CORRECTION article
Front. Nutr.
Sec. Nutrition and Metabolism
Correction: Differential Effects of Prophylactic Iron Supplementation on Physiological Gestational Anemia and Post IDA Gestational Anemia: A Study Based on a Rat Model
Provisionally accepted- Chengdu University of Chinese Medicine, Cheng Du, China
Select one of your emails
You have multiple emails registered with Frontiers:
Notify me on publication
Please enter your email address:
If you already have an account, please login
You don't have a Frontiers account ? You can register here
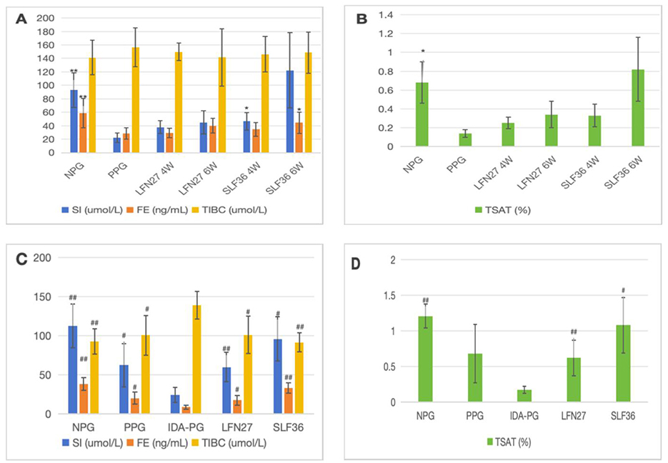
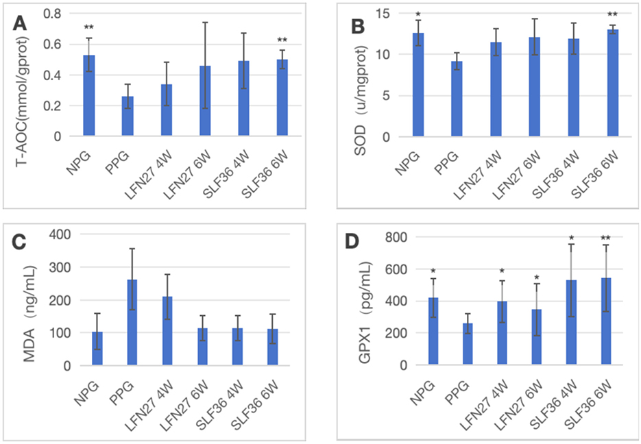
The original version of this article has been updated. There was a mistake in figure [ The original version of this article has been updated. The original version of this article has been updated. The original version of this article has been updated. The original version of this article has been updated. The original version of this article has been updated. The original version of this article has been updated. There was a mistake in figure [ The original version of this article has been updated.
Keywords: Pregnancy anemia, iron deficiency anemia, iron metabolism, Iron supplements, Fertility
Received: 26 Sep 2025; Accepted: 13 Oct 2025.
Copyright: © 2025 Zhang, Lai, Liu, Liu, Liping and Zou. This is an open-access article distributed under the terms of the Creative Commons Attribution License (CC BY). The use, distribution or reproduction in other forums is permitted, provided the original author(s) or licensor are credited and that the original publication in this journal is cited, in accordance with accepted academic practice. No use, distribution or reproduction is permitted which does not comply with these terms.
* Correspondence:
Qu Liping, quliping2018@163.com
Wenjun Zou, zouwenjun@163.com
Disclaimer: All claims expressed in this article are solely those of the authors and do not necessarily represent those of their affiliated organizations, or those of the publisher, the editors and the reviewers. Any product that may be evaluated in this article or claim that may be made by its manufacturer is not guaranteed or endorsed by the publisher.
