- Department of Physics, Dalian University of Technology, Dalian, China
It is crucial to control the collision between ultracold atoms by applying external fields. We developed a theoretical model for investigating the s-wave scattering of ultracold atoms controlled by the magnetic field and laser field. The calculation is performed by using the close-coupling method and mapped Fourier grid method. Due to the interference between the photoassociation and bound-to-bound transitions, the bound state in the continuum, which is a resonance with a vanishing width, occurs at the magnetic field position near the magnetic Feshbach resonance. The widths of resonances in the neighborhood of the bound state in the continuum are narrow. Changing the laser intensity can shift the magnetic field position where the bound state in the continuum occurs through modifying the ground molecular state to induce wide resonances at desired magnetic field positions. By increasing the resonance width, the tunability of the real part of the scattering length at resonances can be significantly improved. Changing the laser intensity can also adjust the coupling between the ground and excited molecular states. When the coupling between the ground and excited molecular states approaches zero, a resonance is induced, and the photoassociation and bound-to-bound transitions are both significantly suppressed at this resonance. Therefore, the atomic loss peak due to spontaneous emission does not appear at this resonance. The magnetic field position of this resonance is stable against the change in laser frequency.
1 Introduction
The manipulation of ultracold atoms by external fields has attracted a lot of interest from researchers in recent years. Among various technologies, magnetic Feshbach resonances have been widely studied and detected in many systems [1–5]. Taking advantage of magnetic Feshbach resonances, researchers can modulate the scattering length of ultracold atoms [6, 7] and prepare the Bose–Einstein condensate (BEC) [8]. Feshbach resonances can also be used to realize the 3D or quasi-2D BEC-BCS crossover with atomic Fermi gases [9–11]. Laser can be used to induce photoassociation resonances and regulate the interaction between ultracold atoms as well [12]. Photoassociation resonances are also widely applied to prepare ultracold molecules [13, 14]. Ultracold atoms can be excited by laser to the excited molecular state during the collision, but this will cause atomic spontaneous emission losses.
In order to control the collision of ultracold atoms effectively, both the magnetic field and laser field are usually applied [15–17]. The frequency and intensity of the laser field are two adjustable parameters, offering more flexibility for researchers in experiments. In the mixture experiments of BECs of two different species [18, 19] or BECs in different internal states of the same isotope [20], several scattering lengths need to be modulated independently. In an optical lattice, the scattering length can be modulated in specific lattice sites [21–25]. The fine spatial modulation of the scattering length can be realized by laser, and this offers experimental feasibility for spatial modulation of the interatomic interaction [26, 27].
A traveling-wave laser beam has been applied to control the magnetic Feshbach resonance [28]. Under the co-action of the magnetic field and laser field, the magnetic Feshbach resonance splits into two resonances, and an Autler–Townes doublet in the particle loss has been observed. Compared with tuning the scattering length with an optically induced Feshbach resonance [29], the loss rate coefficient can be reduced by one order of magnitude. Bauer and co-workers used one specific excited molecular state in this experiment, where the photoassociation coupling between this specific excited molecular state and the continuum state of the incoming atom pair is negligible [28]. Thus, laser only induces the molecular bound-to-bound transition between ground and excited molecular states [30–32]. With the photoassociation coupling not being considered, the resonance width is proportional to
Friedrich and co-workers demonstrated that when two ultracold atoms are trapped in the bound states of two different closed channels during the collision, the resonance position and width can be altered by changing the external field [37, 38]. However, the particle loss caused by the external field is not considered. The modification of the ground molecular state by laser is not considered either. The external field can induce a resonance with vanishing width. Such a resonance is also called the bound state in the continuum, which has been observed in various systems such as quantum billiard and quantum dot [39, 40]. The bound state in the continuum can be prepared by lasers near a magnetic Feshbach resonance in ultracold atoms but decays fast due to the spontaneous emission loss [41, 42].
In the present work, we investigated the collision property between two ultracold atoms under the co-action of the magnetic field and laser field. The magnetic field is adjusted to the neighborhood of a magnetic Feshbach resonance. Laser can induce the photoassociation process and bound-to-bound transition. With the photoassociation coupling being considered, the resonance width is dependent on the three coupling terms among the ground molecular state, the excited molecular state, and the continuum state of the incoming atom pair. The resonance width can be increased by adjusting the laser intensity. Compared with a narrow resonance, the tunability of the scattering length at a wide resonance is significantly improved and the spontaneous emission loss is reduced. The coupling between the ground and excited molecular states is composed of the direct bound-to-bound coupling and the indirect coupling induced by the photoassociation coupling and Feshbach coupling via the continuum states of the incoming atom pair. The coupling can be almost completely canceled by adjusting the laser intensity. We found that in this case, the spontaneous emission loss at the resonance is significantly suppressed and that the magnetic field position of this resonance is stable against the change in laser frequency. We found that the interference between the bound-to-bound transition and photoassociation transition can be used to prepare the bound state in the continuum, a resonance with a vanishing width. The magnetic field position of the bound state in the continuum can be shifted by changing the laser intensity. At the magnetic field position where the bound state in the continuum occurs, when laser frequency is detuned with respect to the resonant frequency, the scattering length is almost unchanged with laser frequency and the spontaneous emission loss is significantly suppressed.
This paper is organized as follows: in Section 2, we present the solution to the coupled equations for the three-radial channel wave functions in the magnetic field and laser field. The resonance width is given, which depends on the three coupling terms among the ground, excited molecular states, and the continuum state of the incoming atom pair. It is explained why the scattering length is frequency-independent at the magnetic field position where the bound state in the continuum occurs when the frequency is detuned away from the resonance condition. We give the amplitude factors of the ground and excited molecular states in the condition that the open-channel wavefunction remains normalized in energy, which are related to the resonance width. In Section 3, we calculate the magnetic field positions of resonances and the loss rate coefficients at different laser frequencies and intensities. We also investigate the modulation of the real part of the s-wave scattering length at the magnetic field positions near the original magnetic Feshbach resonance. Finally, a conclusion is drawn in Section 4.
2 Theory
The scattering process of two ultracold atoms controlled by the magnetic field and laser field is shown in Figure 1. In the absence of the laser field, channel 1 is only coupled with channel 2. Two colliding atoms are trapped in the bound states of channel 2, and the magnetic field induces a magnetic Feshbach resonance. After laser is applied, two colliding atoms are either directly excited to the bound states of channel 3 by photoassociation coupling or first trapped in the bound states of channel 2 and then excited to the bound states of channel 3 by bound-to-bound coupling. When the two atoms are trapped in the bound states of channel 3, the spontaneous emission may take place and induce atomic losses. In our close-coupling calculations, an open-channel coupled with channel 3 is used to describe atomic losses [43–45]. Under the rotating-wave approximation, the coupled equation of radial channel wavefunctions for the three-channel system is given by the following:
where ℏ is the reduced Planck constant, μ the reduced mass, and r the internuclear separation. Ei and Vi (i = 1,2,3) are the channel energy and interaction potential, respectively. Vi (i = 1,2,3) approaches zero as r → ∞. The threshold energy E1 of channel 1 is taken to be zero. Channels 2 and 3 are closed channels with E2 and E3 > 0. The energy E3 of channel 3 is obtained by reducing the energy of one photon ℏω from the original channel energy. E3 can be adjusted by changing the laser frequency. Vi,j (i ≠ j) are the coupling potentials between the channels. The coupling potential V1,2 (V2,1) between channels 1 and 2 does not vary with the laser frequency and intensity. V1,3 (V3,1) and V2,3 (V3,2) can be modulated by changing the laser intensity and are independent of the laser frequency. Ecol is the collision energy between two ultracold atoms. Ecol = 1 μK × kB in our close-coupling calculations, where kB is the Boltzmann constant. Here, only the s-wave scattering is considered. The interaction potentials Vi (i = 1,2,3) and coupling potentials Vi,j (i ≠ j) used in our calculation are taken from [46], which change with the magnetic field. In the appendix, Vi (i = 1,2,3) and Vi,j (i ≠ j) are shown in Figure A1 at the magnetic field having the original magnetic Feshbach resonance. Figures A1E, F show the laser-induced coupling potentials V1,3 and V2,3 when laser amplitude is set to 10Es. The minimal laser amplitude in our calculation is taken to be Es, where the coupling potentials V1,3 (V3,1) and V2,3 (V3,2) are much weaker than the coupling potential V1,2 (V2,1).

FIGURE 1. (Color online) Schematic illustration of the three-channel system. The ground molecular state in channel 2 is coupled to the incoming continuum state in channel 1, which induces the magnetic Feshbach resonance. The laser induces the bound-to-bound transition between the ground and excited molecular states and the photoassociation from the incoming continuum state to the excited molecular state in channel 3.
By using the mapped Fourier grid method [47, 48], we calculate the wavefunctions of several stationary s-wave continuum states with the lowest eigenenergies in the three-channel system. We find that the wavefunctions in channels 2 and 3 are both superpositions of bound-state wavefunctions of corresponding closed channels. In the absence of the laser field, the wavefunctions in channel 2 in the neighborhood of the magnetic Feshbach resonance are also superpositions of bound-state wavefunctions. Therefore, when obtaining the solution of Eq. 1 by using the Feshbach theory, we cannot think that the wavefunction in channel 2 or 3 is composed of a single bound-state wavefunction.
The solution of Eq. 1 can be written as follows:
where
where
where k is the magnitude of the incoming wave vector and δbg the s-wave background phase shift in channel 1. In Eq. 3,
We then obtain two equations about A2 and A3,
where
By using the abbreviations,
and
the solutions of Eqs 5–6 are expressed as
With the photoassociation coupling V1,3 being considered, the coupling W3,2 between the ground and excited molecular states
The s-wave scattering phase shift δres caused by the resonance is given by the following [37]:
When (Ecol − ϵ2)(Ecol − ϵ3) − |W2,3|2 = 0, the resonance takes place under the co-action of the magnetic field and laser field. The resonance width Γ is given by the following:
When Wi,j (i, j = 1, 2, 3) does not change with Ecol, we obtain the following:
where
and
When (Ecol − ϵ2)W3,1 + W3,2W2,1 = 0 at a specific magnetic field position B1 and the resonance condition D = 0 is met, we obtain the following:
From Eqs 14, 15, it is shown that N (Ecol) = 0, and hence, the resonance width is zero. Thus, due to the interference between the photoassociation transition induced by W3,1 and the bound-to-bound transition induced by W3,2, (Ecol − ϵ2)W3,1 + W3,2W2,1 = 0 at B1 and the bound state in the continuum occurs when D = 0.
When the energy ϵ3 of the excited molecular state is detuned away from the resonance condition by changing the laser frequency, at B1 where (Ecol − ϵ2)W3,1 + W3,2W2,1 = 0, we obtain
In this case, two colliding atoms will be almost free from being trapped in the bound states of channel 3 during the collision. The spontaneous emission loss is negligible. The phase shift δres is entirely dominated by channel 2, that is,
Tuning the laser frequency does not change the scattering length at B1.
In order to let the wavefunction
To meet this requirement, we multiplied U by cos δres,
where
and
When the resonance condition D = 0 is fulfilled, we obtain
3 Results and discussion
In our model, there is a magnetic Feshbach resonance at B = B0 in the absence of laser, and B0 is given in the appendix. With laser applied, the two colliding atoms are excited to the bound states of channel 3 during the collision. We calculate the real part Re(a) of the scattering length and loss rate coefficient at different magnetic field positions and laser frequencies using the close-coupling method. For the minimal laser amplitude E0 = Es of the electric field E = E0 cos (ωt), we find that the bound state in the continuum occurs at the magnetic field position
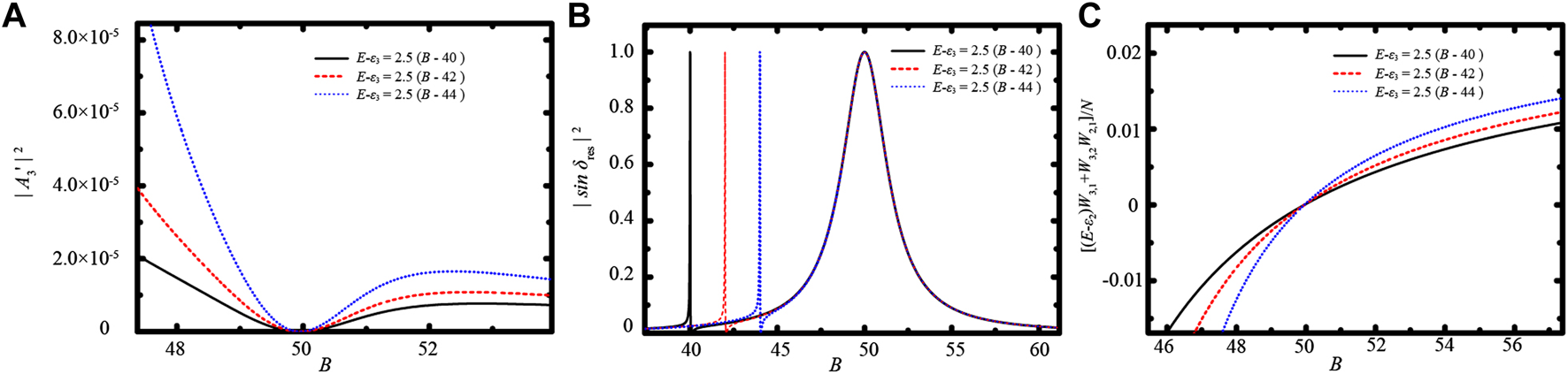
We then calculate the wavefunction
It can be seen that the two wavefunctions
When the amplitude E0 increases to 5Es, the bound state in the continuum occurs at the magnetic field position
It can be seen that when E0 = 5Es, the wavefunction
When the amplitude E0 increases to 10Es, the bound state in the continuum occurs at
It can be seen from the aforementioned results that the wavefunction in channel 2 will be more significantly changed as laser intensity increases. As a result, the magnetic field position B1 where the bound state in the continuum occurs is shifted and the real part Re(a) of the scattering length is changed.
According to Eq. 12, the s-wave resonance takes place under the co-action of the magnetic field and laser field when (Ecol − ϵ2)(Ecol − ϵ3) − |W2,3|2 = 0. The energy ϵ3 can be modulated by changing laser frequency, and hence, the magnetic field position of the resonance shifts with laser frequency. Figure 2 shows the magnetic field positions of resonances at different laser frequencies ω when the amplitude E0 = 10Es. When

FIGURE 2. (Color online) The magnetic field positions of the two resonances split from the original magnetic Feshbach resonance versus laser frequency when E0 =10Es. When laser frequency at
Figure 3 shows the loss rate coefficients as a function of the magnetic field for different laser frequencies around

FIGURE 3. The loss rate coefficients versus magnetic field B for laser frequencies (A) ω =

FIGURE 4. (Color online) Loss rate coefficients at the two resonances for different laser frequencies. The resonance on the left side of the magnetic field position is shown by a black bar with blank pattern. The resonance on the right side of the magnetic field position is shown by a red bar with dense pattern. The laser amplitude E0 is set at 10Es.
As shown in Figure 2, the magnetic field position of the resonances can be shifted by changing the laser frequency. However, the resonance widths are narrow in the neighborhood of the magnetic field position

FIGURE 5. The real part Re (A) of the scattering length versus magnetic field B for laser frequencies (A) ω =
Therefore, when laser amplitude E0 = 10Es, Re(a) cannot be tuned effectively in the neighborhood of the magnetic field position
By increasing laser amplitude from 10Es to 50Es, the bound state in the continuum is shifted from
Changing laser amplitude not only shifts the magnetic field position where the bound state in the continuum occurs but also adjusts the coupling W2,3 between the ground and excited molecular states. A special case is that the coupling W2,3 approaches zero due to the interference between the direct bound-to-bound coupling and the indirect coupling. Figure 6 shows the magnetic field positions of resonances at different laser frequencies when laser amplitude E0 = 60Es. One of the two resonances is linearly shifted, while the other resonance is unmoved. Due to the small |W2,3|, the minimum difference between the magnetic field positions of the two resonances is only 0.21 G.

FIGURE 6. (Color online) Magnetic field positions of the two resonances split from the original Feshbach resonance versus laser frequency when E0 = 60Es.
We calculate the real part Re(a) of the scattering length versus the magnetic field B for different laser frequencies, as shown in Figure 7A. With |W2,3| approaching zero, at the linearly shifted resonance |Ecol − ϵ2|≫|W2,3|≫|Ecol − ϵ3| and the resonance width Γ ≈ 2π|W3,1|2. At the unmoved resonance, |Ecol − ϵ3|≫|W2,3|≫|Ecol − ϵ2| and the resonance width Γ ≈ 2π|W2,1|2. We also calculate the loss rate coefficient at the two resonances for different laser frequencies. The maximum loss rate coefficients at the linearly shifted resonances for three frequencies are almost the same, which are 2.44 × 10−11, 2.49 × 10−11, and 2.59 × 10−11 cm3s−1, respectively. At the linearly shifted resonance

FIGURE 7. (Color online) (A) The real part Re (A) of the scattering length versus the magnetic field B for laser frequencies ω =
Figure 8 is a schematic illustration of the variation of

FIGURE 8. (Color online) Schematic illustration of (A)
4 Conclusion
In this paper, we investigate the s-wave scattering of ultracold atoms controlled by the magnetic field and laser field in the neighborhood of the original magnetic Feshbach resonance. We find that the bound state in the continuum occurs at the magnetic field position B1 near the original magnetic Feshbach resonance due to the interference between the photoassociation and bound-to-bound transitions. Changing the laser frequency can shift the magnetic field positions of resonances, and the widths of resonances in the neighborhood of B1 become narrow. Because the probability of being trapped in the excited molecular state increases as the resonance width decreases, the loss rate coefficients at narrow resonances are large. The tunability of the real part Re(a) of the scattering length is severely limited at narrow resonances. The wavefunction of the ground molecular state is more significantly changed as laser intensity increases. Therefore, changing the laser intensity can shift the magnetic field position B1 to induce wide resonances at desired magnetic field positions. This paves the way to tune the scattering length at a wide range of magnetic fields near the original magnetic Feshbach resonance. Changing the laser intensity also adjusts the coupling between the ground and excited molecular states. With the coupling canceled, a resonance is induced at which the loss rate coefficient is significantly suppressed. The scattering length can be tuned over a large range without causing rapid atomic losses. At the magnetic field position where the bound state in the continuum occurs, when the laser frequency is detuned away from the resonance condition, the scattering length does not change with the laser frequency and the spontaneous emission losses are significantly suppressed. Therefore, the laser frequency can be used as the control parameter to manipulate ultracold systems, for example, when other scattering lengths in this system need to be tuned. In this work, the s-wave scattering is manipulated by the magnetic field and one laser. In the future work, we would consider adding another laser to couple the excited molecular state with a deeply bound ground molecular state. In this way, more control parameters will be used to manipulate ultracold systems. Moreover, ultracold atoms are trapped in the deeply bound ground molecular state during the collision, which may be helpful in the preparation of ultracold molecules.
Data availability statement
The original contributions presented in the study are included in the article/Supplementary Material; further inquiries can be directed to the corresponding author.
Author contributions
B-KL performed research, analyzed data, and wrote the paper; B-WS analyzed data and wrote the paper; Z-HY wrote the paper; G-RW wrote the paper; S-LC designed the research study and wrote the paper. All authors contributed to the article and approved the submitted version.
Funding
This work is supported by the National Key R&D Program of China (No. 2018YFA0306503) and the National Natural Science Foundation (No. 11274056).
Conflict of interest
The authors declare that the research was conducted in the absence of any commercial or financial relationships that could be construed as a potential conflict of interest.
Publisher’s note
All claims expressed in this article are solely those of the authors and do not necessarily represent those of their affiliated organizations, or those of the publisher, the editors, and the reviewers. Any product that may be evaluated in this article, or claim that may be made by its manufacturer, is not guaranteed or endorsed by the publisher.
References
1. Guo Z, Jia F, Zhu B, Li L, Hutson JM, Wang D (2022). Improved characterization of Feshbach resonances and interaction potentials between 23Na and 87Rb atoms. Phys Rev A 105, 023313. doi:10.1103/PhysRevA.105.023313
2. Hartmann T, Schulze TA, Voges KK, Gersema P, Gempel MW, Tiemann E, et al. Feshbach resonances in 23Na +39K mixtures and refined molecular potentials for the NaK molecule. Phys Rev A (2019) 99:032711. doi:10.1103/PhysRevA.99.032711
3. Wang X-Y, Frye MD, Su Z, Cao J, Liu L, Zhang D-C, et al. Magnetic Feshbach resonances in collisions of 23Na40K with 40K. New J Phys (2021) 23:115010. doi:10.1088/1367-2630/ac3318
4. Weckesser P, Thielemann F, Wiater D, Wojciechowska A, Karpa L, Jachymski K, et al. Observation of Feshbach resonances between a single ion and ultracold atoms. Nature (2021) 600:429–33. doi:10.1038/s41586-021-04112-y
5. Yang H, Zhang D-C, Liu L, Liu Y-X, Nan J, Zhao B, et al. Observation of magnetically tunable Feshbach resonances in ultracold 23Na40K + 40K collisions. Science (2019) 363:261–4. doi:10.1126/science.aau5322
6. Krauser JS, Heinze J, Götze S, Langbecker M, Fläschner N, Cook L, et al. Investigation of Feshbach resonances in ultracold 40K spin mixtures. Phys Rev A (2017) 95:042701. doi:10.1103/PhysRevA.95.042701
7. Lyu B-K, Sun Z-X, Wang G-R, Cong SL. Suppression of interaction-induced loss rate coefficient near broad s-wave and p-wave Feshbach resonances by magnetic field. J Phys B: Mol Opt Phys (2022) 55:055201. doi:10.1088/1361-6455/ac5861
8. Zhang Z, Chen L, Yao K-X, Chin C. Transition from an atomic to a molecular Bose–Einstein condensate. Nature (2021) 592:708–11. doi:10.1038/s41586-021-03443-0
9. Boettcher I, Bayha L, Kedar D, Murthy PA, Neidig M, Ries MG, et al. Equation of state of ultracold fermions in the 2D BEC-BCS crossover region. Phys Rev Lett (2016) 116:045303. doi:10.1103/PhysRevLett.116.045303
10. Chen Y, Zhai H, Yu Z. Superradiant phase transition of Fermi gases in a cavity across a Feshbach resonance. Phys Rev A (2015) 91:021602. doi:10.1103/PhysRevA.91.021602
11. Ries MG, Wenz AN, Zürn G, Bayha L, Boettcher I, Kedar D, et al. Observation of pair condensation in the quasi-2D BEC-BCS crossover. Phys Rev Lett (2015) 114:230401. doi:10.1103/PhysRevLett.114.230401
12. Kim M-S, Lee J, Lee JH, Shin Y, Mun J. Measurements of optical Feshbach resonances of 174Yb atoms. Phys Rev A (2016) 94:042703. doi:10.1103/PhysRevA.94.042703
13. Koch CP, Shapiro M. Coherent control of ultracold photoassociation. Chem Rev (2012) 112:4928–48. doi:10.1021/cr2003882
14. Lyu BK, Li JL, Wang M, Wang GR, Cong SL. Efficient formation of stable ultracold Cs2 molecules in the ground electronic state via two-color photoassociation. Eur Phys J D (2019) 73:20. doi:10.1140/epjd/e2018-90314-5
15. Arunkumar N, Jagannathan A, Thomas JE. Designer spatial control of interactions in ultracold gases. Phys Rev Lett (2019) 122:040405. doi:10.1103/PhysRevLett.122.040405
16. Clark LW, Ha L-C, Xu C-Y, Chin C. Quantum dynamics with spatiotemporal control of interactions in a stable Bose-Einstein condensate. Phys Rev Lett (2015) 115:155301. doi:10.1103/PhysRevLett.115.155301
17. Schäfer F, Mizukami N, Yu P, Koibuchi S, Bouscal A, Takahashi Y. Experimental realization of ultracold Yb-7Li mixtures in mixed dimensions. Phys Rev A (2018) 98:051602. doi:10.1103/PhysRevA.98.051602
18. Guo Z, Jia F, Li L, Ma Y, Hutson JM, Cui X, et al. Lee-Huang-Yang effects in the ultracold mixture of 23Na and 87Rb with attractive interspecies interactions. Phys Rev Res (2021) 3:033247. doi:10.1103/PhysRevResearch.3.033247
19. Warner C, Lam AZ, Bigagli N, Liu HC, Stevenson I, Will S. Overlapping bose-einstein condensates of 23Na and 133Cs. Phys Rev A (2021) 104:033302. doi:10.1103/PhysRevA.104.033302
20. Fava E, Bienaimé T, Mordini C, Colzi G, Qu C, Stringari S, et al. Observation of spin superfluidity in a Bose gas mixture. Phys Rev Lett (2018) 120:170401. doi:10.1103/PhysRevLett.120.170401
21. Argüello-Luengo J, González-Tudela A, Shi T, Zoller P, Cirac JI. Analogue quantum chemistry simulation. Nature (2019) 574:215–8. doi:10.1038/s41586-019-1614-4
22. Baier S, Petter D, Becher JH, Patscheider A, Natale G, Chomaz L, et al. Realization of a strongly interacting Fermi gas of dipolar atoms. Phys Rev Lett (2018) 121:093602. doi:10.1103/PhysRevLett.121.093602
23. Goldman N, Budich JC, Zoller P. Topological quantum matter with ultracold gases in optical lattices. Nat Phys (2016) 12:639–45. doi:10.1038/nphys3803
24. Moses SA, Covey JP, Miecnikowski MT, Yan B, Gadway B, Ye J, et al. Creation of a low-entropy quantum gas of polar molecules in an optical lattice. Science (2015) 350:659–62. doi:10.1126/science.aac6400
25. Tomita T, Nakajima S, Danshita I, Takasu Y, Takahashi Y. Observation of the Mott insulator to superfluid crossover of a driven-dissipative Bose-Hubbard system. Sci Adv (2017) 3:e1701513. doi:10.1126/sciadv.1701513
26. Dong G, Hu B, Lu W. Ground-state properties of a Bose-Einstein condensate tuned by a far-off-resonant optical field. Phys Rev A (2006) 74:063601. doi:10.1103/PhysRevA.74.063601
27. Yamazaki R, Taie S, Sugawa S, Takahashi Y. Submicron spatial modulation of an interatomic interaction in a Bose-Einstein condensate. Phys Rev Lett (2010) 105:050405. doi:10.1103/PhysRevLett.105.050405
28. Bauer DM, Lettner M, Vo C, Rempe G, Dürr S. Control of a magnetic Feshbach resonance with laser light. Nat Phys (2009) 5:339–42. doi:10.1038/nphys1232
29. Theis M, Thalhammer G, Winkler K, Hellwig M, Ruff G, Grimm R, et al. Tuning the scattering length with an optically induced Feshbach resonance. Phys Rev Lett (2004) 93:123001. doi:10.1103/PhysRevLett.93.123001
30. Bauer DM, Lettner M, Vo C, Rempe G, Dürr S. Combination of a magnetic Feshbach resonance and an optical bound-to-bound transition. Phys Rev A (2009) 79:062713. doi:10.1103/PhysRevA.79.062713
31. Fu Z, Wang P, Huang L, Meng Z, Hu H, Zhang J. Optical control of a magnetic Feshbach resonance in an ultracold Fermi gas. Phys Rev A (2013) 88:041601. doi:10.1103/PhysRevA.88.041601
32. Zhang Y-C, Liu W-M, Hu H. Tuning a magnetic Feshbach resonance with spatially modulated laser light. Phys Rev A (2014) 90:052722. doi:10.1103/PhysRevA.90.052722
33. Jagannathan A, Arunkumar N, Joseph JA, Thomas JE. Optical control of magnetic Feshbach resonances by closed-channel electromagnetically induced transparency. Phys Rev Lett (2016) 116:075301. doi:10.1103/PhysRevLett.116.075301
34. Semczuk M, Gunton W, Bowden W, Madison KW. Anomalous behavior of dark states in quantum gases of 6Li. Phys Rev Lett (2014) 113:055302. doi:10.1103/PhysRevLett.113.055302
35. Wu H, Thomas JE. Optical control of Feshbach resonances in Fermi gases using molecular dark states. Phys Rev Lett (2012) 108:010401. doi:10.1103/PhysRevLett.108.010401
36. Wu H, Thomas JE. Optical control of the scattering length and effective range for magnetically tunable Feshbach resonances in ultracold gases. Phys Rev A (2012) 86:063625. doi:10.1103/PhysRevA.86.063625
37. Friedrich H. Scattering theory, vol 872 of lecture notes in Physics. Berlin, Heidelberg: Springer Berlin Heidelberg (2013). doi:10.1007/978-3-642-38282-6
38. Friedrich H, Wintgen D. Interfering resonances and bound states in the continuum. Phys Rev A (1985) 32:3231–42. doi:10.1103/PhysRevA.32.3231
39. Sadreev AF, Bulgakov EN, Rotter I. Bound states in the continuum in open quantum billiards with a variable shape. Phys Rev B (2006) 73:235342. doi:10.1103/PhysRevB.73.235342
40. Solís B, Ladrón de Guevara M, Orellana P. Friedel phase discontinuity and bound states in the continuum in quantum dot systems. PHYS LETT A (2008) 372:4736–9. doi:10.1016/j.physleta.2008.05.014
41. Deb B, Agarwal GS. Creation and manipulation of bound states in the continuum with lasers: Applications to cold atoms and molecules. Phys Rev A (2014) 90:063417. doi:10.1103/PhysRevA.90.063417
42. Naskar S, Sardar D, Deb B, Agarwal GS. Suppressing deleterious effects of spontaneous emission in creating bound states in cold atom continuum. J Phys B: Mol Opt Phys (2019) 52:245204. doi:10.1088/1361-6455/ab4ef2
43. Alexander MH, Manolopoulos DE. A stable linear reference potential algorithm for solution of the quantum close-coupled equations in molecular scattering theory. J Chem Phys (1987) 86:2044–50. doi:10.1063/1.452154
44. Bohn JL, Julienne PS. Prospects for influencing scattering lengths with far-off-resonant light. Phys Rev A (1997) 56:1486–91. doi:10.1103/PhysRevA.56.1486
45. Hutson JM, Sueur CRL. Molscat: A program for non-reactive quantum scattering calculations on atomic and molecular collisions. Comput Phys Commun (2019) 241:9–18. doi:10.1016/j.cpc.2019.02.014
46. Strauss C, Takekoshi T, Lang F, Winkler K, Grimm R, Hecker Denschlag J, et al. Hyperfine, rotational, and vibrational structure of the
47. Borisov AG. Solution of the radial Schrödinger equation in cylindrical and spherical coordinates by mapped Fourier transform algorithms. J Chem Phys (2001) 114:7770–7. doi:10.1063/1.1358867
48. Willner K, Dulieu O, Masnou-Seeuws F. Mapped grid methods for long-range molecules and cold collisions. J Chem Phys (2004) 120:548–61. doi:10.1063/1.1630031
Appendix: interaction and coupling potentials in calculations
In our calculation, the interactions Vi (i = 1,2,3) are obtained from the interaction in the fourth, fifth, and sixth channels in the 85Rb and 87Rb s-wave system when the sum of the projection quantum numbers of 85Rb and 87Rb atoms equals +2 [46]. The order of the channels is sorted by the channel energy from low to high. The coupling potential V1,2 (V2,1) is obtained from the coupling between the fourth and fifth channels. For the case of minimal laser amplitude Es, the coupling potentials V1,3 (V3,1) and V2,3 (V3,2) are obtained by multiplying the coupling between the fourth and sixth channels, and the coupling between the fifth and sixth channels by 0.001. The energy of the fifth channel is increased by 1237.8 MHz. In the case when laser frequency is

FIGURE A1. Interaction potentials and coupling potentials used in our calculation at B0. (A) Interaction potential V1. (B) Interaction potential V2. (C) Interaction potential V3. (D) Coupling potential V1,2 between channels 1 and 2. (E) Coupling potential V1,3 between channels 1 and 3 when laser amplitude E0 = 10Es. (F) Coupling potential V2,3 between channels 2 and 3 when laser amplitude E0 = 10Es.
Keywords: Feshbach resonance, ultracold collision, the bound state in the continuum, photoassociation, Autler–Townes doublet
Citation: Lyu B-K, Si B-W, Yu Z-H, Wang G-R and Cong S-L (2023) The two-body collision controlled by the magnetic field and laser field near magnetic Feshbach resonance. Front. Phys. 11:1198477. doi: 10.3389/fphy.2023.1198477
Received: 01 April 2023; Accepted: 12 June 2023;
Published: 05 July 2023.
Edited by:
Yujun Zheng, Shandong University, ChinaReviewed by:
Ma Hongyang, Qingdao University of Technology, ChinaJing Chen, Institute of Applied Physics and Computational Mathematics (IAPCM), China
Copyright © 2023 Lyu, Si, Yu, Wang and Cong. This is an open-access article distributed under the terms of the Creative Commons Attribution License (CC BY). The use, distribution or reproduction in other forums is permitted, provided the original author(s) and the copyright owner(s) are credited and that the original publication in this journal is cited, in accordance with accepted academic practice. No use, distribution or reproduction is permitted which does not comply with these terms.
*Correspondence: Shu-Lin Cong, c2hsY29uZ0BkbHV0LmVkdS5jbg==