ORIGINAL RESEARCH article
Front. Nutr.
Sec. Nutrition and Metabolism
This article is part of the Research TopicRecent Insights in Vegetarian NutritionView all 8 articles
The VEGPREV Study: Effectiveness of Four Plant-Based Diets on Weight Loss, Metabolic Syndrome Components and Appetitive Traits in Overweight and Obese Individuals: A Randomized Controlled Trial
Provisionally accepted- 1Department of Social Medicine and Public Health, Medical University of Warsaw, Warsaw, Poland
- 2Doctoral School, Medical University of Warsaw, Warsaw, Poland
- 3Central Laboratory, University Clinical Centre, Medical University of Warsaw, Warsaw, Poland
- 4Department of Laboratory Medicine, Medical University of Warsaw, Warsaw, Poland
- 5Department of Nutrition and Epidemiology, Medical University of Lodz, Lodz, Poland
- 6International Doctoral School, Medical University of Lodz, Lodz, Poland
- 7Department of Dietetics, Institute of Human Nutrition Sciences, Warsaw University of Life Sciences (WULS-SGGW), Warsaw, Poland
Select one of your emails
You have multiple emails registered with Frontiers:
Notify me on publication
Please enter your email address:
If you already have an account, please login
You don't have a Frontiers account ? You can register here
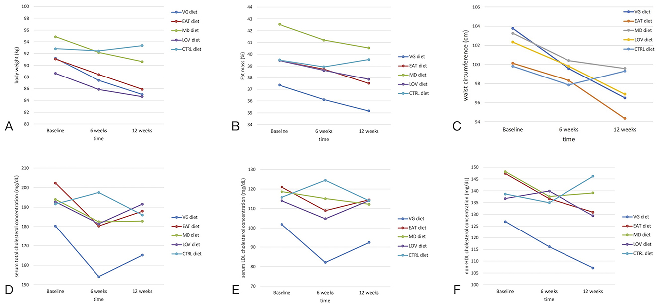
Background: Obesity and its associated metabolic disturbances remain a growing public health concern, highlighting the need for effective and sustainable dietary strategies. This randomized controlled trial aimed to compare the effects of four plant-based dietary patterns: vegan (VG), lacto-ovo-vegetarian (LOV), Mediterranean (MD), and the EAT-Lancet Planetary Health Diet (EAT) with a control diet based on WHO recommendations (CTRL) in reducing body weight and improving selected metabolic and behavioral parameters in overweight and obese adults. Methods: A total of 90 participants (aged 18–64) were methodically assigned to one of five distinct dietary groups for a period of 12 weeks. The primary outcome measured was the change in body weight. Secondary outcomes encompassed body composition, waist circumference, energy and macronutrient intake, fasting plasma glucose and insulin levels, arterial blood pressure, plasma lipid profile, appetitive traits, physical activity, and quality of life. A total of 85 subjects completed the intervention. Results: All plant-based diets resulted in a reduction of body weight, waist circumference, fat mass, and energy intake in comparison to the control group. The most pronounced body weight reductions were observed after 12 weeks in the VG group (–6.7%) and the EAT group (–5.6%) (p < 0.001). A significant decrease in fat mass was observed across all intervention groups (p < 0.01). The investigation revealed no substantial between-group disparities in fasting plasma glucose, insulin, HOMA-IR, lipid levels, blood pressure or appetitive traits. No serious adverse events were observed. Conclusion: Among plant-based dietary patterns differing in animal product content, the EAT and VG diets demonstrated the most pronounced effects on weight and body composition. These findings provide support for the notion that structured, plant-based dietary interventions can be effective strategies for managing body weight.
Keywords: Plant-based diets, Weight Loss, metabolic syndrome, Obesity, Appetitive traits, dietary intervention
Received: 31 Jul 2025; Accepted: 28 Oct 2025.
Copyright: © 2025 Wiśniewska, Okręglicka, Paskudzka, Jagielska, Bober, Oczkowski, Ciepiela and Nitsch-Osuch. This is an open-access article distributed under the terms of the Creative Commons Attribution License (CC BY). The use, distribution or reproduction in other forums is permitted, provided the original author(s) or licensor are credited and that the original publication in this journal is cited, in accordance with accepted academic practice. No use, distribution or reproduction is permitted which does not comply with these terms.
* Correspondence: Klaudia Wiśniewska, klaudia.wisniewska@wum.edu.pl
Disclaimer: All claims expressed in this article are solely those of the authors and do not necessarily represent those of their affiliated organizations, or those of the publisher, the editors and the reviewers. Any product that may be evaluated in this article or claim that may be made by its manufacturer is not guaranteed or endorsed by the publisher.
