- 1Department of Applied Mathematics and Statistics, Institute of Space Technology, Islamabad, Pakistan
- 2College of Mathematical Sciences, Umm Al-Qura University, Makkah, Saudi Arabia
- 3Department of Computer Science and Mathematics, Lebanese American University, Beirut, Lebanon
- 4Department of Mathematics, Art and Science Faculty, Siirt University, Siirt, Türkiye
- 5Mathematics Research Center, Department of Mathematics, Near East University, Nicosia, Türkiye
- 6Faculty of Engineering, Future University in Egypt, New Cairo, Egypt
- 7School of Mathematical Sciences, Universiti Sains Malaysia, Gelugor, Penang, Malaysia
Non-local fractional derivatives are generally more effective in mimicking real-world phenomena and offer more precise representations of physical entities, such as the oscillation of earthquakes and the behavior of polymers. This study aims to solve the 2D fractional-order diffusion-wave equation using the Riemann–Liouville time-fractional derivative. The fractional-order diffusion-wave equation is solved using the modified implicit approach based on the Riemann–Liouville integral sense. The theoretical analysis is investigated for the suggested scheme, such as stability, consistency, and convergence, by using Fourier series analysis. The scheme is shown to be unconditionally stable, and the approximate solution is consistent and convergent to the exact result. A numerical example is provided to demonstrate that the technique is more workable and feasible.
1 Introduction
Fractional calculus is the non-integer or fractional-order differentiation and integration that has received significant attention over the last two decades for its application in describing real-world problems. Non-linear fractional-order differential equations (NL-FDEs) play a major role in applied sciences and social sciences, such as material science, signal processing, control theory, finance, and food supplements [1–3]. Recently, many advanced and reliable approaches have been discussed by the researchers. For example, Shen et al. [4] discussed the analytical and numerical solutions for a 2D multi-term time-fractional DWE. They used the approach of the variable of separation to drive analytical solutions, as well as the properties of Mittag–Leffler functions, and showed that stability and convergence analyses were studied. Ruzhansky et al. [5] considered the multi-term DWE and used the Caputo derivative, a non-local initial problem, and the Mittag–Leffler function in this study. Fan et al. [6] investigated the inverse problem to recognize the initial value for the space–time FDWE. They utilized the Landweber iterative regularization method for the time–space FDWE and calculated the error between validity and stability. The approximate solutions for 1D and 2D multi-term time-fractional sub-diffusion and DWEs with smooth and non-smooth solutions have been discussed by Rashidinia et al. [7]. They applied the Legendre collocation method and the Caputo derivative for solving the proposed equation. Moreover, they found the convergence analysis and concluded that this method has the benefit of using limited Legendre polynomials to obtain accurate and acceptable results. Feng et al. [8] researched a novel approach based on the finite element method (FEM) 2D diffusion type non-integer order equation. The utilized scheme is approximated for three different types of equations. The matrix form of the scheme is generated using the FEM, and the formulation of the equation is determined. The theoretical analysis, such as stability and convergence, is established. The suggested technique is versatile and resilient and may be used to solve various multi-term time-fractional diffusion problems directly. The Caputo derivative is in the temporal direction of the 2D time-dependent FDWE, as studied by Yang et al [9]. They used the finite difference method (FDM) to discretize the fractional-order derivative and provide a meshless approximation in spatial directions using moving least squares (MLS), which may be used to solve more complicated problem domains. The study also investigated the time-related convergence and stability properties of the semi-discretized scheme. In another study, Yang et al. [9] considered a 2D non-linear time-fractional DWE solved using a Crank–Nicolson Legendre spectral technique. The time-stepping is performed using the Crank–Nicolson difference method, while the spatial discretization is performed using the Legendre spectral approach. Lyu et al. [10] suggested a fast and linearized FDM for solving the non-linear multi-term FDWE. The suggested technique is based on a weighted approach, fast
According to the previously described literature, fractional calculus is still a relatively new field that requires more accurate numerical approaches to examine the more practicable FDEs. The goal of this research is to develop a more accurate and reliable numerical technique for the FDWE. An attempt to discretize the R-L integral operator numerically and implement it in the Riemann–Liouville fractional-order derivative to approximate the FDWE has not yet been made. This approach reduces computational complexity and increases accuracy. Analysis, including aspects such as stability, consistency, and convergence, was also investigated based on the Fourier method and Taylor’s series expansion.
The remainder of the paper is arranged as follows: the associated preliminaries are described in Section 2. Section 3 explains the proposed method. The stability analysis is discussed in Section 4. Consistency and convergence are addressed in Section 5. Section 6 presents the numerical results, and the conclusion is provided in Section 7.
Here, we consider the FDWE as follows [23]:
where the conditions are
where
2 Preliminaries
The R-L fractional differential operator is the most important extension of the classical differential operator. The R-L fractional-order derivative is defined as follows [38]:
The R-L integral operator can be defined as follows:
where
We use the Jumarie property in [25] as
By discretization of the aforementioned equation, we obtain the following equations:
Applying the Jumarie property
where
Lemma 1. The
Lemma 2. The coefficient
3 The proposed implicit difference scheme
In this section, the implicit difference scheme (IDS) for the FDWE is constructed using Lemma 1 for the fractional-order part, and the space-derivative is reduced to the central difference approximation. The step for space is
To eliminate the second-order time derivatives, we applied the backward difference approximation, then integrated from
We substituted Lemma 1, and after simplification, we obtained the approximated scheme for the FDWE as follows:
We know that
where
4 Stability
The von Neumann method is used to determine the stability of the proposed scheme, and the approach in [40]is followed. Let
The error is defined as
We assume that the growth factor takes the form of a single Fourier mode as
where
Dividing both sides by
where
Proposition 1. Suppose
Proof. Let us consider
We get
We obtain the following relation:
Suppose
Using Eqs 19–, 23 and Lemma 2, we have
From Lemma 2, the value is
Here,
5 Consistency
Here, following the approach in [41], we assume that
Theorem 1. The local truncation error
Using the Taylor series, we obtain
After the cancelation of the same terms with opposite signs, we obtain
Replacing the values of
From the aforementioned equation, it is implied that if the time and space steps approach zero, we obtain the following simplified form:
The obtained order of approximation is as follows:
The IDS of the FDWE is consistent if
Theorem 2. According to Lax equivalence theorem, if the method is consistent and stable, then it is convergent [42]. Hence, it is proven that the proposed scheme is convergent.
6 Numerical results
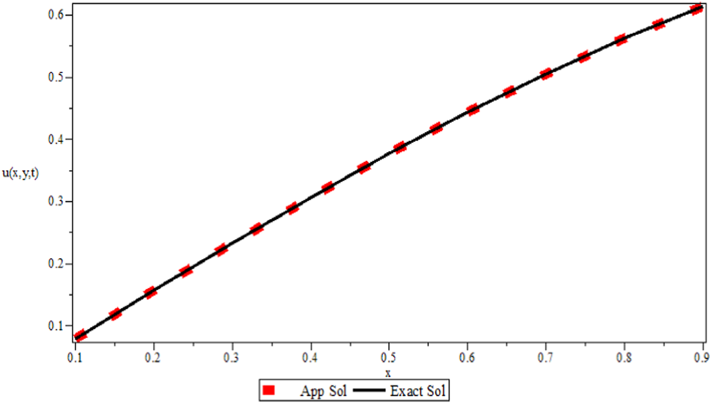
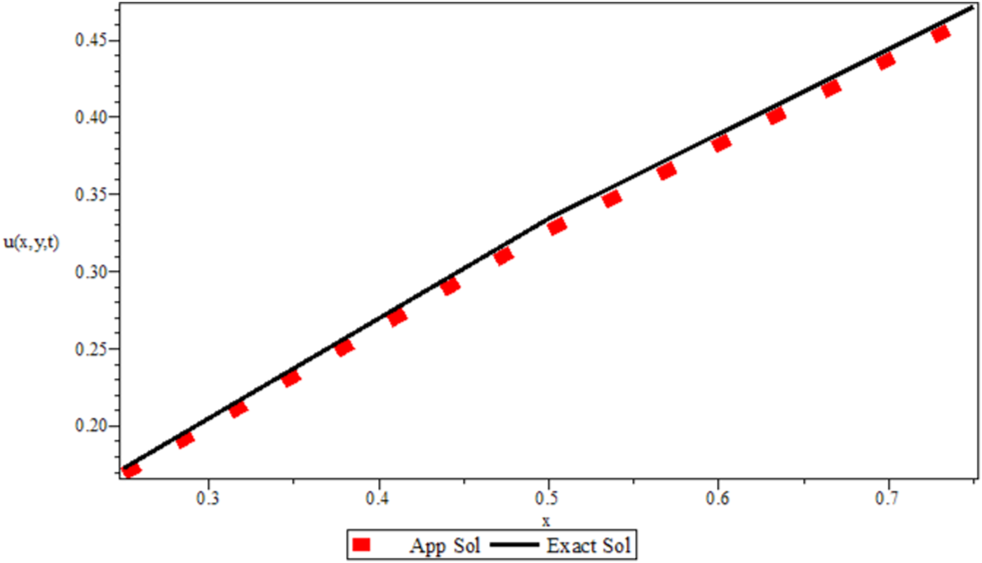
This section considers time fractional-order DWE examples to determine the exactness and viability of the technique. The numerical example is coded in Maple 15, and the maximum error is as follows:
The norms
Example 1. In Eqs 1–3, we consider the source term
Example 2. We consider the two-dimensional fractional-order Rayleigh–Stokes problem, which is provided as follows [23]:
where the forcing term
Therefore, the closed-form solution is
7 Discussion
The 2D fractional-order DWE is solved by the modified implicit numerical scheme. The formulated scheme is established by the Riemann–Liouville fractional integral operator that is mentioned in Lemma 1. The discretized Riemann–Liouville fractional integral operator is used with the implicit scheme, which is very easy to implement and find in the theoretical analysis. The numerical results are provided in the form of tables for various values of space steps, time steps, and different fractional orders. As Table 1 is plotted for various values of step sizes and varying the values of fractional order, the error is reduced when increasing the number of step sizes for various values of fractional order. In Table 2, the value of fractional order

TABLE 1. Numerical results of the proposed scheme for various values of fractional order

TABLE 3. Error

TABLE 4. Comparison between the numerical results of the proposed scheme with the previous study for various values of fractional order
8 Conclusion
A practical and quick numerical approach was designed for the FDWE. The discretization of the Riemann–Liouville integral, as described in Lemma 1, serves as the basis for the approximation. Through employing mathematical induction and demonstrating consistency and convergence, we successfully showed the theoretical analysis of stability, consistency, and convergence. The numerical results corroborated our theoretical findings and demonstrated that the suggested method is fast, convergent, and viable. This method can also be extended to different types of models arising in the realm of mathematical physics.
Data availability statement
The original contributions presented in the study are included in the article/Supplementary material; further inquiries can be directed to the corresponding authors.
Author contributions
All authors listed made a substantial, direct, and intellectual contribution to the work and approved it for publication.
Funding
The authors would like to thank the Deanship of Scientific Research at Umm Al-Qura University for supporting this work under grant code 22UQU4310396DSR68.
Acknowledgments
The authors would like to thank the referee for the valuable comments.
Conflict of interest
The authors declare that the research was conducted in the absence of any commercial or financial relationships that could be construed as a potential conflict of interest.
Publisher’s note
All claims expressed in this article are solely those of the authors and do not necessarily represent those of their affiliated organizations, or those of the publisher, the editors, and the reviewers. Any product that may be evaluated in this article, or claim that may be made by its manufacturer, is not guaranteed or endorsed by the publisher.
References
1. Ali U, 2019. Numerical solutions for two-dimensional time-fractional differential sub-diffusion equation. Ph.D., 135, pp.1–200.
2. Ali U, Mastoi S, Othman WAM, Khater MM, Sohail M. Computation of traveling wave solution for nonlinear variable-order fractional model of modified equal width equation. AIMS Math (2021) 6(9):10055–69. doi:10.3934/math.2021584
3. Khater M, Ali U, Khan MA, Mousa AA, Attia RA. A new numerical approach for solving 1D fractional diffusion-wave equation. J Funct Spaces (2021) 2021:1–7. doi:10.1155/2021/6638597
4. Shen S, Liu F, Anh VV. The analytical solution and numerical solutions for a two-dimensional multi-term time-fractional diffusion and diffusion-wave equation. J Comput Appl Math (2019) 345:515–34. doi:10.1016/j.cam.2018.05.020
5. Ruzhansky M, Tokmagambetov N, Torebek BT. On a non–local problem for a multi–term fractional diffusion-wave equation. Fractional Calculus Appl Anal (2020) 23(2):324–55. doi:10.1515/fca-2020-0016
6. Yang F, Zhang Y, Li XX. Landweber iterative method for identifying the initial value problem of the time-space fractional diffusion-wave equation. Numer Algorithms (2020) 83(4):1509–30. doi:10.1007/s11075-019-00734-6
7. Rashidinia J, Mohmedi E. Approximate solution of the multi-term time-fractional diffusion and diffusion-wave equations. Comput Appl Math (2020) 39(3):216–25. doi:10.1007/s40314-020-01241-4
8. Feng L, Liu F, Turner I. Finite difference/finite element method for a novel 2D multi-term time-fractional mixed sub-diffusion and diffusion-wave equation on convex domains. Commun Nonlinear Sci Numer Simulation (2019) 70:354–71. doi:10.1016/j.cnsns.2018.10.016
9. Yang JY, Zhao YM, Liu N, Bu WP, Xu TL, Tang YF. An implicit MLS meshless method for 2-D time-dependent fractional diffusion–wave equation. Appl Math Model (2015) 39(3-4):1229–40. doi:10.1016/j.apm.2014.08.005
10. Lyu P, Liang Y, Wang Z. A fast linearized finite difference method for the nonlinear multi-term time-fractional wave equation. Appl Numer Math (2020) 151:448–71. doi:10.1016/j.apnum.2019.11.012
11. Salehi R. A meshless point collocation method for 2-D multi-term time-fractional diffusion-wave equation. Numer Algorithms (2017) 74(4):1145–68. doi:10.1007/s11075-016-0190-z
12. Ghafoor A, Haq S, Hussain M, Kumam P, Jan MA. Approximate solutions of time-fractional diffusion wave models. Mathematics (2019) 7(10):923. doi:10.3390/math7100923
13. Zhuang P, Liu F. Finite difference approximation for two-dimensional time fractional diffusion equation. J Algorithms Comput Tech (2007) 1(1):1–16. doi:10.1260/174830107780122667
14. Heydari MH, Avazzadeh Z, Yang Y. A computational method for solving variable-order fractional nonlinear diffusion-wave equation. Appl Math Comput (2019) 352:235–48. doi:10.1016/j.amc.2019.01.075
15. Shekari Y, Tayebi A, Heydari MH. A meshfree approach for solving 2D variable-order fractional nonlinear diffusion-wave equation. Comp Methods Appl Mech Eng (2019) 350:154–68. doi:10.1016/j.cma.2019.02.035
16. Kumar A, Bhardwaj A. A local meshless method for time fractional nonlinear diffusion wave equation. Numer Algorithms (2020) 85(4):1311–34. doi:10.1007/s11075-019-00866-9
17. Ding H. A high-order numerical algorithm for two-dimensional time–space tempered fractional diffusion-wave equation. Appl Numer Math (2019) 135:30–46. doi:10.1016/j.apnum.2018.08.005
18. Li M, Huang C. ADI Galerkin FEMs for the 2D nonlinear time-space fractional diffusion-wave equation. Int J Model Simulation, Scientific Comput (2017) 8(03):1750025. doi:10.1142/s1793962317500258
19. Li L, Xu D, Luo M. Alternating direction implicit Galerkin finite element method for the two-dimensional fractional diffusion-wave equation. J Comput Phys (2013) 255:471–85. doi:10.1016/j.jcp.2013.08.031
20. Datsko B, Podlubny I, Povstenko Y. Time-fractional diffusion-wave equation with mass absorption in a sphere under harmonic impact. Mathematics (2019) 7(5):433. doi:10.3390/math7050433
21. Ren J, Sun ZZ. Numerical algorithm with high spatial accuracy for the fractional diffusion-wave equation with Neumann boundary conditions. J Scientific Comput (2013) 56(2):381–408. doi:10.1007/s10915-012-9681-9
22. Yang F, Pu Q, Li XX, Li DG. The truncation regularization method for identifying the initial value on non-homogeneous time-fractional diffusion-wave equations. Mathematics (2019) 7(11):1007. doi:10.3390/math7111007
23. Ali U, Abdullah FA. December. Modified implicit difference method for one-dimensional fractional wave equation. In: AIP conference proceedings, 2184. New York: AIP Publishing LLC (2019). No. 1.060021
24. Nawaz R, Ali N, Zada L, Shah Z, Tassaddiq A, Alreshidi NA. Comparative analysis of natural transform decomposition method and new iterative method for fractional foam drainage problem and fractional order modified regularized long-wave equation. Fractals (2020) 28(07):2050124. doi:10.1142/s0218348x20501248
25. Farid S, Nawaz R, Shah Z, Islam S, Deebani W. New iterative transform method for time and space fractional (n+1)-dimensional heat and wave type equations. Fractals (2021) 29(03):2150056. doi:10.1142/s0218348x21500560
26. Sayevand K, Jafari H. A promising coupling of Daftardar-Jafari method and He’s fractional derivation to approximate solitary wave solution of nonlinear fractional KDV equation. Adv Math Models Appl (2022) 7(2):121–9.
27. Li C, Dao X, Guo P. Fractional derivatives in complex planes. Nonlinear Anal Theor Methods Appl (2009) 71(5-6):1857–69. doi:10.1016/j.na.2009.01.021
28. Guariglia E. Fractional calculus, zeta functions and Shannon entropy. Open Math (2021) 19(1):87–100. doi:10.1515/math-2021-0010
29. Guariglia E. Riemann zeta fractional derivative—Functional equation and link with primes. Adv Difference Equations (2019) 2019(1):261–15. doi:10.1186/s13662-019-2202-5
30. Ortigueira MD, Rodríguez-Germá L, Trujillo JJ. Complex grünwald–letnikov, liouville, riemann–liouville, and Caputo derivatives for analytic functions. Commun Nonlinear Sci Numer Simulation (2011) 16(11):4174–82. doi:10.1016/j.cnsns.2011.02.022
31. Závada P. Operator of fractional derivative in the complex plane. Commun Math Phys (1998) 192:261–85. doi:10.1007/s002200050299
32. Lin SD, Srivastava HM. Some families of the Hurwitz–Lerch Zeta functions and associated fractional derivative and other integral representations. Appl Math Comput (2004) 154(3):725–33. doi:10.1016/s0096-3003(03)00746-x
33. Podlubny I. Geometric and physical interpretation of fractional integration and fractional differentiation (2001). arXiv preprint math/0110241.
34. Zafar ZUA, Shah Z, Ali N, Kumam P, Alzahrani EO. Numerical study and stability of the Lengyel–Epstein chemical model with diffusion. Adv Difference Equations (2020) 2020:427–4. doi:10.1186/s13662-020-02877-6
35. Sinan M, Shah K, Kumam P, Mahariq I, Ansari KJ, Ahmad Z, et al. Fractional order mathematical modeling of typhoid fever disease. Results Phys (2022) 32:105044. doi:10.1016/j.rinp.2021.105044
36. Srivastava HM, Iqbal J, Arif M, Khan A, Gasimov YS, Chinram R. A new application of Gauss quadrature method for solving systems of nonlinear equations. Symmetry (2021) 13(3):432. doi:10.3390/sym13030432
37. Aboud F, Jameel IT, Hasan AF, Mostafa BK, Nachaoui A. Polynomial approximation of an inverse Cauchy problem for Helmholtz-type equations. Adv Math Models Appl (2022) 7(3):306–22.
38. Ali U, Khan MA, Khater M, Mousa AA, Attia RA. A new numerical approach for solving 1D fractional diffusion-wave equation. J Funct Spaces (2021) 2021:1–7. doi:10.1155/2021/6638597
39. Ali U, Sohail M, Usman M, Abdullah FA, Khan I, Nisar KS. Fourth-order difference approximation for time-fractional modified sub-diffusion equation. Symmetry (2020) 12(5):691. doi:10.3390/sym12050691
40. Ali U, Iqbal A, Sohail M, Abdullah FA, Khan Z. Compact implicit difference approximation for time-fractional diffusion-wave equation. Alexandria Eng J (2022) 61(5):4119–26. doi:10.1016/j.aej.2021.09.005
41. Ganie AH, Saeed AM, Saeed S, Ali U. The Rayleigh–Stokes problem for a heated generalized second-grade fluid with fractional derivative: An implicit scheme via riemann–liouville integral. United States: Mathematical Problems in Engineering (2022).
42. Tekriwal M, Duraisamy K, Jeannin JB. (2021). May. A formal proof of the Lax equivalence theorem for finite difference schemesNASA Formal Methods: 13th International Symposium, NFM 2021, Virtual Event, May 24–28, 2021, California, Cham: Springer International Publishing
43. Khan MA, Ali NHM. High-order compact scheme for the two-dimensional fractional Rayleigh–Stokes problem for a heated generalized second-grade fluid. Adv Difference Equations (2020) 2020(1):233. doi:10.1186/s13662-020-02689-8
44. Jumarie G. Modified Riemann-Liouville derivative and fractional Taylor series of non-differentiable functions further results. Comput Math Appl (2006) 51(9-10):1367–76. doi:10.1016/j.camwa.2006.02.001
Nomenclature
Keywords: fractional-order diffusion-wave equation, implicit scheme, Riemann–Liouville fractional integral operator, stability, consistency, convergence
Citation: Rafaqat K, Naeem M, Akgül A, Hassan AM, Abdullah FA and Ali U (2023) Analysis and numerical approximation of the fractional-order two-dimensional diffusion-wave equation. Front. Phys. 11:1199665. doi: 10.3389/fphy.2023.1199665
Received: 03 April 2023; Accepted: 21 August 2023;
Published: 21 September 2023.
Edited by:
Emanuel Guariglia, São Paulo State University, BrazilReviewed by:
Yusif Gasimov, Azerbaijan University, AzerbaijanEbenezer Bonyah, University of Education, Winneba, Ghana
Tamilvanan Kandhasamy, Kalasalingam University, India
Copyright © 2023 Rafaqat, Naeem, Akgül, Hassan, Abdullah and Ali. This is an open-access article distributed under the terms of the Creative Commons Attribution License (CC BY). The use, distribution or reproduction in other forums is permitted, provided the original author(s) and the copyright owner(s) are credited and that the original publication in this journal is cited, in accordance with accepted academic practice. No use, distribution or reproduction is permitted which does not comply with these terms.
*Correspondence: Farah Aini Abdullah, ZmFyYWhhaW5pQHVzbS5teQ==; Umair Ali, dW1haXJraGFubWF0aEBnbWFpbC5jb20=