mixed Model (GLMM) to estimate the effects of these predictors on the numbers of sheep killed by wolves. We also examined the relationships between the percentages of killed/living sheep and the numbers of living sheep. Ranking of 63 models based on the Akaike information criterion revealed that sheep losses were determined by state, year, and number of living sheep, not by wolf numbers, at high precision and accuracy. The number of sheep killed by wolves increased consistently by 41% per year and by 30% for every additional 10,000 sheep, mainly in the north where most wolf territories are concentrated. This means that sheep are protected insufficiently and/or ineffectively. The percentages of killed/living sheep consistently increased by 0.02–0.05% per state and year, with the maximum percentage of 0.7%, on a backdrop of decreasing numbers of living sheep. In conclusion, we demonstrate that sheep losses in Germany have been driven by the expansion of the wolf population, not by wolf numbers, and by the number of sheep available. We suggest that Germany’s wolf conservation policy should focus on alternative non-lethal interventions, enforcement and standardization of intervention monitoring, and promotion of wolf tolerance rather than on lethal control of wolf population size.
Introduction
The recovery of large predator populations and their return to the areas where they formerly were extirpated have been a fascinating result of long-term and dedicated conservation efforts (Chapron et al., 2014; Hamilton et al., 2020). However, apart from satisfaction and enthusiasm, these processes also bring high costs of co-existence and co-adaptation between humans and predators in a new reality (Carter and Linnell, 2016; Bergstrom, 2017; Kuijper et al., 2019; Boronyak et al., 2020; Cretois et al., 2021; Gervasi et al., 2021). Predators may trespass public places, frighten and in exceptional cases attack people, affect human behavior and lifestyle, and inflict financial losses by killing livestock, damaging crops, reducing productivity of stressed livestock, and increasing workload and anxiety of affected people (Barua et al., 2013; Steele et al., 2013; Widman et al., 2019; Khorozyan and Waltert, 2020). Human-predator conflicts have also been fueled by non-economic reasons such as intrinsic fear, traditions, superstitions, and other socio-psychological factors even when damage is negligible or none (Pooley et al., 2016). Thus, perceptions and tolerance are no less important than tangible losses in transforming human-predator conflicts into human-predator co-existence (Pătru-Stupariu et al., 2020). All these aspects make human-predator conflicts a long-lasting challenge for biodiversity conservation and local livelihoods, which needs to define the key factors that underlie a problem, specify factor-specific solutions, and mobilize human and other resources for their practical applications (van Eeden et al., 2018; Khorozyan and Waltert, 2019; Sutherland et al., 2020).
All this is very relevant to the recovery and recolonization of wolves (Canis lupus) in Germany from Poland. Beginning from 2000 when the first pair of wolves was established in eastern Germany’s state of Sachsen (Saxony) until 2019–2020, the wolf population in the country has increased up to 175 territories, including 128 packs, 38 pairs, and nine individuals living in 12 out of 16 states (Dokumentations- und Beratungsstelle des Bundes zum Thema Wolf [DBBW], 2020a). Currently, only the city-states of Berlin, Hamburg and Bremen, and the smallest state of Saarland, do not have resident wolves. Wolf numbers in the country grow exponentially, on average by 28% per year, due to population expansion fostered by high mobility, reproductive potential and adaptability of wolves, prey abundance, and the presence of suitable corridors and stepping stones (Reinhardt and Kluth, 2016; Reinhardt et al., 2019, 2021; Plaschke et al., 2021). Therefore, it is not surprising that increasing losses of domestic livestock and farmed game species are associated with increasing wolf numbers. Like elsewhere in Europe (Gervasi et al., 2021), most of the damage has been inflicted on sheep, which make about 80% of all livestock and farmed game species killed annually by this predator in Germany (Dokumentations- und Beratungsstelle des Bundes zum Thema Wolf [DBBW], 2017, 2018, 2019, 2020b). In 2019, 2894 domestic animals and farmed game, including 2476 sheep, were killed by wolves (Dokumentations- und Beratungsstelle des Bundes zum Thema Wolf [DBBW], 2020b). However, the contribution of domestic animals and game to prey biomass consumed by wolves does not exceed 2% and the main prey are the wild ungulates such as the roe deer (Capreolus capreolus), red deer (Cervus elaphus) and wild boar (Sus scrofa) (Ansorge et al., 2006; Wagner et al., 2012; Reinhardt et al., 2021).
The soaring numbers of wolves and domestic animals killed by them in Germany make a general impression that these numbers are causally correlated (Kaartinen et al., 2009) and that lethal control of wolf numbers is the most obvious intervention to be used to keep losses down (Straka et al., 2020). The German public acceptance of wolf and positive attitudes are generally high, but the recognition of associated risks is also rising (Lehnen et al., 2021). For example, the proportion of respondents supporting wolf killing increased from 56% in 2015 to 65% in 2018, with more support coming consistently from men, northern states with most wolf records, older (>60 years) people (NABU, 2015, 2018), and from those who adhere to human domination over nature (Hermann et al., 2013; Straka et al., 2020). Information sources shape public opinions on wolves and their killing in Germany; therefore, they should prevent and counteract disinformation, avoid one-sided views, exaggerations and stereotypes, and provide only reliable and evidence-based information (Arbieu et al., 2019; Lehnen et al., 2021).
In 2019, the German Parliament issued an amendment to the federal nature conservation law allowing to ease the killing of wolves in response to livestock depredation (Deutscher Bundestag, 2019). This document downgrades the permitting threshold from “considerable damage” to “serious damage,” allows killing until no further losses are inflicted what may lead to the destruction of full packs, and does not mention the use or monitoring of alternative non-lethal conflict mitigation measures (Deutscher Bundestag, 2019; Kiffner et al., 2019). These conditions probably do not comply with the EU Habitats Directive, which is the main legal framework to protect wolves and other biodiversity in Europe (Epstein et al., 2019; Köck, 2019). Thus, human–wolf conflict over depredation transforms into a political human–human conflict between stakeholders (Köck, 2019) and makes the achievement of human–wolf co-existence a top priority for Germany’s conservation agenda (Kuijper et al., 2019; König et al., 2020; Führes, 2021). More information is urgently needed to reach this goal to understand whether wolf numbers are indeed a strong determinant of livestock losses or other factors can be more relevant. Livestock losses can be inversely related to the abundance of wild prey, making depredation common in prey–lean areas (Newsome et al., 2016), or increase with the numbers and, hence, availability of livestock (Hanley et al., 2018). Scientific research on this topic using modeling approaches appears to be a timely and much needed work to do and report to conservation decision-makers in Germany.
In this study, we tested three hypotheses that sheep losses in Germany are (1) higher in states where wolf numbers are higher, and wolf number is the primary determinant of sheep losses, (2) higher in states where the abundance of wild prey (wild boar, roe deer, and red deer) is lower, and (3) higher in states where the numbers of sheep are higher. We define the most critical predictors of sheep losses to wolves and consider them in light of mitigation of escalating human–wolf conflicts in the country.
Materials and Methods
Data Collection
We compiled a database encompassing the data for each year from 2002 to 2019 for each state of Germany where wolves were recorded. We selected this period of time because the earlier (2001) and later (2020) years contained missing values and we excluded these years to equalize sample sizes and make depredation models comparable in the ranked model set (Symonds and Moussali, 2011; see section “Data Analysis”).
The numbers of wolf packs and pairs were retrieved from the Federal Documentation and Consultation Centre on Wolves (Dokumentations- und Beratungsstelle des Bundes zum Thema Wolf, DBBW1). Annual wolf monitoring has been conducted in Germany from May 1 to April 30 and then its results are agreed upon and finalized in autumn (Dokumentations- und Beratungsstelle des Bundes zum Thema Wolf [DBBW], 2020c), thus making wolf data valid for the year of that autumn. As the wolf population size in Germany is unknown, we calculated the number of reproductive units (packs and pairs together) as a surrogate of the number of adult wolves capable of killing livestock.
We collected the numbers of sheep killed by wolves from official reports of livestock depredation losses for 2016–2019 (Dokumentations- und Beratungsstelle des Bundes zum Thema Wolf [DBBW], 2017, 2018, 2019, 2020b) and from the information letter 18/10110 of the German Parliament for 2002–2015 (kindly provided by K. Steyer, Federal Agency for Nature Conservation/Bundesamt für Naturschutz, BfN). The numbers of living sheep were obtained from the database of the Federal Statistical Office of Germany, GENESIS v. 4.3.1.U2-20202. The annual numbers of red deer, roe deer and wild boars officially hunted in states were retrieved from Wildlife Information System of German States (Wildtier- Informationsystem der Länder Deutschlands) v. 7.9.260 produced and maintained by German Hunting Association (Deutscher Jagdverband e.V3). The numbers of hunted individuals have been used officially as the indicators of actual population sizes of these three ungulate species. All these methods of data collection are standardized, the process of monitoring is continuous, and this information is used nationwide as the official, most reliable and best available one.
Data Analysis
We estimated how the response variable of the number of sheep killed by wolves was affected by the following potential predictors per state and year: state (integer nominal variable), year, number of reproductive units of wolves, number of living sheep (×10,000 individuals), number of red deer, number of roe deer, number of wild boars, number of sheep/red deer, number of sheep/roe deer, and number of sheep/wild boar. To avoid data dredging, we set the actual number of predictors used in the analysis as a maximum of one-tenth of the number of data cases (Grueber et al., 2011), selecting the most meaningful predictors for this. Each case represented a row of response and predictor data in the dataset. As the response variable was a count statistic, we checked for Poisson distribution and found it to be inappropriate due to overdispersion (Kolmogorov–Smirnov Z = 5.804, p < 0.001, mean = 98.99, variance = 16,978.32). Therefore, we applied a Generalized Linear Mixed Model (GLMM) with negative binomial distribution and log link (Koper and Manseau, 2009; Coelho et al., 2020). We ran an array of models with the main effects of one, two and three predictors in order to keep the most parsimonious models, avoid overfitting and foster interpretability of models (Chatterjee and Simonoff, 2013). We ranked models according to the Akaike Information Criterion corrected for small sample size (AICc), with the best models being selected as those having ΔAICc < 2 and the highest model weights wi toward 1 (Symonds and Moussali, 2011). We measured wi also for the most important predictors by summing up wi of models containing them. The effects of predictors were determined from their slopes (β) and the significance of their difference from zero at p = 0.005. We set the significance level at a much more conservative level than conventional p = 0.05 to increase the strength and reproducibility of results and to minimize the occurrence of false negatives and positives (Benjamin et al., 2018). Odds ratio expβ was measured as the effect size and we also considered its 99% confidence interval resultant from a conservative p-value. Odds ratio indicates an increase if > 1 (e.g., by 20% if it is equal to 1.20), decrease if < 1 (e.g., by 60% if it is 0.40) or no change if = 1 (Lesniak et al., 2018; Khorozyan, 2020). Although information-theoretic and hypothesis testing approaches are conceptually different and their concurrent use is debated for long (Qian, 2014), we checked the AICc-based best models for statistical significance to be sure that they are indeed robust and not selected as the best out of all bad models (Poudyal et al., 2016).
The precision of the best GLMM models was estimated by plotting 99% confidence intervals of predicted values and overlapping them with original values of the number of sheep killed by wolves. These models were validated by 10-fold cross-validation and the accuracy of their predictions was estimated by calculation of mean root-mean-square error (RMSE) ± standard error (SE) from 10 random training/test sub-samples (Coelho et al., 2020; Khorozyan, 2020). SE was used as a measure of variation throughout the study.
We fitted linear regression (Chatterjee and Simonoff, 2013) to examine annual trends in percentages of killed/living sheep and numbers of living sheep in states with >5 annual data. Annual changes in these percentages and numbers of living sheep were determined from the slopes (β). All statistical analyses were conducted in IBM SPSS Statistics v. 26 (United States).
Results
Our dataset consisted of 79 cases and, therefore, we used seven predictors: state, year, number of reproductive units of wolves, number of living sheep, number of red deer, number of roe deer, and number of wild boars. The running of 63 GLMM models led to one best model, in which the number of sheep killed by wolves was best explained by the German state, year, and number of living sheep (Table 1). The dataset is available in the Supplementary Material.
TABLE 1
| Model | AICc | ΔAICc | w i | x | F | p |
| state + year + No. living sheep | 804.550 | 0.000 | 0.747 | 1 | 69.035 | < 0.001 |
| 2 | 96.856 | < 0.001 | ||||
| 3 | 10.944 | 0.002 | ||||
| state + year + No. wild boars | 808.452 | 3.902 | 0.106 | 1 | 624.746 | < 0.001 |
| 2 | 53.632 | < 0.001 | ||||
| 3 | 5.646 | 0.020 | ||||
| state + year | 809.008 | 4.458 | 0.080 | 1 | 119.353 | < 0.001 |
| 2 | 71.119 | < 0.001 | ||||
| state + year + No. reproductive units | 811.241 | 6.691 | 0.026 | 1 | 122.243 | < 0.001 |
| 2 | 15.858 | < 0.001 | ||||
| 3 | 0.991 | 0.323 | ||||
| state + year + No. red deer | 811.748 | 7.198 | 0.020 | 1 | 120.289 | < 0.001 |
| 2 | 53.726 | < 0.001 | ||||
| 3 | 0.231 | 0.632 | ||||
| state + year + No. roe deer | 811.921 | 7.371 | 0.019 | 1 | 63.712 | < 0.001 |
| 2 | 71.514 | < 0.001 | ||||
| 3 | 0.315 | 0.577 | ||||
| year + No. reproductive units + No. roe deer | 818.452 | 13.902 | 0.001 | 1 | 17.690 | < 0.001 |
| 2 | 18.043 | < 0.001 | ||||
| 3 | 6.769 | 0.011 |
The set of the best model (ΔAICc < 2) and six low-ranked models of the number of sheep killed by wolves (Canis lupus) in Germany in 2002–2019, which altogether attain the cumulative model weight of 1.
Abbreviations: AICc, Akaike Information Criterion corrected for small sample size; ΔAICc, delta of AICc; F, F statistic; p, significance level; wi, model weight; x, predictor of the model (first if 1, second if 2, and third if 3).
From this best GLMM model, significantly more sheep were killed in the northern states of Germany which were recolonized by wolves first in 2000–2008 (Sachsen, Sachsen–Anhalt, Brandenburg and Mecklenburg–Vorpommern) than in the southern ones (Baden–Württemberg and Bayern) compared to the central state of Thüringen (Table 2 and Figure 1). The number of sheep killed by wolves increased consistently by 41% per year and by 30% for every additional 10,000 sheep (Table 2). So, annual sheep losses increased consistently over time along with the recolonization of states by wolves, but regardless of wolf numbers. The most important predictors of sheep losses were year (wi = 1.000) and state (wi = 0.999), followed by the number of living sheep (wi = 0.747). This model had high precision (adequate coverage by 99% confidence intervals, Figure 1) and high accuracy (mean RMSE = 42.47 ± 0.66, which is much lower than the mean number of sheep killed per state and year = 98.99).
TABLE 2
| Predictor | β | SE (β) | t | p | OR (99% CI) |
| Intercept | –685.75 | 70.47 | –9.73 | < 0.001 | |
| BW | –4.15 | 0.80 | –5.19 | < 0.001 | 0.02 (0.00–0.13) |
| BY | –6.27 | 1.15 | –5.44 | < 0.001 | 0.00 (0.00–0.04) |
| BB | 3.11 | 0.61 | 5.13 | < 0.001 | 22.50 (4.50–112.56) |
| HE | 1.29 | 0.84 | 1.55 | 0.127 | 3.64 (0.40–33.39) |
| MV | 2.45 | 0.66 | 3.69 | < 0.001 | 11.59 (1.99–67.41) |
| NI | 0.91 | 0.47 | 1.91 | 0.060 | 2.48 (0.70–8.71) |
| NW | –0.33 | 0.38 | –0.85 | 0.396 | 0.72 (0.26–1.99) |
| RP | –0.31 | 0.58 | –0.53 | 0.599 | 0.74 (0.16–3.45) |
| SN | 3.30 | 0.62 | 5.34 | < 0.001 | 26.98 (5.25–138.55) |
| ST | 2.33 | 0.65 | 3.59 | 0.001 | 10.23 (1.84–57.01) |
| SH | –0.61 | 0.68 | –0.89 | 0.377 | 0.55 (0.09–3.30) |
| TH* | 0 | ||||
| Year | 0.34 | 0.03 | 9.84 | < 0.001 | 1.41 (1.28–1.54) |
| No. living sheep | 0.26 | 0.08 | 3.31 | 0.002 | 1.30 (1.05–1.60) |
The best model (ΔAICc < 2) output of the effects of state, year, and number of living sheep (×10,000 individuals) on the number of sheep killed by wolves in Germany.
Abbreviations: β, slope of model; CI, confidence interval; OR, odds ratio; p, significance level; SE (β), standard error of slope; t, t statistic. States: BW, Baden–Württemberg; BY, Bayern; BB, Brandenburg; HE, Hessen; MV, Mecklenburg–Vorpommern; NI, Niedersachsen; NW, Nordrhein–Westfalen; RP, Rheinland–Pfalz; SN, Sachsen; ST, Sachsen–Anhalt; SH, Schleswig–Holstein; TH, Thüringen. *The β of Thüringen is set to zero due to redundancy.
FIGURE 1

The (A) map showing the German states and the years of their recolonization by wolves and (B) the graphs of actual and predicted numbers of sheep killed by wolves in states over years. The graphs include only the states with >5 annual data. States: BB, Brandenburg; BE, Berlin; BW, Baden–Württemberg; BY, Bayern; HB, Bremen; HE, Hessen; HH, Hamburg; MV, Mecklenburg–Vorpommern; NI, Niedersachsen; NW, Nordrhein–Westfalen; RP, Rheinland–Pfalz; SL, Saarland; SH, Schleswig–Holstein; SN, Sachsen; ST, Sachsen–Anhalt; TH, Thüringen. Map: adapted from https://www.freevector.com/map-of-germany.
The next six models, which incremented wi of the model set to the maximum of 1, were weak and showed only slight effects of the numbers of reproductive units of wolves and their prey on sheep losses to wolves (Table 1). The weights of these predictors were low: 0.106 for the number of wild boars, 0.027 for the number of reproductive units, 0.020 for the number of red deer and 0.019 for the number of roe deer.
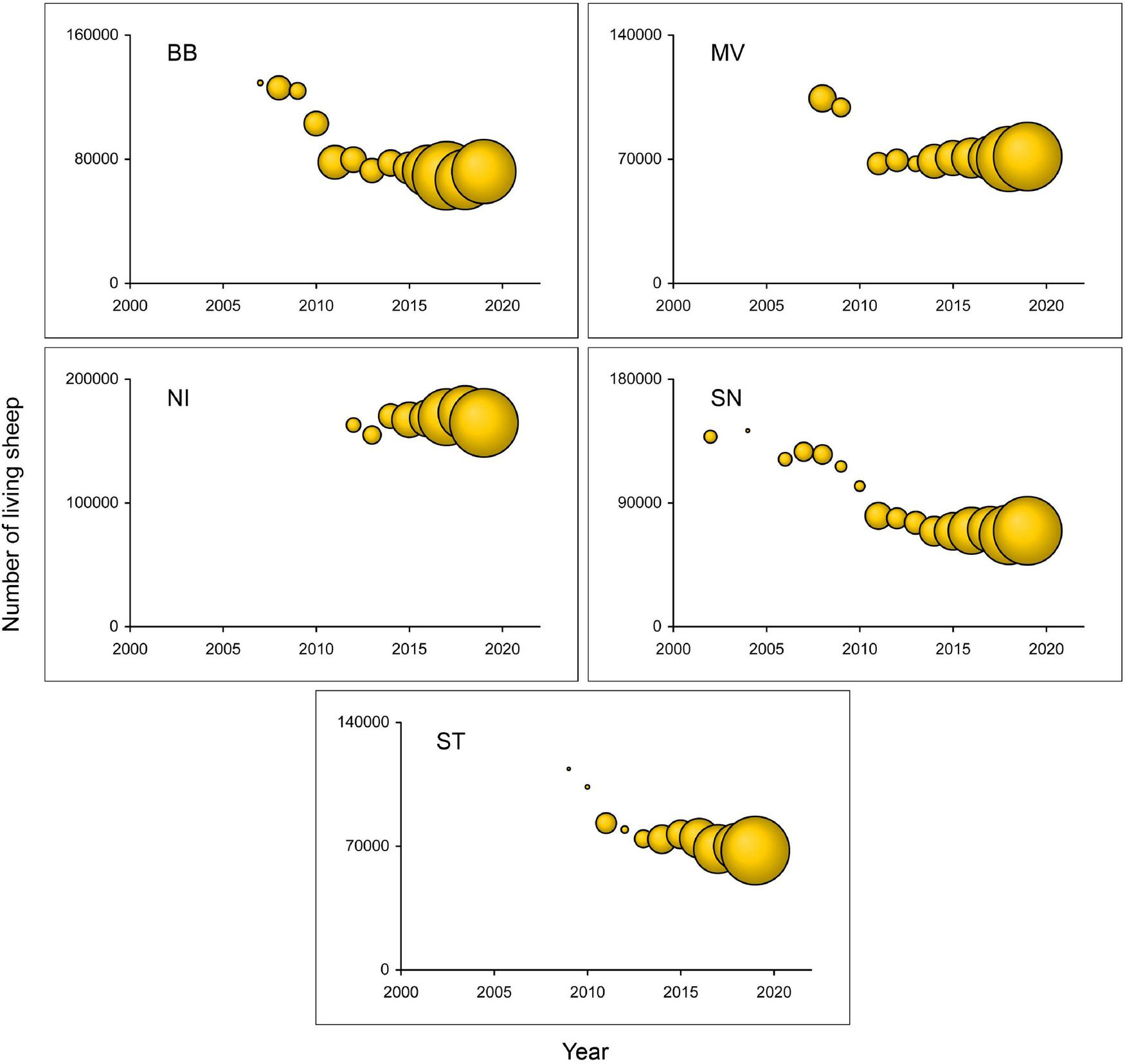
The numbers of living sheep significantly decreased over years in Brandenburg [−5265.3 ± 894.8 sheep/year, R2 = 0.759, F(1,11) = 34.628, p < 0.001], Sachsen [−5305.8 ± 437.3 sheep/year, R2 = 0.902, F(1,16) = 147.200, p < 0.001] and Sachsen–Anhalt [−3792.6 ± 793.6 sheep/year, R2 = 0.717, F(1,9) = 22.836, p = 0.001]. These numbers stayed stable in Mecklenburg–Vorpommern [−2420.2 ± 812.2 sheep/year, R2 = 0.470, F(1,10) = 8.879, p = 0.014] and Niedersachsen [1204.8 ± 783.2 sheep/year, R2 = 0.283, F(1,6) = 2.366, p = 0.175] (Figure 2). The percentages of killed/living sheep significantly increased in all these states by an average of 0.03 ± 0.01% per state and year (range 0.02–0.05%, mean R2 = 0.75 ± 0.04, n = 5, all p ≤ 0.001) (Figure 2). The maximum percentage of killed/living sheep was 0.44 ± 0.07% per state and year (range 0.25–0.67%, n = 5), with the upper estimate of 0.67% being also the maximum for all our dataset.
FIGURE 2

An increase of the percentage of killed/living sheep (bubble diameter) in relation to changes in the numbers of living sheep in German states over years. The graphs include only the states with >5 annual data. States: BB, Brandenburg; MV, Mecklenburg–Vorpommern; NI, Niedersachsen; SN, Sachsen; ST, Sachsen–Anhalt.
Discussion
This study has clearly demonstrated that sheep losses to wolf attacks in Germany were not related to the numbers of adult wolves or prey, but were determined by states, years, and numbers of living sheep. Sheep losses tended to increase by 41% per year and by 30% for every additional 10,000 sheep regardless of wolf numbers, but they were higher in the north, where most wolf territories are concentrated (Dokumentations- und Beratungsstelle des Bundes zum Thema Wolf [DBBW], 2020a; Reinhardt et al., 2021). These patterns were well predictable and appeared to be precise and accurate (Figure 1). Thus, our study rejected the first two hypotheses (a positive and main effect of wolf number and an inverse effect of prey numbers on sheep losses) and supported the third one (a positive effect of sheep number). Our results mean that an increase of sheep depredation by wolves is progressing simultaneously all over the country along with the expansion of the wolf population. Additionally, they imply that sheep in Germany are protected insufficiently and/or ineffectively and killed more in sheep-rich states where chances to encounter and kill a sheep are higher.
In contrast to other studies where wolf number was the best predictor of sheep losses (Kaartinen et al., 2009), our result could be caused by highly variable predisposal of wolves to sheep killing. As wild prey is abundant in Germany and wolves can survive without attacks on livestock (Reinhardt et al., 2021), some problem individuals can be notorious for killing disproportionately high numbers of livestock (surplus killing) and thus cause variation in depredation rates. One of the best-known examples of such problem wolves in Germany was a male which killed over 40 sheep in 2019 in a newly recolonized state of Schleswig–Holstein (Figure 1; Anonymous, 2020) where only two territorial wolves were, and are still, living (Dokumentations- und Beratungsstelle des Bundes zum Thema Wolf [DBBW], 2020a). Possible existence of high-risk depredation hotspots (Treves et al., 2011) also may ensure geographical variation in sheep losses and requires in-depth research (I. Reinhardt, pers. comm.). As the wolf population size is not so high yet in the country, individual and spatial variation in livestock killing vs. no-killing cases will remain significant.
Our results closely agree with those of large-scale studies of wolf depredation on sheep in Europe (Gervasi et al., 2021) and cattle and sheep in several US states (Wielgus and Peebles, 2014; re-analyzed by Poudyal et al., 2016). It was found out that wider wolf distribution and higher sheep numbers were the main determinants increasing the numbers of sheep killed by wolves and then compensated (Gervasi et al., 2021) and the numbers of wolf breeding pairs analogous to breeding units in our study did not affect losses of cattle and sheep (Poudyal et al., 2016). Predator number can be a weak predictor of sheep losses at large scales, but play a more important role at local scales of management units where more wolves have higher chances to kill more sheep. Distribution is a geographical factor indicating the presence of wolves, which increases over time in recolonizing species, rather than a numerical factor of wolf numbers. Meantime, as the exposure to predators becomes longer, sheep losses tend to decrease due to co-adaptation of predators and local societies (Gervasi et al., 2021). This is a good perspective for Germany where sheep losses are still on the rise as the wolf recolonization is “young,” but they are expected to recede over time with the wolf population approaching its carrying capacity (Fechter and Storch, 2014) and farmers protecting their livestock and becoming more tolerant (Cretois et al., 2021). Imbert et al. (2016) also report that livestock protection and stabilization of wolf packs lead to the decline of livestock losses over time.
Another significant result of this study was that the percentages of killed to living sheep increased over the years on a backdrop of decreasing sheep holdings in German states (Figure 2). This decline in sheep holdings is in accordance with decreasing sheep stocks in Germany and many other European countries for political and economic reasons (Linnell and Cretois, 2018). This trend aggravates financial losses incurred by sheep breeders and may serve as a solid ground for the agricultural sector to lobby for lethal control of wolf numbers. In this case, the wolf may become a symbol of tensions between biodiversity conservation and agricultural development agenda and a scapegoat for a failure of the authorities to support sheep farming (Chapron and López-Bao, 2014). However, conservation policy related to wolf and other large predators is unlikely to be uniform across Europe due to inherent cultural, environmental, and socio-political differences between its countries (Gippoliti et al., 2018).
We show that the percentages of killed/living sheep in German states increased by only 0.02–0.05% per year and the maximum percentage was nearly 0.7%. Considering negligible levels of damage and the economic capacity of Germany to compensate this loss, we think that the national and regional conservation policy should continue to pay compensations and subsidize the use of livestock protection interventions as it does now (nearly 9.5 million Euro spent in 2020, Dokumentations- und Beratungsstelle des Bundes zum Thema Wolf [DBBW], 2021). However, compensation and subsidy payments are not a sustainable solution when wolf numbers are rapidly increasing and proper monitoring of intervention effectiveness is lacking (Boitani et al., 2010). Therefore, more efforts should be taken to (1) search and apply alternative, previously untested non-lethal interventions (Reinhardt et al., 2012; Bruns et al., 2020); (2) enforce and standardize the mechanisms of monitoring and troubleshooting of the use of interventions (Bundesamt für Naturschutz [BfN], 2019; Kamp, 2021); and (3) promote wolf tolerance through outreach education (Straka et al., 2020) and professional training of the most vulnerable groups such as livestock (especially sheep) owners, hunters, tourists, and other nature lovers.
In spite of subsidies provided by German states to apply livestock protection interventions, primarily electric fences, in many cases these interventions are used loosely and reluctantly (Kamp, 2021), their monitoring is insufficient, and most of the livestock are still unprotected. As a result, wolves learn to overcome interventions, habituate and make them ineffective. This requires a standardization of legally framed government-farmer relationships and intervention monitoring procedures across the states responsible for implementing wolf management plans. As agricultural workers and hunters are dominated by men (Hermann et al., 2013), and men are more inclined to support wolf killing (NABU, 2015, 2018), education and training should be designed to target the men’s audience and tailored to their age, background and mentality. These activities should be carried out in adherence to the management plans of German states and the standardized framework of actions and their specifications which was published by the network of German non-governmental conservation organizations (Kucznik et al., 2020).
As this study was conducted at a large scale of all Germany, we suggest that its results and extrapolations are valid only at this scale, and at smaller scales sheep losses can depend on factors that we did not consider. Therefore, more information on wolf–sheep relationships is required at medium and fine scales, such as the roles of protection interventions, local sheep and wolf densities, landscapes, infrastructure, and other factors. This research will be a very timely and important contribution to the maintenance of wolf recovery and local livelihoods in European human-dominated landscapes where large predators demonstrate a remarkable comeback.
Publisher’s Note
All claims expressed in this article are solely those of the authors and do not necessarily represent those of their affiliated organizations, or those of the publisher, the editors and the reviewers. Any product that may be evaluated in this article, or claim that may be made by its manufacturer, is not guaranteed or endorsed by the publisher.
Statements
Data availability statement
The original contributions presented in the study are included in the article/Supplementary Material, further inquiries can be directed to the corresponding author.
Author contributions
Both authors conceived the ideas, designed methodology, led the writing of the manuscript, contributed critically to the drafts, and gave final approval for publication. IK collected and analyzed the data.
Acknowledgments
We sincerely thank H. Ansorge (Senckenberg Museum of Natural History), K. Steyer (Federal Agency for Nature Conservation), and C. Dormann (University of Freiburg) for their support, advice, and provision of information. We are also grateful to M. Soofi (University of Göttingen) for valuable discussions and assistance.
Conflict of interest
The authors declare that the research was conducted in the absence of any commercial or financial relationships that could be construed as a potential conflict of interest.
Supplementary material
The Supplementary Material for this article can be found online at: https://www.frontiersin.org/articles/10.3389/fevo.2022.778917/full#supplementary-material
Footnotes
References
1
Anonymous (2020). Problem mit Wolf durch Strassenverkkehr gelöst. Available online at: https://www.natuerlich-jagd.de/news/problem-mit-wolf-gw924m-durch-strassenverkehr-geloest.html(accessed July 15, 2021).
2
Ansorge H. Kluth G. Hahne S. (2006). Feeding ecology of wolves Canis lupus returning to Germany.Acta Theriol.5199–106. 10.1007/BF03192661
3
Arbieu U. Mehring M. Bunnefeld N. Kaczensky P. Reinhardt I. Ansorge H. et al (2019). Attitudes towards returning wolves (Canis lupus) in Germany: exposure, information sources and trust matter.Biol. Conserv.234202–210. 10.1016/j.biocon.2019.03.027
4
Barua M. Bhagwat S. A. Jadhav S. (2013). The hidden dimensions of human-wildlife conflict: health impacts, opportunity and transaction costs.Biol. Conserv.157309–316. 10.1016/j.biocon.2012.07.014
5
Benjamin D. J. Berger J. O. Johannesson M. Nosek B. A. Wagenmakers E.-J. Berk R. et al (2018). Redefine statistical significance.Nat. Hum. Behav.26–10. 10.1038/s41562-017-0189-z
6
Bergstrom B. J. (2017). Carnivore conservation: shifting the paradigm from control to coexistence.J. Mammal.981–6. 10.1093/jmammal/gyw185
7
Boitani L. Ciucci P. Raganella-Peliccioni E. (2010). Ex-post compensation payments for wolf predation on livestock in Italy: A tool for conservation?Wildl. Res.37722–730. 10.1071/WR10029
8
Boronyak L. Jacobs B. Wallach A. (2020). Transitioning towards human-large carnivore coexistence in extensive grazing systems.Ambio491982–1991. 10.1007/s13280-020-01340-w
9
Bruns A. Waltert M. Khorozyan I. (2020). The effectiveness of livestock protection measures against wolves (Canis lupus) and implications for their co-existence with humans.Glob. Ecol. Conserv.21:e00868. 10.1016/j.gecco.2019.e00868
10
Bundesamt für Naturschutz [BfN] (2019). Empfehlungen zum Schutz von Weidetieren und Gehegewild vor dem Wolf. Konkrete Anforderungen an die empfohlenen Präventionsmaßnahmen. BfN-Skripten 530.Bonn: Bundesamt für Naturschutz.
11
Carter N. H. Linnell J. D. C. (2016). Co-adaptation is key to coexisting with large carnivores.Trends Ecol. Evol.31575–578. 10.1016/j.tree.2016.05.006
12
Chapron G. López-Bao J. V. (2014). Conserving carnivores: politics in play.Science3431199–1200. 10.1126/science.343.6176.1199-b
13
Chapron G. Kaczensky P. Linnell J. D. C. von Arx M. Huber D. Andrén H. et al (2014). Recovery of large carnivores in Europe’s modern human-dominated landscapes.Science3461517–1519. 10.1126/science.1257553
14
Chatterjee S. Simonoff J. S. (2013). Handbook of Regression Analysis.Hoboken NJ: John Wiley & Sons.
15
Coelho R. Infante P. Santos M. N. (2020). Comparing GLM, GLMM, and GEE modeling approaches for catch rates by bycatch species: a case study of blue shark fisheries in the South Atlantic. Fish. Oceanogr.29169–184. 10.1111/fog.12462
16
Cretois B. Linnell J. D. C. van Moorter B. Kaczensky P. Nilsen E. B. Parada J. et al (2021). Coexistence of large mammals and humans is possible in Europe’s anthropogenic landscapes.iScience24:103083. 10.1016/j.isci.2021.103083
17
Deutscher Bundestag (2019). Entwurf eines Zweiten Gesetzes zur Änderung des Bundesnaturschutzgesetzes. Available online at: http://dip21.bundestag.de/dip21/btd/19/108/1910899.pdf(accessed July 14, 2021).
18
Dokumentations- und Beratungsstelle des Bundes zum Thema Wolf [DBBW] (2017). Wolfsverursachte Schäden, Präventions- und Ausgleichszahlungen in Deutschland 2016. Available online at: https://www.dbb-wolf.de(accessed July 8, 2021).
19
Dokumentations- und Beratungsstelle des Bundes zum Thema Wolf [DBBW] (2018). Wolfsverursachte Schäden, Präventions- und Ausgleichszahlungen in Deutschland 2017. Available online at: https://www.dbb-wolf.de(accessed July 12, 2021).
20
Dokumentations- und Beratungsstelle des Bundes zum Thema Wolf [DBBW] (2019). Wolfsverursachte Schäden, Präventions- und Ausgleichszahlungen in Deutschland 2018. Available online at: https://www.dbb-wolf.de(accessed July 11, 2021).
21
Dokumentations- und Beratungsstelle des Bundes zum Thema Wolf [DBBW] (2020a). Wolfterritorien in Deutschland. Available online at: https://www.dbb-wolf.de(accessed July 14, 2021).
22
Dokumentations- und Beratungsstelle des Bundes zum Thema Wolf [DBBW] (2020b). Wolfsverursachte Schäden, Präventions- und Ausgleichszahlungen in Deutschland 2019. Available online at: https://www.dbb-wolf.de(accessed July 9, 2021).
23
Dokumentations- und Beratungsstelle des Bundes zum Thema Wolf [DBBW] (2020c). Wölfe in Deutschland. Statusbericht 2019/20. Available online at: https://www.dbb-wolf.de(accessed July 8, 2021).
24
Dokumentations- und Beratungsstelle des Bundes zum Thema Wolf [DBBW] (2021). Präventions- und Ausgleichszahungen. Available online at: https://www.dbb-wolf.de(accessed July 7, 2021).
25
Epstein Y. Christiernsson A. López-Bao J. V. Chapron G. (2019). When is it legal to hunt strictly protected species in the European Union?Conserv. Sci. Pract.1:e18. 10.1111/csp2.18
26
Fechter D. Storch I. (2014). How many wolves (Canis lupus) fit into Germany? The role of assumptions in predictive rule-based habitat models for habitat generalists.PLoS One9:e101798. 10.1371/journal.pone.0101798
27
Führes K. (2021). Wolf: neues Bundeszentrum soll Leitfaden für Entnahmen erarbeiten. Available online at: https://www.jagderleben.de/news/wolf-neues-bundeszentrum-leitfaden-fuer-entnahmen-erarbeiten-712606(accessed July 6, 2021).
28
Gervasi V. Linnell J. D. C. Berce T. Boitani L. Cerne R. Ciucci P. et al (2021). Ecological correlates of large carnivore depredation on sheep in Europe.Glob. Ecol. Conserv.30:e01790. 10.1016/j.gecco.2021.e01798
29
Gippoliti S. Brito D. Cerfolli F. Franco D. Kryštufek B. Battisti C. (2018). Europe as a model for large carnivore conservation: Is the glass half empty or half full?J. Nat. Conserv.4173–78. 10.1016/j.jnc.2017.11.007
30
Grueber C. E. Nakagawa S. Laws R. J. Jamieson I. G. (2011). Multimodel inference in ecology and evolution: challenges and solutions.J. Evol. Biol.24699–711. 10.1111/j.1420-9101.2010.02210.x
31
Hamilton L. C. Lambert J. E. Lawhon L. A. Salerno J. Hartter J. (2020). Wolves are back: sociopolitical identity and opinions on management of Canis lupus.Conserv. Sci. Pract.2:e213. 10.1111/csp2.213
32
Hanley Z. L. Cooley H. S. Maletzke B. T. Wielgus R. B. (2018). Cattle depredation risk by gray wolves on grazing allotments in Washington.Glob. Ecol. Conserv.16:e00453. 10.1016/j.gecco.2018.e00453
33
Hermann N. Voß C. Menzel S. (2013). Wildlife value orientations as predicting factors in support of reintroducing bison and of wolves migrating to Germany.J. Nat. Conserv.21125–132. 10.1016/j.jnc.2012.11.008
34
Imbert C. Caniglia R. Fabbri E. Milanesi P. Randi E. Serafini M. et al (2016). Why do wolves eat livestock? Factors influencing wolf diet in northern Italy.Biol. Conserv.195156–168. 10.1016/j.biocon.2016.01.003
35
Kaartinen S. Luoto M. Kojola I. (2009). Carnivore-livestock conflicts: determinants of wolf (Canis lupus) depredation on sheep farms in Finland.Biodivers. Conserv.183503–3517. 10.1007/s10531-009-9657-8
36
Kamp J. (2021). Management von Großkarnivoren am Beispiel des Herdenschutzes von Rindern.Nat. Landsch.9647–52. 10.17433/1.2021.50153877.47-52
37
Khorozyan I. (2020). A comparison of common metrics used to quantify the effectiveness of conservation interventions.PeerJ8:e9873. 10.7717/peerj.9873
38
Khorozyan I. Waltert M. (2019). A framework of most effective practices in protecting human assets from predators.Hum. Dimens. Wildl.24380–394. 10.1080/10871209.2019.1619883
39
Khorozyan I. Waltert M. (2020). Variation and conservation implications of the effectiveness of anti-bear interventions.Sci. Rep.10:15341. 10.1038/s41598-020-72343-6
40
Kiffner C. Chapron G. König H. J. (2019). Germany’s wolves in the crosshairs.Science365:1089. 10.1126/science.aay8053
41
Köck W. (2019). Wolf conservation and removal of wolves in Germany – status quo and prospects.J. Eur. Environ. Plan. Law16262–278. 10.1163/18760104-01603004
42
König H. J. Kiffner C. Kramer-Schadt S. Fürst C. Keuling O. Ford A. T. (2020). Human-wildlife coexistence in a changing world.Conserv. Biol.34786–794. 10.1111/cobi.13513
43
Koper N. Manseau M. (2009). Generalized estimating equations and generalized linear mixed-effects models for modeling resource selection.J. Appl. Ecol.46590–599. 10.1111/j.1365-2664.2009.01642.x
44
Kucznik K. Schenk A. Scholz F. Brückner J. Blanche P. Dinkelmayer A. et al (2020). Livestock farming and the wolf in Germany.Carnivore Damage Prev. News1925–27.
45
Kuijper D. P. J. Churski M. Trouwborst A. Heurich M. Smit C. Kerley G. I. H. et al (2019). Keep the wolf from the door: How to conserve wolves in Europe’s human-dominated landscapes?Biol. Conserv.235102–111. 10.1016/j.biocon.2019.04.004
46
Lehnen L. Mueller T. Reinhardt I. Kaczensky P. Arbieu U. (2021). Gesellschaftliche Einstellungen zur Rückkehr des Wolfs nach Deutschland.Nat. Landsch.9627–33. 10.17433/1.2021.50153871.27-33
47
Lesniak I. Heckmann I. Franz M. Greenwood A. D. Heitlinger E. Hofer H. et al (2018). Recolonizing gray wolves increase parasite infection risk in their prey.Ecol. Evol.82160–2170. 10.1002/ece3.3839
48
Linnell J. D. C. Cretois B. (2018). Research for AGRI Committee – The Revival of Wolves and Other Large Predators and its Impact on Farmers and their Livelihood in Rural Regions of Europe.Brussels: European Parliament.
49
NABU (2015). Wölfe in Deutschland.Berlin: forsa Politik- und Sozialforschung GmbH.
50
NABU (2018). Wölfe in Deutschland 2018.Berlin: forsa Politik- und Sozialforschung GmbH.
51
Newsome T. M. Boitani L. Chapron G. Ciucci P. Dickman C. R. Dellinger J. A. et al (2016). Food habits of the world’s grey wolves.Mammal. Rev.46255–269. 10.1111/mam.12067
52
Pătru-Stupariu I. Nita A. Mustăţea M. Huzui-Stoiculescu A. Fürst C. (2020). Using social network methodological approach to better understand human-wildlife interactions.Land Use Policy99:105009. 10.1016/j.landusepol.2020.105009
53
Plaschke M. Bhardwaj M. König H. J. Wenz E. Dobiáš K. Ford A. T. (2021). Green bridges in a re-colonizing landscape: wolves (Canis lupus) in Brandenburg, Germany. Conserv. Sci. Pract.3:e00364. 10.1111/csp2.364
54
Pooley S. Barua M. Beinart W. Dickman A. Holmes G. Lorimer J. et al (2016). An interdisciplinary review of current and future approaches to improving human-predator relations.Conserv. Biol.31513–523. 10.1111/cobi.12859
55
Poudyal N. Baral N. Asah S. T. (2016). Wolf lethal control and livestock depredations: counter-evidence from respecified models.PLoS One11:e0148743. 10.1371/journal.pone.0148743
56
Qian S. S. (2014). Statistics in ecology is for making a “principled” argument.Landsc. Ecol.29937–939. 10.1890/14-2010.1
57
Reinhardt I. Kluth G. (2016). Abwanderungs- und Raumnutzungsverhalten von Wölfen (Canis lupus) in Deutschland.Nat. Landsch.91262–271. 10.17433/6.2016.50153396.262-271
58
Reinhardt I. Ansorge H. Collet S. Fritsch G. Kluth G. Lippitsch P. et al (2021). Erkenntnisse zur Wiederausbreitung des Wolfs in Deutschland. Nat. Landsch.9619–25. 10.17433/1.2021.50153869.19-26
59
Reinhardt I. Kluth G. Nowak C. Szentiks C. A. Krone O. Ansorge H. et al (2019). Military training areas facilitate the recolonization of wolves in Germany.Conserv. Lett.12:e12635. 10.1111/conl.12635
60
Reinhardt I. Rauer G. Kluth G. Kaczensky P. Knauer F. Wotschikowsky U. (2012). Livestock protection methods applicable for Germany – a country newly recolonized by wolves.Hystrix2362–72. 10.4404/hystrix-23.1-4555
61
Steele J. R. Rashford B. S. Foulke T. K. Tanaka J. A. Taylor D. T. (2013). Wolf (Canis lupus) predation impacts on livestock production: direct effects, indirect effects, and implications for compensation ratios.Rangel. Ecol. Manag.66539–544. 10.2111/rem-d-13-00031.1
62
Straka T. M. Miller K. K. Jacobs M. H. (2020). Understanding the acceptability of wolf management actions: roles of cognition and emotion.Hum. Dimens. Wildl.2533–46. 10.1080/10871209.2019.1680774
63
Sutherland W. J. Brotherton P. N. M. Davies Z. G. Ockendon N. Pettorelli N. Vickery J. A. (2020). Conservation Research, Policy and Practice. Cambridge: Cambridge University Press.
64
Symonds M. R. E. Moussali A. (2011). A brief guide to model selection, multimodel inference and model averaging in behavioural ecology using Akaike’s information criterion.Behav. Ecol. Sociobiol.6513–21. 10.1007/s00265-010-1037-6
65
Treves A. Martin K. A. Wydeven A. P. Wiedenhoeft J. E. (2011). Forecasting environmental hazards and the application of risk maps to predator attacks on livestock.Bioscience61451–458. 10.1525/bio.2011.61.6.7
66
van Eeden L. M. Eklund A. Miller J. R. B. López-Bao J. V. Chapron G. Cejtin M. R. et al (2018). Carnivore conservation needs evidence-based livestock protection.PLoS Biol.16:e2005577. 10.1371/journal.pbio.2005577
67
Wagner C. Holzapfel M. Kluth G. Reinhardt I. Ansorge H. (2012). Wolf (Canis lupus) feeding habits during the first eight years of its occurrence in Germany.Mammal. Biol.77196–203. 10.1016/j.mambio.2011.12.004
68
Widman M. Steen M. Elofsson K. (2019). Indirect costs of sheep depredation by large carnivores in Sweden.Wildl. Soc. Bull.4353–61. 10.1002/wsb.951
69
Wielgus R. B. Peebles K. A. (2014). Effects of wolf mortality on livestock depredations.PLoS One9:e113505. 10.1371/journal.pone.0113505
Summary
Keywords
carnivore, conservation intervention, effectiveness, GLMM, human-wildlife conflict, livestock, predator, recolonization
Citation
Khorozyan I and Heurich M (2022) Large-Scale Sheep Losses to Wolves (Canis lupus) in Germany Are Related to the Expansion of the Wolf Population but Not to Increasing Wolf Numbers. Front. Ecol. Evol. 10:778917. doi: 10.3389/fevo.2022.778917
Received
17 September 2021
Accepted
05 January 2022
Published
27 January 2022
Volume
10 - 2022
Edited by
Joseph K. Bump, University of Minnesota Twin Cities, United States
Reviewed by
Carlos Alberto Lopez Gonzalez, Universidad Autónoma de Querétaro, Mexico; Andreea Nita, University of Bucharest, Romania
Updates
Copyright
© 2022 Khorozyan and Heurich.
This is an open-access article distributed under the terms of the Creative Commons Attribution License (CC BY). The use, distribution or reproduction in other forums is permitted, provided the original author(s) and the copyright owner(s) are credited and that the original publication in this journal is cited, in accordance with accepted academic practice. No use, distribution or reproduction is permitted which does not comply with these terms.
*Correspondence: Igor Khorozyan, igor.khorozyan@biologie.uni-goettingen.de
This article was submitted to Conservation and Restoration Ecology, a section of the journal Frontiers in Ecology and Evolution
Disclaimer
All claims expressed in this article are solely those of the authors and do not necessarily represent those of their affiliated organizations, or those of the publisher, the editors and the reviewers. Any product that may be evaluated in this article or claim that may be made by its manufacturer is not guaranteed or endorsed by the publisher.