- 1Hubei Engineering Research Center for Remote Sensing Technology in Agriculture, Hubei University, Wuhan, China
- 2Institute of Geographic Sciences and Natural Resources Research, Chinese Academy of Sciences, Beijing, China
- 3University of Chinese Academy of Sciences, Beijing, China
- 4School of Economics and Management, China University of Geosciences, Wuhan, China
- 5School of Economics, Liaoning University, Shenyang, China
As the starting point of addressing the issue of “agriculture, rural areas, and farmers” for a new era, a rural revitalization strategy is necessary and suits the realistic demand for high-quality development. At present, agro-pastoral ecotone in China is facing a series of ecological degradation and environmental pollution problems. The measurement and analysis of ecological efficiency play an important role in promoting the sustainable development of the agro-pastoral ecotone. Based on the theoretical discussion and empirical calculation, this study took Tongliao as a case area to explore the ecological efficiency issue. Firstly, the ecological efficiency of grass-based livestock husbandry in Tongliao from 2000 to 2019 was calculated by the DEA method, then the dynamic change of efficiency was dissected by the Malmquist index, and finally, multiple factors affecting the ecological efficiency of grass-based livestock husbandry were evaluated by Tobit model. The results showed that the ecological efficiency of grass-based livestock husbandry in the counties of Tongliao showed a growing trend from 2000 to 2019, and the average ecological efficiency increased from 0.88 to 1.17. The total factor ecological efficiency of the counties in Tongliao had increased year by year from 2000 to 2019, and it mainly depended on technological progress. The implementation of the national ecological protection policy and the increase of the output value and number of persons employed in grass-based livestock husbandry has significantly improved the ecological efficiency. However, the increase in the number of livestock, especially in the case of exceeding the carrying capacity of the grassland, was not conducive to the protection of grassland ecology. The key to realizing the revitalization of grass-based livestock husbandry in the future is to promote the coordinated development of economy and ecology through the improvement of management level and large-scale and standardized livestock breeding.
1 Introduction
The 19th National Congress of the Communist Party of China put forward the general requirements for a rural revitalization strategy: “thriving businesses, pleasant living environments, social etiquette and civility, effective governance, and prosperity”. The Outline of the 14th Five-Year Plan (2021–2025) for National Economic and Social Development and Vision 2035 of the People’s Republic of China further proposed to prioritize the development of agriculture and rural areas and promote all-round rural revitalization. In the new period of promoting the effective connection between poverty alleviation and rural revitalization, rural industry and ecology are the basis of achieving this goal. As a modern industry under the coordination of industrial ecology and ecological industrialization, grass-based livestock husbandry is an important link to realize rural revitalization and the ecological construction of civilization. In the process of traditional agricultural production, economic benefits have always been placed first (Deng and Gibson, 2018; Lv et al., 2021). However, with the increasing demand for food in China, excessive development and utilization of land resources directly lead to a series of ecological problems, such as soil erosion, land degradation, water pollution, and so forth (Tian et al., 2021). In the northern agro-pastoral ecotone with frequent drought, poverty agglomeration, and fragile ecology, the change of the rural human-land relationship is very demanding (Shi et al., 2018). The agro-pastoral ecotone has an important strategic position in China’s territorial space, and it should focus on coordinating multiple objectives such as society, environment, and ecology, (Zhang et al., 2020). Under tight pressure on resources and the environment, choosing a sustainable mode of rural industrial development to meet hundreds of millions of farmers’ yearnings for a better life is an important goal of the efforts concerning “agriculture, rural areas, and farmers” and rural revitalization strategy (Sun et al., 2015).
Thriving businesses is the primary goal and focus of implementing a rural revitalization strategy, but in the process of rural industrial development, the connotation analysis and evaluation criteria of “thriving businesses” is missing. Under the guidance of high-quality development of agriculture and rural areas, this study brought “ecological efficiency” into the evaluation criteria of “thriving businesses” as a specific starting point to realize rural revitalization at the industrial level (Yin et al., 2014). This means realizing the sustainable development of rural areas in the unity of economic benefits and environmental benefits and providing inexhaustible power for rural revitalization. Ecological efficiency was first defined as obtaining the maximum economic value with minimized resource input and environmental cost (Schaltegger and Sturm, 1990). Domestic scholars have carried out various research to define the connotation of ecological efficiency from the aspects of social economy, resource utilization, energy consumption, product price, and so on (Yin et al., 2014; Liu et al., 2020; Tan and Lin, 2020). Existing research on ecological efficiency in China and abroad mainly includes two aspects: the calculation of and the application of ecological efficiency. The calculation methods of ecological efficiency mainly include the ratio method, index system method, and mathematical model method. The ratio method is considered to be the most basic method for measuring ecological efficiency (Zhou et al., 2018). However, the single ratio method assumes that the optimal solution has been considered, cannot distinguish the effects of different environments, and cannot provide a set of optimal solutions for decision-makers. It is only applicable to the analysis of mutually independent objects (Zhao et al., 2017). The index system method is the main method used to evaluate ecological efficiency, but there are some problems such as incomplete index and subjectivity, which can be made up for by calculating ecological efficiency by the mathematical model (Deng and Gibson 2019; Guo et al., 2020). Data Envelopment Analysis (DEA) evaluates the relative effectiveness of the same type of decision-making units based on multi-index input and multi-index output. Through automatic weighting to reduce the subjectivity of environmental index weighting, the combination of multi-input and multi-output can be explained clearly, therefore it is widely used in the calculation of ecological efficiency (Rebolledo-Leiva et al., 2019). In the application of ecological efficiency, the existing research can be summarized to micro-level, mesoscale level, and macro-level, which focuses on enterprises, industries, and regions, respectively, (Arabi et al., 2014; Koskela et al., 2015; Bonfiglio et al., 2017; Jin et al., 2018; Xing et al., 2018). The research at the macro level includes the differences and causes of ecological efficiency in different regions, the analysis of the competitive advantage of regional long-term development, and the temporal and spatial changes of inter-regional ecological efficiency (Yue et al., 2017; Yang and Yang, 2019).
Most research on ecological efficiency focuses on the planting industry, with little research on grass-based livestock husbandry, especially in the agro-pastoral ecotone. In the adjustment of the planting structure of “grain, industrial, and forage crops”, the development of grass-based livestock husbandry in the northern agro-pastoral ecotone is of great significance to improve the efficiency of resource utilization and agricultural production. Accurate and objective ecological efficiency assessment can reflect the main problems in the development of grass-based livestock husbandry, coordinate agricultural development and ecological environment protection, and promote regional sustainable development and rural revitalization. This study took Tongliao, which is located in the northeast section of the northern agro-pastoral ecotone, as a case area to evaluate the change of ecological efficiency of grass-based livestock husbandry and identify the key influencing factors. At the same time, this study analyzed the actual level of thriving businesses under the rural revitalization strategy and discusses the coordinated development path of resource conservation and sound ecosystem, which aimed to provide decision support for rural industrial development.
2 Theoretical Framework and Methods
2.1 Development of Grass-Based Livestock Husbandry Under the Goal of Thriving Businesses
“Thriving businesses” is a development goal based on the production function of rural areas. It strives to promote the integrated development of rural primary, secondary, and tertiary industries based on advantageous industries according to local conditions and aims to enhance farmers’ income and enhance the international competitiveness of agriculture at the same time. “Thriving businesses” has become an essential prerequisite for the realization of agricultural and rural modernization. The northern agro-pastoral ecotone is an important production space for the coordination of the agro-grassland system and cropland system. With further adjustment of the proportion of planting area of “grain, industrial, and forage crops”, the quality and efficiency of the foraging industry are gradually improved, and the growing grass-based livestock husbandry has become an important support for the industrial revitalization of the agro-pastoral ecotone. However, due to the expansion of the scope of human activities, there are a series of problems in the agro-pastoral ecotone, such as land degradation, water pollution, ecological disruption, and so on, which leads to a fragile ecological environment and increasingly prominent conflict between humans and the land. The development of grass-based livestock husbandry is highly dependent on the ecological environment. In the tradeoff between production function and ecological function of grassland, only the high-quality development mode of “ecological priority” can realize the sustainable development of grass-based livestock husbandry and provide a solid guarantee for the rural revitalization in the agro-pastoral ecotone.
2.2 Interpretation of Ecological Efficiency of Grass-Based Livestock Husbandry
“Economic efficiency” is an important standard to measure the limited social resources to meet people’s practical needs from the perspective of income and cost, and it has gradually become the focus of social development. However, with social and economic development, human beings have a higher level of demand for livelihood. Under the constraints of resources and environmental carrying capacity, we begin to pay attention to improving production efficiency and at the same time reducing the impact on the environment. The “ecological efficiency” of coordinating economic and environmental benefits has gradually become the focus of efficiency research. In 1990, ecological efficiency was clearly defined for the first time as “people achieve the goal of maximizing economic value on the premise of minimizing resource input and environmental costs on the basis of the added value and environmental impact of economic activities” (Schaltegger and Synnestvedt, 2002). Subsequently, government departments and academia carried out a series of studies and discussions on the concept and connotation of ecological efficiency. The World Business Council for Sustainable Development (WBCSD) defined ecological efficiency as “On the basis of ensuring the quality and needs of human life, provide products or services with competitive prices by controlling the environmental impact and resource consumption in the life cycle within the carrying capacity of the Earth”. This definition has been widely accepted and promoted by the Organization for Economic Co-operation and Development (OECD). In this definition, ecological efficiency is regarded as the ratio of input to output, which means that the output (the value of services and products) must be maximized in the production process while the consumption of resources and the impact on the environment must be minimized.
Domestic scholars extended the connotation of ecological efficiency from various perspectives, including social economy, resource utilization, energy consumption, product price, and so on (Ma et al., 2018; Liu et al., 2020; Dong et al., 2020). It is generally believed that ecological efficiency is an important index to characterize the construction level of ecological civilization and the ability of sustainable development (Hu et al., 2019). The essence of ecological efficiency is to minimize the negative impact on resources and the environment in the process of pursuing economic benefits, that is, to exchange the minimum resource input for the maximum economic output. It is emphasized in the National Agricultural Sustainable Development Plan (2015–2030) that the sustainable development of agriculture is the fundamental guarantee and priority area of China’s sustainable development. The ecological efficiency of grass-based livestock husbandry is the embodiment of ecological efficiency in the field of agriculture, and the improvement of ecological efficiency has become an important way to promote the sustainable development of grass-based livestock husbandry (Yin et al., 2014; Liu et al., 2018). The key to achieving the sustainable development of grass-based livestock husbandry is to reduce the consumption of resources and the negative impact on the ecosystem by production activities, and finally achieve a win-win situation of both economic and ecological benefits. The agro-pastoral ecotone still faces the arduous tasks of resource-saving and environmental protection, grass-based livestock husbandry with high ecological efficiency takes into account both ecological and economic benefits, which is the inevitable way to realize the revitalization of rural industry.
2.3 Evaluation Methods of Ecological Efficiency
2.3.1 Ecological Efficiency
Data Envelopment Analysis (DEA), proposed by Charnes, Cooper, and Rhodes, is a production analysis method to measure technical efficiency through linear programming (Charnes et al., 1978). The DEA model adopts the concept of mathematical programming to determine whether the multi-input and multi-output decision-making unit (DMU) is located on the “production Frontier” of the production possibility set and then identify the relative effectiveness of the decision-making unit.
Suppose there are n (n = 1, 2, 3, …, N) decision-making units of grass-based livestock husbandry production, and the output of j (j = 1, 2, 3, …, J) factors is obtained by using the input of i (i = 1, 2, 3, …, I) factors in every period of t (t = 1, 2, …, T). In the input-output index system, it is expressed by x and y, respectively, then the input-output index of n grass-based livestock husbandry production decision-making units in t period can be expressed as xn,ji, yn,ji. Without considering the change of time dimension, the input-output data of decision-making unit i can usually be recorded as xi = (x1n, x2n, x3n…, xmn), yi = (y1n, y2n, y3n…, ysn), n = 1, 2, …, N. The model under this data recording mode can be expressed as follows:
Based on the CCR model, the non-Archimedean infinitesimal ε, relaxation variable Sj− and residual variable Sj+ are introduced, and the efficiency linear programming model of DMU0 is expressed as follows:
Where, λj is the weight variable, and the DMU0 optimal solution is θ*、λ*、S*+、S*. If it satisfies θ* = 1 and S*+ = S*− = 0, then DMU0 is DEA efficient, indicating that both scale and technology are effective; If S*+≠0 or S*−≠0, then DMU0 is weakly DEA efficient, indicating that scale and technology are not efficient at the same time; if θ*<1, DMU0 is non-DEA efficient, neither scale efficient nor technical efficient, and the closer the efficiency value is to 1, the higher the relative efficiency of DEA.
The super-efficiency DEA model is the ranking and analysis of the points on the Frontier (technical efficient units) based on the traditional DEA model. The realization path is that when some points are in the efficiency Frontier, it is necessary to exclude this point when evaluating the efficiency of one point (such as point A), and several other points on the Frontier reconstitute a new efficiency Frontier curve, in which case the efficiency value of the point is greater than 1. By analogy, the efficiency values of all the sets of points on the production frontiers can be obtained, respectively. The formula is as follows:
Where, θ is super-efficiency, s−(s−≥0) is the relaxation variable, s+(s+≥0) is the residual variable, and ε is the non-Archimedean infinitesimal. Based on the DEA model under the premise of constant return to scale (CRS) described in the above formula, θ = 1 indicates that the ecological efficiency of the decision-making unit is on the “production Frontier” of the production possible set, that is, the technology of the decision-making unit is effective. On this basis, by introducing the constraint
2.3.2 Total Factor Ecological Efficiency
Malmquist productivity was originally proposed by the Swedish economist Sten Malmquist (1953), through the concept of scaling factor to construct the consumption quantity index, and then applied by Caves et al. (1982) to the production analysis of constructing the productivity index through the ratio of the distance function. However, due to the lack of a method to measure the distance index at the initial stage, the Malmquist index exists only in the form of theory, and then Färe and Grosskopf (1992) applied the theoretical index of Malmquist productivity to practical calculation through the DEA method. The Malmquist productivity index is defined based on the benchmark technology. The Malmquist productivity indices of t and t+1 with reference to technology are:
Since periods t and t+1 are symmetrical in economic meaning, the Malmquist productivity index is defined as the geometric average of the two periods of total factor productivity according to the ideal index idea:
Using the method proposed by Ray and Desli (1997), it can be further decomposed into changes in technical efficiency, technological progress, and scale efficiency. The decomposition process is as follows:
Where, Dt (xt, yt) is the distance between the actual output and the production Frontier in t period, TE represents pure technical efficiency, TP represents technological progress, and SE represents scale efficiency.
The decomposition method comprehensively analyzes the temporal and spatial changes of the total factor ecological efficiency of grass-based livestock husbandry production DMU from three dimensions: the distance from the production Frontier, the movement characteristics of the production Frontier in different periods, and the time variation characteristics of returns to scale. The super-efficiency DEA model can reflect the relative efficiency of each DMU at a certain time but cannot reflect the change of ecological efficiency over time. On the other hand, the Malmquist index reveals the changing trend over time through the change of ecological efficiency relative to the previous time point, but it is unable to compare the difference of ecological efficiency of each DMU.
2.3.3 Influencing Factors of Ecological Efficiency
The analysis of the influencing mechanism of the leading factors on the ecological efficiency of grass-based livestock husbandry in the agro-pastoral ecotone is a supplement to the calculation of ecological efficiency, the characterization of spatio-temporal pattern, and the correlation simulation of regional units. As a variable with boundaries, the ecological efficiency of grass-based livestock husbandry is difficult estimate without bias by traditional analysis methods such as OLS, so it is necessary to use the Tobit regression model to estimate it. The Tobit model uses a piecewise function to accurately estimate the restricted dependent variables of truncation or censorship to avoid the potential risk of biased and inconsistent estimation. The formula is as follows:
Where, Yi represents the ecological efficiency of grass-based livestock husbandry in different periods in area i, Xki represents the variable of influencing factors, α0 is the constant term, αk is the regression coefficient of influencing factors, and εi is the error term that obeys normal distribution. When Yi>0, the actual observed value is taken; when Yit≤0, the observed value is truncated to 0.
3 Empirical Analysis
3.1 Study Area
The agro-pastoral ecotone in northern China ranges from Hulun Buir at the western foot of the Daxing’an Mountains to the southwest to the Ordos and northern Shaanxi, and is in the transitional zone between semi-arid and semi-humid areas. The agro-pastoral ecotone is an important ecological security barrier in China, and the main types of land use are grassland, cultivated land, forest, and desert. Tongliao is in the eastern part of Inner Mongolia Autonomous Region and the hinterland of Horqin grassland, with desert, grassland, wetland, and sparse forest (Figure 1). With the richest biodiversity in the sparse forest and grassland of Horqin, Tongliao is an important commodity grain base and animal husbandry production base in China because of its rich resources and good natural conditions. However, the continuous expansion of human activities has increased the burden on the local environment, and ecological problems such as lake shrinkage and grassland degradation have emerged. In the implementation of the rural revitalization strategy, the development of grass-based livestock husbandry is facing severe challenges, and there is an urgent need to balance the conflict between human beings and the environment. In recent years, the implementation of major ecological projects such as “returning grazing to grassland” and “banning grazing and rearing” shows that China attaches great importance to sustainable development. However, in order to achieve the goal of “thriving businesses,” the development of grass-based livestock husbandry in Tongliao still needs to improve ecological efficiency. On the premise of minimizing the environmental impact, Tongliao should enhance the added value of grass-based livestock husbandry and promote the revitalization of grass-based livestock husbandry to lay a solid foundation for realizing rural revitalization.
3.2 Data Sources
In the evaluation of ecological efficiency, the economic acquisition in the ecosystem is usually taken as the output index and the resource consumption as the input index. In addition, the consumption of grassland resources is the main impact on the environment in the process of grass-based livestock husbandry development. Therefore, the fixed asset investment of grass-based livestock husbandry, employed population, and grassland net primary productivity (NPP) of each county were taken as the input index, and the added value of grass-based livestock husbandry was taken as the output index. The index system for evaluating the ecological efficiency of grass-based livestock husbandry in Tongliao is shown in Table 1.

TABLE 1. Evaluation index of ecological efficiency of grass-based livestock husbandry in each county of Tongliao.
Plants absorb and release carbon through photosynthesis and respiration, and the difference of carbon formed is the organic matter accumulated by plants. NPP in Table 1 is the total amount of organic matter accumulated per unit area of grassland per unit time, reflecting the coverage of grassland in this area. The data were obtained from the Resource and Environmental Science data Center of the Chinese Academy of Sciences, which was used to reflect the ecological status of grassland and the development conditions of grass-based livestock husbandry in each county. In the process of grass-based livestock husbandry development, the input is mainly to provide forage for livestock, and the output is to obtain the added value through the operation of grass-based livestock husbandry. Therefore, combined with the current research results, the following factors affecting the ecological efficiency of grass-based livestock husbandry were selected: proportion of output value of grass-based livestock husbandry, the proportion of employed persons in grass-based livestock husbandry, national policy (returning grazing to grassland, grass-livestock balance) and the number of livestock in stock. The relevant data were obtained from Inner Mongolia Statistical Yearbook (2001–2020) and Tongliao Statistical Yearbook (2001–2020).
3.3 Ecological Efficiency of Grass-Based Livestock Husbandry
3.3.1 Spatio-Temporal Change of Ecological Efficiency
The results showed that there are significant spatial differences in the ecological efficiency of grass-based livestock husbandry in Tongliao (Table 2). In 2000, the overall level of ecological efficiency was low, among which Keerqin had the highest ecological efficiency (1.18) and Huolinguole had the lowest ecological efficiency (0.45). This indicated that the development of grass-based livestock husbandry in Keerqin coordinated ecological and economic benefits better than other counties, but the ecological efficiency of grass-based livestock husbandry in each county still needs to be improved. By 2019, the ecological efficiency of all counties increased greatly, the average ecological efficiency increased from 0.88 to 1.17, and the ecological efficiency of Huolinguole increased the most, which indicated that the ecological efficiency of grass-based livestock husbandry in the agro-pastoral ecotone of northern China showed a dynamic growing trend. According to the average ecological efficiency of each region in the five periods from 2000 to 2019, Tongliao can be divided into three grades: the highest level includes Keerqin District, Keerqinzuoyihou Banner, Kailu County, and Keerqinzuoyizhong Banner with ecological efficiency greater than 1. The lowest level included Huolinguole City whose ecological efficiency was less than 0.8. The middle level included Kulun Banner, Naiman Banner, and Zhalute Banner. The ecological efficiency of grass-based livestock husbandry in Kulun and Huolinguole is significantly lower than that in other counties, which indicated that the production level of grass-based livestock husbandry was at a low level. However, from 2000 to 2019, the ecological efficiency increased by 45.31 and 75.55%, respectively, second only to Keerqin District, and there was still room for further improvement in the ecological efficiency of grass-based livestock husbandry.
3.3.2 Decomposition and Change of Total Factor Ecological Efficiency
The average annual Malmquist index and its decomposition of counties in Tongliao from 2000 to 2019 are shown in Table 3. The growth rate of total factor ecological efficiency of all counties in the table was more than 1, and the overall ecological efficiency showed an upward trend. This reflected the development of grass-based livestock husbandry has gradually changed from factor-driven to innovation-driven, and the development of grass-based livestock husbandry in the agro-pastoral ecotone has increasingly coincided with the ecological environment. The comprehensive technical efficiency of Keerqin District and Naiman Banner is less than 1, indicating that the comprehensive technical efficiency shows a downward trend from 2000 to 2019. The value of Keerqinzuoyihou Banner, Huolinguole City, and Kailu County is 1, which indicated that its comprehensive technical efficiency was relatively stable, while the comprehensive technical efficiency of other counties showed an increasing trend. The change of comprehensive technical efficiency was mainly caused by pure technical efficiency and scale efficiency, and the changing trend of scale efficiency was roughly the same as that of comprehensive technical efficiency. The change of pure technical efficiency showed that only Keerqinzuoyizhong Banner and Zhalute Banner show an increasing trend, which demonstrated that the production management of grass-based livestock husbandry in Tongliao from 2000 to 2019 was relatively insufficient and the input of production factors was not reasonable. The growth rate of technological progress in each county was more than 1, which implied that the growth of TFP in Tongliao mainly depended on the improvement of technological progress, and further showed that the key to promoting sustainable development of regional grass-based livestock husbandry lay in the research and development of advanced technology of grass-based livestock husbandry and the popularization of high-quality germplasm resources.
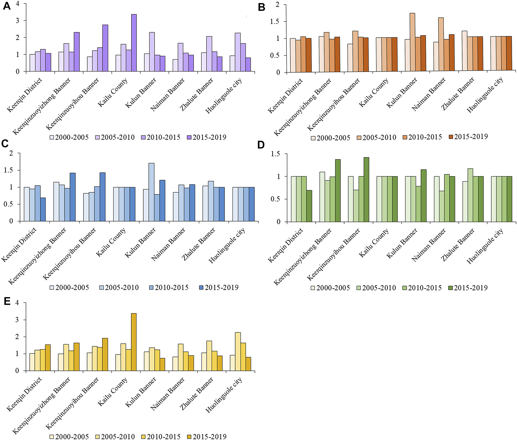
Overall, the efficiency fluctuation of each county reflected the uneven regional development of total factor ecological efficiency in the agro-pastoral ecotone. From 2000 to 2019, the efficiency of Keerqin District, Zhalute Banner, and Huolinguole City increased at first and then decreased. It was speculated that the main reason was the adjustment of economic structure with 2012 as the turning point. The growth rate of the added value of grass-based livestock husbandry slowed down, and the number of employed persons of grass-based livestock husbandry began to decline. Keerqinzuoyizhong Banner, Keerqinzuoyihou Banner, Kailu County, Kulun Banner, and Naiman Banner showed large fluctuations (increased-decreased-increased), and their fluctuations were closely related to the changes of NPP (Figure 2). The fastest change of total factor ecological efficiency was Keerqinzuoyihou Banner with an increasing growth rate, and the smallest fluctuations were Keerqin District and Kulun Banner, as shown in Figure 2A. Keerqin District, Keerqinzuoyihou Banner, and Kailu County are important agricultural and livestock product bases and commodity grain bases in the country, and their grass-based livestock husbandry development is relatively stable. In the future, we need to focus on promoting new technologies, new varieties, and new models, form new growth points and promote the modernization and high-quality development of grass-based livestock husbandry.

FIGURE 2. Annual Malmquist index and its decomposition of counties in Tongliao. (A–E) showed the changes of total factor ecological efficiency, scale efficiency, comprehensive technical efficiency, pure technical efficiency, and technological progress, respectively.
The annual average Malmquist index and its decomposition of each county in Tongliao are shown in Table 4. The efficiency of all kinds in 2019 was higher than that in 2000, and the increase of efficiency in 2015–2010 was obviously higher than that in the other stages. The average annual growth rate of total factor ecological efficiency was 29.3%, the interannual fluctuation of the growth rate was large, but it showed an upward trend. Technological progress from 2005 to 2019 was the main reason for the improvement of total factor ecological efficiency, therefore future grass-based livestock husbandry production in Tongliao should further promote the mechanization level and technical level of grass-based livestock husbandry. The average annual growth rate of comprehensive technical efficiency was 2.3%, which indicated that there was still a lack of effective coordination mechanism in the development of grass-based livestock husbandry, so it was difficult to improve the ecological efficiency of the region. From the perspective of pure technical efficiency, it showed an increasing trend only in the period from 2015 to 2019, indicating that the production management of grass-based livestock husbandry in Tongliao made little contribution to the improvement of total factor ecological efficiency before 2015, which was also the main problem in the development of grass-based livestock husbandry in the agro-pastoral ecotone. The scale efficiency showed an alternating trend of decrease and increase, which meant that the production scale of grass-based livestock husbandry in Tongliao has not yet reached the optimal level, and the input structure of industrial factors did not match the production scale.
3.3.3 Analysis on Influencing Factors of Ecological Efficiency
In this study, the Tobit model was used to analyze the impact of various factors on ecological efficiency (Table 5). The model passed the significance test with a confidence level of 99%, indicating a good degree of fit. Among the variables of public infrastructure, the number of senior high schools and the number of persons engaged in health care institutions did not pass the significance test, which revealed that the level of social health care and education had no significant impact on the ecological efficiency of grass-based livestock husbandry in each county of Tongliao. Among the structural variables, the proportion of output value of grass-based livestock and the proportion of employed persons in grass-based livestock husbandry passed the significance test with a confidence level of 99 and 95%, respectively, and the coefficient was positive. It showed that the increase of the proportion of output value and employed persons could significantly improve the ecological efficiency of grass and animal husbandry in this area. The number of livestock in stock has passed the significance test with a confidence level of 99%, and the coefficient was negative, which demonstrated the increase in the number of livestock (especially beyond the ecological carrying capacity of grassland) was not conducive to the protection of grassland ecological environment.
Among the policy variables, both “returning grazing to grassland” and “grass-livestock balance” have passed the significance test with a confidence level of 99%, indicating that the national policy had a significant positive impact on ecological protection and sustainable development of the northern agro-pastoral ecotone. At present, there are a series of ecological problems in the agro-pastoral ecotone in China, such as grassland degradation, soil desertification, and so on. In order to ensure the ecological security of grassland and enhance the effectiveness of resource utilization, the central government has invested a large amount of money and implemented several major construction projects for ecological protection. In recent years, the Inner Mongolia Autonomous Region has issued a series of reform measures to strengthen the protection of grassland ecology in response to the policy call of the CPC Central Committee to protect grassland and restore the ecology. Among them, the policy of “returning grazing to grassland” and “grass-livestock balance” is the most representative. The results showed that compared with the “grass-livestock balance,” “returning grazing to grassland” had a more positive impact on ecological efficiency (Hu et al., 2019; Liu et al., 2020). This was mainly due to the differences in the core ideas and practical operation of the two policies: “returning grazing to grassland” to keep the ecosystem in an ideal state without human intervention and to realize the natural restoration of grassland ecology by banning grazing and resting grazing; “grass-livestock balance” aimed to realize the dynamic balance between forage supply and livestock demand within a certain range of time and space, and to reduce the burden of grassland by “determining livestock-carrying capacity according to grass production”. To realize the sustainable development of agro-pastoral ecotone, it is necessary to construct the coordinated development system of grassland ecology and production function and reduce the negative impact of ecological engineering construction. At the same time, we should pay more attention to innovating the development model of grass-based livestock husbandry, and improving the production level of local grass-based livestock husbandry under the premise of ensuring ecological security, so as to realize the sustainable development of the agro-pastoral ecotone.
4 Conclusions and Discussion
4.1 Conclusions
In the new era, agricultural space is the core component of territorial space, agricultural production is the focus of rural revitalization, and the improvement of agricultural production efficiency is an important way to improve agricultural quality and efficiency. Based on the requirements for agricultural green development in the context of rural revitalization, this study was guided by the goal of the revitalization of grass-based livestock husbandry, taking Tongliao as a study area, carried out the analysis on spatiotemporal patterns and influencing factors of the ecological efficiency of grass-based livestock husbandry.
The results showed that: 1) from 2000 to 2019, the overall production efficiency of grass-based livestock husbandry in Tongliao showed an increasing trend, with the average efficiency increasing from 0.88 to 1.17. Among them, the ecological efficiency of Keerqin District, Keerqinzuoyihou Banner, Kailu County, and Keerqinzuoyizhong Banner has been higher than that of other counties for a long time. 2) According to the Malmquist index and its decomposition, the total factor ecological efficiency, comprehensive technical efficiency, and scale efficiency in 2019 have been generally improved compared with 2000, and the average annual growth rate of the total factor ecological efficiency of grass-based livestock husbandry was 29.3%. Moreover, the improvement of the total factor ecological efficiency of Tongliao mainly depended on technological progress, and the growth of efficiency from 2005 to 2010 was significantly higher than that of other stages. 3) The output of grass-based livestock husbandry, the number of livestock in stock, and the grass-livestock balance were the main factors that determine the improvement of the ecological efficiency of grass-based livestock husbandry. The influence of public infrastructure variables, structural variables, and policy variables on the ecological efficiency of grass-based livestock husbandry showed significant differences. However, after combining various influencing factors, it was found that ecological protection and sustainable development of the environment still had a significant positive impact on the development of grass-based livestock husbandry.
4.2 Discussion
Through the analysis of the development level of grass-based livestock husbandry in Tongliao, there are still two problems in the development of grass-based livestock husbandry in the agro-pastoral ecotone. The first is that the ecological efficiency of grass-based livestock husbandry is uneven. The resource advantage in the agro-pastoral ecotone has not yet been transformed into an economic advantage. There are obvious spatial differences in the development endowment and ecological protection measures of grass-based livestock husbandry (Zhou et al., 2019), which makes the ecological efficiency of grass-based livestock husbandry has great regional differences. The second is that the ecological efficiency of grass-based livestock husbandry has been low for a long time. The continuous excessive input of energy, water, and pasture resources has achieved rapid growth in forage and livestock production, but also led to the deterioration of the ecological environment, which is not conducive to the improvement of the ecological efficiency of grass-based livestock husbandry (Shi et al., 2018).
Agro-pastoral ecotone is an ecologically sensitive and fragile area, the rapid population growth and intense human activity bring food pressure and ecological degradation and form a situation of forced transformation in the construction and development of ecological husbandry (Li et al., 2021). Based on the main conclusions of this research, the following policy implications are proposed to promote the revitalization of the grass-based livestock husbandry in the agro-pastoral ecotone: Firstly, the development mode of agro-pastoral ecotone should be changed, to prioritize ecological and green development, improve the ecological efficiency of grass-based livestock husbandry, and support high-quality development of agriculture. Specifically, extensive production and management models should be transformed, and the relationship between economic development, resource conservation, and environmental protection of the grass-based livestock husbandry should be properly handled. Secondly, regional decision-makers should pay more attention to spatial differentiation and promote the coordinated improvement of the ecological efficiency of grass-based livestock husbandry in the ecotone between agriculture and animal husbandry. Specifically, decision-makers should combine regional resource endowments and economic development levels to formulate differentiated agricultural development strategies. At the same time, it is necessary to maintain coordination and interaction between regions, learn from the advanced experience of grass and animal husbandry production in other regions, and ensure the coordinated improvement of ecological efficiency of grass-based livestock husbandry in different counties. Finally, government departments should support the ecologically inefficient areas of grass-based livestock husbandry, to “prescribe the right medicine for a symptom”. For areas with low land-use efficiency, local government should promote the transformation of pastures in breeding areas, strengthen the development and utilization of local superior and characteristic varieties, promote advanced and applicable breeding techniques, and build a batch of standardized, modern, and large-scale breeding farms. For areas with fragile ecology and high pressure on resources and environment, local government should change the way of using grassland, implement modest scale breeding models such as “summer and autumn grazing, winter and spring house feeding”, and thoroughly implement the grassland ecological protection subsidy and reward policy.
Data Availability Statement
The datasets presented in this article are not readily available because the authors do not have permission to share data. Requests to access the datasets should be directed to DH, aGVkdzA5QDE2My5jb20=.
Author Contributions
All authors listed have made a substantial, direct, and intellectual contribution to the work and approved it for publication. DH: Data Analysis and Manuscript. XD and GJ: Manuscript Editing and Manuscript Review. XW, YZ, and ZS: Manuscript Review. WS and ZZ: Methodology and Manuscript Editing.
Funding
This research was supported by the Strategic Priority Research Program of the Chinese Academy of Sciences (Grant No. XDA23070400).
Conflict of Interest
The authors declare that the research was conducted in the absence of any commercial or financial relationships that could be construed as a potential conflict of interest.
Publisher’s Note
All claims expressed in this article are solely those of the authors and do not necessarily represent those of their affiliated organizations, or those of the publisher, the editors and the reviewers. Any product that may be evaluated in this article, or claim that may be made by its manufacturer, is not guaranteed or endorsed by the publisher.
References
Arabi, B., Munisamy, S., Emrouznejad, A., and Shadman, F. (2014). Power Industry Restructuring and Eco-Efficiency Changes: A New Slacks-Based Model in Malmquist-Luenberger Index Measurement. Energy Policy 68, 132–145. doi:10.1016/j.enpol.2014.01.016
Bonfiglio, A., Arzeni, A., and Bodini, A. (2017). Assessing Eco-Efficiency of Arable Farms in Rural Areas. Agric. Syst. 151, 114–125. doi:10.1016/j.agsy.2016.11.008
Caves, D. W., Christensen, L. R., and Diewert, W. E. (1982). The Economic Theory of Index Numbers and the Measurement of Input, Output, and Productivity. Econometrica 50, 1393–1414. doi:10.2307/1913388
Charnes, A., Cooper, W. W., and Rhodes, E. (1978). Measuring the Efficiency of Decision Making Units. Eur. J. Oper. Res. 2 (6), 429–444. doi:10.1016/0377-2217(78)90138-8
Deng, X., and Gibson, J. (2019). Improving Eco-Efficiency for the Sustainable Agricultural Production: a Case Study in Shandong, China. Technol. Forecast. Soc. Change 144, 394–400. doi:10.1016/j.techfore.2018.01.027
Deng, X., and Gibson, J. (2018). Sustainable Land Use Management for Improving Land Eco-Efficiency: a Case Study of Hebei, China. Ann. Oper. Res. 290, 265–277. doi:10.1007/s10479-018-2874-3
Dong, Y., Jin, G., and Deng, X. (2020). Dynamic Interactive Effects of Urban Land-Use Efficiency, Industrial Transformation, and Carbon Emissions. J. Clean. Prod. 270, 122547. doi:10.1016/j.jclepro.2020.122547
Färe, R., and Grosskopf, S. (1992). Malmquist Productivity Indexes and fisher Ideal Indexes. Econ. J. 102, 158–160. doi:10.2307/2234861
Guo, B., He, D., Zhao, X., Zhang, Z., and Dong, Y. (2020). Analysis on the Spatiotemporal Patterns and Driving Mechanisms of China's Agricultural Production Efficiency from 2000 to 2015. Phys. Chem. Earth, Parts A/B/C 120 (1), 102909. doi:10.1016/j.pce.2020.102909
Hu, Z., Zhao, Z., Zhang, Y., Jing, H., Gao, S., and Fang, J. (2019). Does 'Forage-Livestock Balance' Policy Impact Ecological Efficiency of Grasslands in China? J. Clean. Prod. 207, 343–349. doi:10.1016/j.jclepro.2018.09.158
Jin, G., Deng, X., Zhao, X., Guo, B., and Yang, J. (2018). Spatiotemporal Patterns in Urbanization Efficiency within the Yangtze River Economic Belt between 2005 and 2014. J. Geogr. Sci. 28 (8), 1113–1126. doi:10.1007/s11442-018-1545-2
Koskela, M. (2015). Measuring Eco-Efficiency in the Finnish forest Industry Using Public Data. J. Clean. Prod. 98, 316–327. doi:10.1016/j.jclepro.2014.04.042
Li, S., Zhu, C., Lin, Y., Dong, B., Chen, B., Si, B., et al. (2021). Conflicts between Agricultural and Ecological Functions and Their Driving Mechanisms in Agroforestry Ecotone Areas from the Perspective of Land Use Functions. J. Clean. Prod. 317 (3), 128453. doi:10.1016/j.jclepro.2021.128453
Liu, W., Zhan, J., Li, Z., Jia, S., Zhang, F., and Li, Y. (2018). Eco-efficiency Evaluation of Regional Circular Economy: A Case Study in Zengcheng, Guangzhou. Sustainability 10 (2), 453. doi:10.3390/su10020453
Liu, Y., Zou, L., and Wang, Y. (2020). Spatial-temporal Characteristics and Influencing Factors of Agricultural Eco-Efficiency in China in Recent 40 Years. Land Use Policy 97 (5), 104794. doi:10.1016/j.landusepol.2020.104794
Lv, F., Deng, L., Zhang, Z., Wang, Z., Wu, Q., and Qiao, J. (2021). Multiscale Analysis of Factors Affecting Food Security in China, 1980-2017. Environ. Sci. Pollut. Res. 29, 6511–6525. doi:10.1007/s11356-021-16125-1
Ma, X., Wang, C., Yu, Y., Li, Y., Dong, B., Zhang, X., et al. (2018). Ecological Efficiency in China and its Influencing Factors-A Super-efficient SBM Metafrontier-Malmquist-Tobit Model Study. Environ. Sci. Pollut. Res. 25, 20880–20898. doi:10.1007/s11356-018-1949-7
Malmquist, S. (1953). Index Numbers and Indifference Surfaces. Trabajos De Estadistica 4 (2), 209–242. doi:10.1007/BF03006863
Ray, S., and Desli, E. (1997). Productivity Growth, Technical Progress, and Efficiency Change in Industrialized Countries: Comment. Am. Econ. Rev. 87 (5), 1033–1039.
Rebolledo-Leiva, R., Angulo-Meza, L., Iriarte, A., González-Araya, M. C., and Vásquez-Ibarra, L. (2019). Comparing Two CF+DEA Methods for Assessing Eco-Efficiency from Theoretical and Practical Points of View. Sci. Total Environ. 659, 1266–1282. doi:10.1016/j.scitotenv.2018.12.296
Schaltegger, S., and Sturm, A. (1990). Ökologische rationalität: ansatzpunkte zur ausgestaltung von ökologieorientierten managementinstrumenten. Die Unternehmung 44 (4), 273–290.
Schaltegger, S., and Synnestvedt, T. (2002). The Link between 'green' and Economic success: Environmental Management as the Crucial Trigger between Environmental and Economic Performance. J. Environ. Manage. 65 (4), 339–346. doi:10.1006/jema.2002.0555
Shi, W., Liu, Y., and Shi, X. (2018). Contributions of Climate Change to the Boundary Shifts in the Farming-Pastoral Ecotone in Northern China since 1970. Agric. Syst. 161 (3), 16–27. doi:10.1016/j.agsy.2017.12.002
Sun, Z., Wang, Q., Xiao, Q., Batkhishig, O., and Watanabe, M. (2015). Diverse Responses of Remotely Sensed Grassland Phenology to Interannual Climate Variability over Frozen Ground Regions in Mongolia. Remote Sensing 7 (1), 360–377. doi:10.3390/rs70100360
Tan, R., and Lin, B. (2020). The Influence of Carbon Tax on the Ecological Efficiency of China's Energy Intensive Industries-A Inter-fuel and Inter-factor Substitution Perspective. J. Environ. Manage. 261 (1), 110252. doi:10.1016/j.jenvman.2020.110252
Tian, P., Li, J., Cao, L., Pu, R., Wang, Z., Zhang, H., et al. (2021). Assessing Spatiotemporal Characteristics of Urban Heat Islands from the Perspective of an Urban Expansion and green Infrastructure. Sust. Cities Soc. 74 (13), 103208. doi:10.1016/j.scs.2021.103208
Xing, Z., Wang, J., and Zhang, J. (2018). Expansion of Environmental Impact Assessment for Eco-Efficiency Evaluation of China's Economic Sectors: An Economic Input-Output Based Frontier Approach. Sci. Total Environ. 635, 284–293. doi:10.1016/j.scitotenv.2018.04.076
Yang, L., and Yang, Y. (2019). Evaluation of Eco-Efficiency in China from 1978 to 2016: Based on a Modified Ecological Footprint Model. Sci. Total Environ. 662, 581–590. doi:10.1016/j.scitotenv.2019.01.225
Yin, K., Wang, R., An, Q., Yao, L., and Liang, J. (2014). Using Eco-Efficiency as an Indicator for Sustainable Urban Development: A Case Study of Chinese Provincial Capital Cities. Ecol. Indicators 36 (1), 665–671. doi:10.1016/j.ecolind.2013.09.003
Yue, S., Yang, Y., and Pu, Z. (2017). Total-factor Ecology Efficiency of Regions in China. Ecol. Indicators 73, 284–292. doi:10.1016/j.ecolind.2016.09.047
Zhang, Y., LuZhou, Y. Q., Zhou, Q., and Wu, F. (2020). Optimal Water Allocation Scheme Based on Trade-Offs between Economic and Ecological Water Demands in the Heihe River Basin of Northwest China. Sci. Total Environ. 703, 134958. doi:10.1016/j.scitotenv.2019.134958
Zhao, Y., Wang, S., Ge, Y., Liu, Q., and Liu, X. (2017). The Spatial Differentiation of the Coupling Relationship between Urbanization and the Eco-Environment in Countries Globally: A Comprehensive Assessment. Ecol. Model. 360, 313–327. doi:10.1016/j.ecolmodel.2017.07.009
Zhou, C., Shi, C., Wang, S., and Zhang, G. (2018). Estimation of Eco-Efficiency and its Influencing Factors in Guangdong Province Based on Super-SBM and Panel Regression Models. Ecol. Indicators 86, 67–80. doi:10.1016/j.ecolind.2017.12.011
Keywords: rural revitalization, ecological efficiency, grass-based livestock husbandry, DEA method, agro-pastoral ecotone
Citation: He D, Deng X, Jin G, Wang X, Zhang Y, Sun Z, Shi W and Zhao Z (2022) Ecological Efficiency of Grass-Based Livestock Husbandry Under the Background of Rural Revitalization: An Empirical Study of Agro-Pastoral Ecotone. Front. Environ. Sci. 10:848134. doi: 10.3389/fenvs.2022.848134
Received: 04 January 2022; Accepted: 28 January 2022;
Published: 08 April 2022.
Edited by:
Fan Zhang, Institute of Geographic Sciences and Natural Resources Research (CAS), ChinaCopyright © 2022 He, Deng, Jin, Wang, Zhang, Sun, Shi and Zhao. This is an open-access article distributed under the terms of the Creative Commons Attribution License (CC BY). The use, distribution or reproduction in other forums is permitted, provided the original author(s) and the copyright owner(s) are credited and that the original publication in this journal is cited, in accordance with accepted academic practice. No use, distribution or reproduction is permitted which does not comply with these terms.
*Correspondence: Xiangzheng Deng, ZGVuZ3h6QGlnc25yci5hYy5jbg==