ORIGINAL RESEARCH article
Front. Nutr.
Sec. Nutrition and Food Science Technology
This article is part of the Research TopicNatural Bioactive Compounds in Food Preservation and SafetyView all 6 articles
Assessment of chitosan based edible coatings containing bioactive compounds derived from agricultural residue for improving postharvest quality characteristics of tomato (Solanum lycopersicum L.)
Provisionally accepted- department of microbiology, college of basic sciences and humanities, Chaudhary Charan Singh Haryana Agricultural University, Hisar, India
Select one of your emails
You have multiple emails registered with Frontiers:
Notify me on publication
Please enter your email address:
If you already have an account, please login
You don't have a Frontiers account ? You can register here
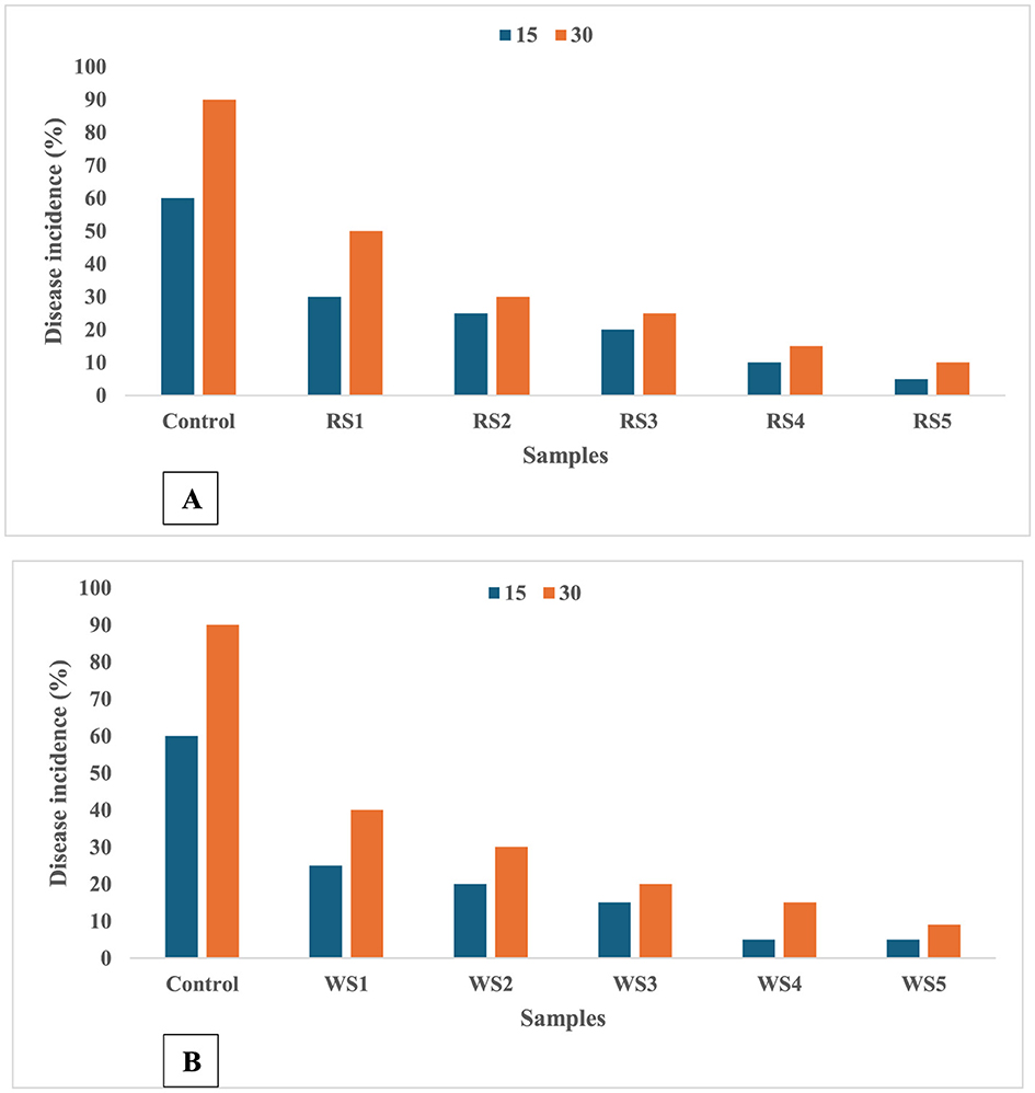
The aim of the present study was to evaluate the impact of bioactive-based edible coatings on the shelf life of tomatoes. Bioactive compounds were extracted from rice and wheat straw. Different concentrations of phenolic extracts (0.2–1.0 g/mL) were blended with 1 % chitosan and applied to fresh tomatoes stored at 28 °C and 74–84 % relative humidity for 30 days. Periodic evaluations revealed that tomatoes coated with 1.0 g/ml extract of rice and wheat straw coatings were highly effective in maintaining tomato quality as compared to controls. Tomatoes coated with 1.0 g/mL extract of wheat straw exhibited the most favourable results, including delayed weight loss (1.29 %), slowed ripening, reduced pH levels, lower lycopene (2.79 mg/100 g) and beta-carotene (0.62 mg/100 g) contents as compared to those coated with coatings containing rice straw extracts. Additionally, wheat straw extract-coated tomatoes had the lowest disease incidence (2 %) after 30 days as compared to 100 % incidence in control samples. Overall, using edible coatings enriched with rice and wheat straw extracts presents a promising approach to extending the shelf life of tomatoes while preserving their nutritional value, inhibiting microbial growth, and offering a more sustainable and eco-friendlier alternative to conventional packaging methods.
Keywords: Rice straw, Wheat straw, bioactive compounds, Tomato, Edible coating, shelf life
Received: 25 Jul 2025; Accepted: 26 Sep 2025.
Copyright: © 2025 Yadav, malik, Sharma, Dhillon and Harikarthik. This is an open-access article distributed under the terms of the Creative Commons Attribution License (CC BY). The use, distribution or reproduction in other forums is permitted, provided the original author(s) or licensor are credited and that the original publication in this journal is cited, in accordance with accepted academic practice. No use, distribution or reproduction is permitted which does not comply with these terms.
* Correspondence: kamla malik, kamlamalik06@gmail.com
Disclaimer: All claims expressed in this article are solely those of the authors and do not necessarily represent those of their affiliated organizations, or those of the publisher, the editors and the reviewers. Any product that may be evaluated in this article or claim that may be made by its manufacturer is not guaranteed or endorsed by the publisher.
