ORIGINAL RESEARCH article
Front. Nutr.
Sec. Clinical Nutrition
This article is part of the Research TopicRecent Insights in Vegetarian NutritionView all 8 articles
Prevalence, motivations, lifestyle preferences, and basic health behavior among 1,350 vegan, vegetarian, and omnivorous Austrian school teachers and principals
Provisionally accepted- 1Universitat Innsbruck, Innsbruck, Austria
- 2Padagogische Hochschule Oberosterreich, Linz, Austria
- 3RockITLime, Stans, Austria
- 4SIPCAN – Special Institute for Preventive Cardiology and Nutrition, Elsbethen, Austria
Select one of your emails
You have multiple emails registered with Frontiers:
Notify me on publication
Please enter your email address:
If you already have an account, please login
You don't have a Frontiers account ? You can register here
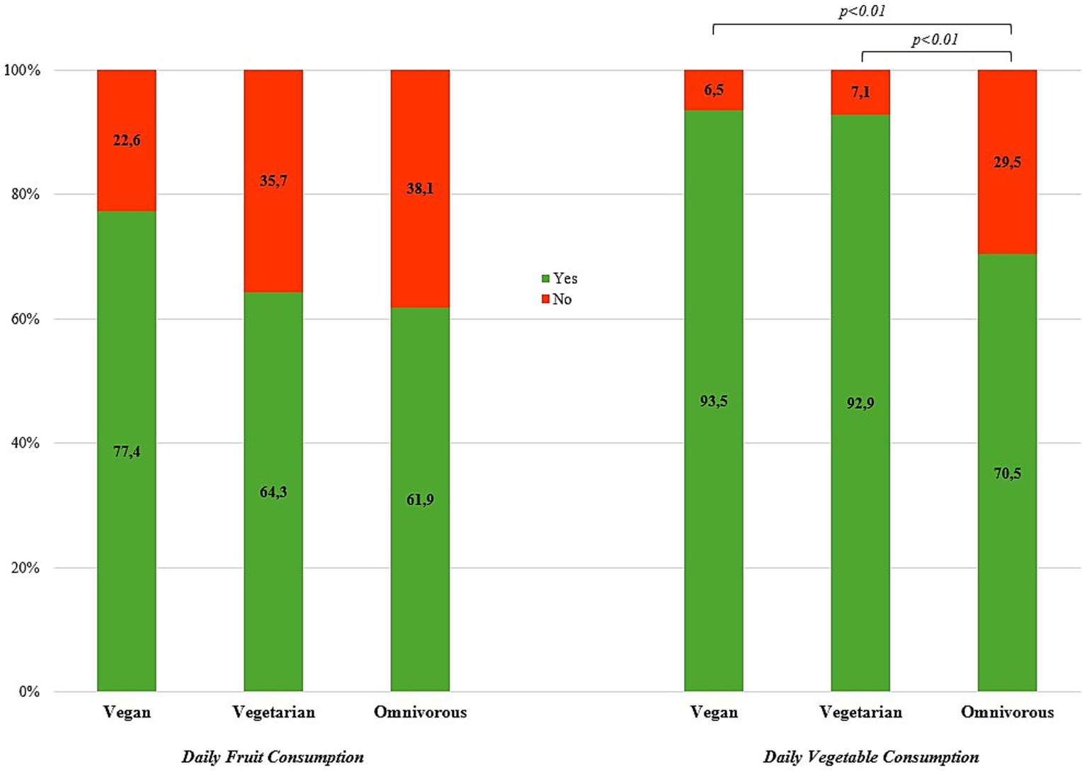
Abstract Introduction: Few European and Austrian adults live a healthy lifestyle. As critical role models, school teachers and principals are highly influential for delivering basic health education to children and adolescents. Objective: This investigation aimed to analyze the underlying motivations and lifestyle preferences for diet type adherence among school teachers and principals and the associations with basic health behavior. Methods: The present study followed a cross-sectional design. School teachers and principals in Austria fill out an online questionnaire, with questions on anthropometrics, physical activity levels, dietary behavior, and alcohol and smoking consumption. Statistical analysis was conducted with ANOVA and chi-squared tests. Results: The final sample included 1,350 participants (409 males, 941 females) with an average age of 45.8 ± 11.4 years. Health (46.4%) was the most important reason for dietary choice and sports engagement, and lifestyle (pooled 81.7%) the predominant lifestyle preference across all dietary subgroups. Prevalence of vegan, ovo-lacto-vegetarian and omnivorous diet of school teachers and principals was 2.3%, 5.2%, and 92.5%, respectively. Females were more likely to follow an ovo-lacto- vegetarian diet (6.4% vs. 2.4%; p<0.01) or vegan/ ovo-lacto-vegetarian (9.0% vs. 4.1%) than males. For total sample, no differences were found across the dietary subgroups considering leisure time physical activity, sports & exercise levels (88.7%; n = 1,197) and weekly engagement in sports (range: 2.9-3.3 days/week), the prevalence of daily fruit consumption (62.4%), alcohol intake (81.5%), or smoking prevalence (11.0%). Vegetable intake was significantly higher among ovo-lacto-vegetarians and vegans (92.9% and 93.5%, respectively; p<0.01) than in omnivores. Conclusions: This is the first study to investigate the potential differences in basic health behavior among refined dietary subgroups (omnivorous, ovo-lacto-vegetarian, and vegan) in school teachers and principals. The findings indicate that basic diet type differentiation is the first step towards fundamentally healthy behavior, however, further action must be taken to achieve better health among school teachers and principals in Austria (more physical activity, sports & exercise, and fruit and vegetable consumption, less alcohol intake and no smoking).
Keywords: plant-based1, nutrition2, Exercise3, physical activity4, sport5, Public health6, prevention7, health promotion8
Received: 01 Aug 2025; Accepted: 01 Oct 2025.
Copyright: © 2025 Wirnitzer, Tanous, Drenowatz, Wirnitzer, Schätzer, Ruedl and Kirschner. This is an open-access article distributed under the terms of the Creative Commons Attribution License (CC BY). The use, distribution or reproduction in other forums is permitted, provided the original author(s) or licensor are credited and that the original publication in this journal is cited, in accordance with accepted academic practice. No use, distribution or reproduction is permitted which does not comply with these terms.
* Correspondence: Katharina C. Wirnitzer, katharina.wirnitzer@uibk.ac.at
Disclaimer: All claims expressed in this article are solely those of the authors and do not necessarily represent those of their affiliated organizations, or those of the publisher, the editors and the reviewers. Any product that may be evaluated in this article or claim that may be made by its manufacturer is not guaranteed or endorsed by the publisher.
