- 1Department of Mathematical Sciences, College of Science, Princess Nourah bint Abdulrahman University, Riyadh, Saudi Arabia
- 2Department of Mathematics, Abdul Wali Khan University Mardan, Mardan, Pakistan
- 3Mathematics Department, Faculty of Science, University of Tabuk, Tabuk, Saudi Arabia
- 4Department of Physics, Faculty of Science, Al-Baha University, Al-Baha, Saudi Arabia
- 5Department of Physics, Faculty of Science, Port Said University, Port Said, Egypt
It is known that the family of nonlinear Korteweg-de Vries-type (KdV) equations is widely used in modeling many realistic phenomena that occur in nature, such as the propagation of solitons, shock waves, multiple solitons, cnoidal waves, and periodic waves in seas and oceans, plasma physics, fluid mechanics, and electronic circuits. Motivated by these applications, we proceed to analyze the time-fractional forms of this family, including the planar quadratic nonlinear fractional KdV (FKdV) and planar cubic nonlinear fractional modified KdV (FmKdV) using Elzaki Homotopy perturbation method (HPTM). By implementing this method, we can derive some highly accurate approximations to both FKdV and FmKdV equations. Using the suggested method, the nonlinear planar FKdV equation is solved and analytical FKdV-soliton approximation is obtained. For the nonlinear planar FmKdV equation, two general formulas are derived depending on the polarity of the cubic nonlinearity coefficient “
1 Introduction
Fractional differential equations are a generalization of integer differential equations. Thus, fractional calculus (FC) is a more comprehensive version of classical integer-order calculus. FC investigates integrals and derivatives of fractional order [1]. Over the past 30 years, fractional calculus has been regarded as a valuable tool for addressing sustainable and complex issues due to its numerous benefits, including nonlocality, heritability, high dependability, and analyticity. FC was employed extensively and effectively to characterize a wide range of phenomena that arise in various fields, including engineering, physics, economics, and science [2–7]. Many physical systems can be more precisely represented by the formulation of fractional derivatives, as evidenced by recent investigations [8–11]. As a result, FDEs are widely used in many fields like physics (e.g., interstellar matter’s ability to absorb light) [12], chemistry [13, 14], biology [15], water treatment model [16], modeling COVID-19 pandemic [17], science and engineering [18], and many other applications [19–24] including visco-elasticity, electrical circuits, fractional multipoles, electroanalytical chemistry, entropy theory, image processing, fluid mechanics, and modeling plasma waves [25–28].
Solving nonlinear fractional differential equations (FDEs) presents computing challenges due to the nonlocal characteristics of fractional derivatives. Many researchers have recently examined FDEs from various perspectives. They have developed and used numerical simulation techniques as part of their study to solve these equations and accurately predict their behavior [29–31]. Consequently, numerous practical approaches employed to investigate FDEs, including the Adomian decomposition method (ADM) [32, 33], Variational Iteration Method (VIM) [34], Spectral Method [35], Homotopy analysis method (HAM) [36], new iterative method (NIM) [37, 38], Differential transform method [39, 40], residual power series method [41–43], Chebyshev plynomial method [44], Haar wavelet collocation method [45], Homotopy perturbation method (HPM) [46–50], the Tantawy Technique [25–27], among others [51, 52]. All of these methods have effectively produced approximations for various types of fractional differential equations, which have also proven successful in modeling a broad range of physical and engineering phenomena.
Nonlinear physical systems have significantly advanced the study of nonlinear equations for traveling wave solutions. Nonlinear wave dynamics have been studied in many scientific and engineering domains. These include hydrodynamics, solid-state physics, fiber optics, geological sciences, and plasma physics. Nonlinear wave theory is a recent mathematical study that often investigates asymptotic conditions (e.g., fluctuating over several scales, significant amplitude, high frequency) that are not readily accessible by numerical simulations. In addition, nonlinear wave theory is crucial to investigating actual water waves, light-matter interactions, optical fiber transmission, earthquakes, galaxy formation, traffic flow, and the steepening of short gravity waves over long wave crests. The Korteweg–de Vries (KdV)-type equations and their family are among the most significant evolutionary wave equations, extensively utilized to explain and model various nonlinear structures that arise and propagate in many physical and engineering systems. For instance, this family were used for modeling nonlinear structures in various practical fields, including electronic circuits [53, 54], fluid mechanics [55, 56], shallow water waves [57–60], plasma physics [61], and many others. For example, in the framework of the planar KdV equation, the overtaking collisions of Alfvén solitons have been investigated in a low beta collisionless magnetoplasma composed of electron and ion fluids [62]. Also, the propagation of nonlinear electron-acoustic CWs (EACWs) in a homogeneous magnetoplasma comprising fluid cold electrons and inertialess nonthermal electrons, as well as stationary ions, has been investigated in the framework of the planar KdV equation [63]. Moreover, the non-fractional form of this equation has been used to analyze many other phenomena that propagate in various plasma models, whether directly, such as describing phenomena that propagate at the phase velocity [64], or indirectly, such as describing the wave that propagates at the group velocity (e.g., dark solitons), by transforming it to the nonlinear Schrödinger equation (NLSE) [65]. The integer-order forms of this family has been widely used to study the propagation and interaction of solitary waves (SWs) and cnoidal waves (CWs) in various plasma models. However, some theoretical results obtained using the integer forms of these equations may differ slightly from some observed data. Thus, one way to overcome this deviation is to treat these phenomena in fractional forms. Therefore, in this work, we focus our efforts on analyzing this family in its fractional form using some effective methods, which may reveal the mystification surrounding specific experiments or space observations. The general forms for nonlinear time-fractional quadratic nonlinearity KdV equation [26] and cubic nonlinearity modified KdV (mKdV) equation [27, 66, 67] are, respectively, given by
and
where
The goal of the study is to analyze the fractional planar nonlinear KdV-type equations, including quadratic nonlinearity planar fractional KdV (FKdV) Equation 1 and cubic nonlinearity planar fractional mKdV (FmKdV) Equation 2 and derive some analytical approximations to model nonlinear ion-acoustic waves (IAWs) in a collisionless, unmagnetized plasma composed of inertial cold ions and inertialess Cairns-Tsallis distributed electrons [68–70]. It is well-known that FKdV Equation 1 does not support shock waves, but it does support solitary and periodic waves. In the current study, we will focus on fractional solitary waves (SWs), with the possibility of also studying fractional periodic waves, as we will derive a general formula for the fractional approximation as a function of the initial solution. Through this formula, fractional periodic waves can also be studied. On the other hand, the FmKdV Equation 2 can support both solitary and shock waves, depending on the sign of the cubic nonlinearity coefficient “
with the initial condition (IC)
where
With the IC
where
Now, Elzaki HPM (EHPM) can be implemented for analyzing these fractional Equation 1 in order to model the IAWs in the mentioned plasma model. Note that this approach is considered a combination between Elzaki transform (ET) [71] and the conventional HPM [72, 73]. EHPTM, a synthesis of ET and HPM, was first employed by Mohamed et al. [74] to solve initial value problems both analytically and numerically. Based on the numerous applications of this approach and its efficacy in analyzing various evolutionary wave equations (EWEs), thus, this method will be employed to investigate the different types of fractional IAWs (fractional solitary and shock waves) inside the aforementioned plasma model.
2 Preliminaries
Here, we briefly overview a few fractional calculus concepts, traits, and results.
Definition 1. The Riemann–Liouville’s (RL) fractional integral operator is expressed as [75, 76]
with the following properties
where
Definition 2. The Caputo fractional derivative operator (FDO) is expressed as [75, 76]
with the following properties
Definition 3. Elzaki transform (ET) for the function
Theorem 4. If
3 Elzaki homotopy perturbation method (EHPM) for analyzing FPDES
Here, EHPM is employed for analyzing the following general FPDE:
with the initial condition (IC)
where
To analyze problem (12) using the EHPM, the following brief points are introduced:
Step 1: Taking ET to Equation 12 yields
Step 2: Using ET to the Caputo FDO as given in Equation 11 in Equation 13, we get
which leads to
or
Step 3: Taking the inverse ET to Equation 16 implies
Step 4: The approximate solution according to the HPM is given by the following convergent series solution:
where
Step 5: In the following manner, the nonlinear term is decomposed
where
where
Step 6: Inserting Equations 18, 19 into Equation 17 yields
Step 7: Collecting the coefficients of various order of
Step 8: For
4 Plasma applications and test examples
This section is considered for examining and analyzing some fractional EWEs, such as the planar FKdV and FmKdV equations, which are critical differential equations for analyzing various nonlinear phenomena in numerous physical systems, including fluids, optical fibers, communications, seawater, oceans, and plasma physics, which is characterized by a plethora of nonlinear phenomena. Here, we apply EHPTM to analyze the proposed models and attempt to derive highly accurate analytical approximations for these models.
4.1 Fluid plasma model
Since both quadratic nonlinearity KdV and cubic nonlinearity mKdV equations are among the essential EWEs that are widely used to study various nonlinear phenomena (such as solitons, cnoidal waves, shock waves, and so on) in various plasma systems, thus, we can take a realistic application model of a multicomponent plasma and then derive these equations by employing the reductive perturbation technique (RPT). For this purpose, we consider the propagation of nonlinear ion-acoustic waves (IAWs) in a collisionless, unmagnetized plasma composed of inertial cold ions and inertialess Cairns-Tsallis distributed electrons. In this model, the ion mass is responsible for providing inertia, while the electron thermal pressure is responsible for providing the restoring force. The fluid-governed equations in the normalized form are given by [68–70].
In this context,
The normalized number density of the electrons according to the Cairns-Tsallis distribution reads
with
The acceptable physical values of the parameters
The reductive perturbation technique is utilized to examine the propagation of nonlinear electrostatic waves in the current plasma model. According to this technique, the independent space-time variables
where
By inserting both the mentioned stretching and expansion into Equations 23–25, and after straightforward calculations, the following planar KdV equation is obtained [70].
where
It is well-known that the polarity of the nonlinear waves described by the KdV Equation 26 depends on the sign of the nonlinearity coefficient
Now, by using the new stretching:
with
To examine the influence of fractionality on the dynamics of nonlinear wave propagation characterized by the planar KdV and mKdV Equations 26, 27, it is necessary to transform these equations from their integer representations to their fractional counterparts. To do this, we will follow the same methodology explained in detail in Refs. [79–81], which ultimately arrive at the following fractional forms:
and
where
4.2 Example (I): planar nonlinear FKdV equation
In this section, we proceed to analyze the following planar nonlinear FKdV Equation 70.
with the IC
By setting
where
To analyze problem (30) using the HPTM, we start from Equation 37 in addition to the following brief points:
Step 1: Applying ET on Equation 30 yields
Step 2: Using ET to the Caputo FDO as given in Equation 11 in Equation 33, we get
which leads to
or
Step 3: Taking the inverse ET to Equation 36 implies
Step 4: The approximate solution according to the HPM is given by the following convergent series solution:
where
Step 5: In the following manner, the nonlinear term
where
which leads to
Step 6: Inserting Equations 38, 39 into Equation 37 yields
Step 7: Collecting the coefficients of various order of
• For
• For
with
• For
with
where the coefficients
• For
with
where the coefficients
• For
Step 8: For
It is clear that both approximation (46) aligns perfectly with the solution derived from the Tantawy technique, as discussed in Refs. [26].
To study how fractionality affects the dynamics of the ion-acoustic FKdV-solitons in the current plasma model, the following values of plasma parameters are considered: for compressive solitons

Figure 1. The profile of compressive ion-acoustic FKdV-soliton according to the approximation (46) is investigated against the fractional-order parameter

Figure 2. The profile of rarefactive ion-acoustic FKdV-soliton according to the approximation (46) is investigated against the fractional-order parameter

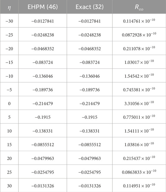
Figure 3. A comparison between the generated approximation (46) for compressive FKdV-soliton and the exact solution (32) at

Figure 4.

Table 1. The absolute error for the generated approximations for compressive ion-acoustic FKdV-soliton is estimated at

Table 2. The absolute error for the generated approximations for rarefactive ion-acoustic FKdV-soliton is estimated at
4.3 Example (II): planar cubic nonlinear FmKdV equation
Here, we proceed to analyze the following planar cubic nonlinear FmKdV equation [70].
with IC
where
which, the following exact soliton solution to Equation 47 for
where
To derive the shock wave solution for Equation 47 in its integer case, we rewrite it in the following new form based on the negative sign of the cubic nonlinear coefficient
Note that we separate the negative sign from the nonlinearity coefficient; therefore, this coefficient must take positive values during the analysis.
Now, by applying tanh method to Equation 51, the following exact shock wave solution at
where
To analyze problems (47) and (51) using EHPM, we start from Equation 58 in addition to the following brief points:
Step 1: Applying ET on Equations 47, 51 yields
Note that the positive sign refers to Equation 47, which supports solitons, while the negative sign indicates Equation 51, which supports shock waves.
Step 2: Using ET to the Caputo FDO as given in Equation 11 in Equation 54, we have
which leads to
or
Step 3: Taking the inverse ET to Equation 57 yields
Step 4: The approximate solution according to the HPM is denoted by the subsequent convergent series solution:
where
Step 5: In the following manner, the nonlinear term
where
which leads to
Step 6: Inserting Equations 59, 60 into Equation 58 yields
Step 7: Collecting the coefficients of various order of
• For
By considering the ICs for the solitary and shock waves as given in Equations 49, 53, respectively, we can get the explicit values for the zeroth-order approximations to the two nonlinear structures:
• For
By considering the ICs for the solitary and shock waves as given in Equations 49, 53, respectively, we can get the explicit values for the
with
• For
By considering the ICs for the solitary and shock waves as given in Equations 49, 53, respectively, we can get the explicit values for the
with
where the coefficients
• For
where the coefficients
with
where the coefficients
Step 8: For
• Soliton solution up to
• Shock wave solution up to
It is clear that the generated soliton approximation (74) using EHPM is identical to the derived soliton approximation using the Tantawy technique, as discussed in Refs. [27].
To investigate how fractionality affects the dynamics of the ion-acoustic FmKdV-solitons in the current plasma model, the value of the nonextensive parameter is considered:

Figure 5. The profile of compressive ion-acoustic FmKdV-soliton according to the approximation (74) is investigated against the fractional-order parameter

Figure 6. A comparison between the generated approximation (74) for compressive FmKdV-soliton and the exact solution (50) at

Table 3. The absolute error for the generated approximations for compressive ion-acoustic FmKdV-soliton is estimated at
The profile of the fractional compressive FmKdV-shock waves according to the generated approximation (75) is examined against the fractional parameter

Figure 7. The profile of compressive FmKdV-shock waves according to the approximation (75) is investigated against the fractional-order parameter

Figure 8. A comparison between the generated approximation (75) for compressive FmKdV-shock waves and the exact solution (52) at

Table 4. The absolute error for the generated approximations for compressive FmKdV-shock waves is estimated at
5 Conclusion
In this study, two of the most fundamental nonlinear evolutionary wave equations, which are widely used in various physical and engineering applications, have been analyzed. These equations are called the nonlinear planar fractional KdV (FKdV) and fractional modified KdV (FmKdV) equations, and they examined using Elzaki homotopy perturbation method (EHPM). For the quadratic nonlinear planar FKdV equation, a general formula up to the third order has been derived as a function of initial condition. After that, the soliton solution has been used as an initial solution, and an analytical fractional soliton approximation up to the third order has been generated. On the other hand, the cubic nonlinear planar FmKdV equation was divided into two parts: For the first part, if the cubic nonlinearity coefficient is positive, in this case, the FmKdV equation supports solitons and does not support shock waves. For this case, a general formula has been derived using the proposed approach as a function of initial condition. Subsequently, the soliton solution has been used as an initial solution, and an analytical fractional soliton approximation has been derived up to the third order. For the second form of the cubic nonlinear planar FmKdV equation, if the cubic nonlinearity coefficient is negative, in this case, the FmKdV equation does not support solitons, but rather shock waves. Using the proposed technique, a general formula has been derived as a function of initial condition. As a practical application to the obtained results, the fluid-governed equations for a collisionless and unmagnetized plasma composed of inertial cold ions and inertialess Cairns-Tsallis distributed electrons have been reduced to both the FKdV and FmKdV equations. After that, the effect of the fractional parameter on the dynamic behavior of the propagation of ion-acoustic waves in the plasma model under study has been investigated. We also performed a graphical comparison between all derived approximations and the exact solutions for the integer cases, i.e., at
The derived approximations demonstrated that the provided approach can successfully and precisely solve problems with strong nonlinearity. We may conclude from the results that the used method is accurate in simulating the nonlinear structures (solitons and shock waves) in plasma physics and other scientific fields. The suggested results provide a comprehensive and valuable examination of the behavior of these waves. Several authors, particularly those working in nonlinear sciences, can benefit from the results in evaluating and interpreting their experimental and observational data.
6 Future work
This investigation has examined both the nonlinear planar FKdV and FmKdV equations. However, in numerous instances, the nonplanar and damped cases are more realistic for describing nonlinear phenomena in various plasma models. Consequently, in forthcoming studies, we will apply the two proposed approaches, in addition to the Tantawy technique [25–28], to analyze various nonlinear fractional EWEs that are extensively utilized in modeling numerous nonlinear phenomena in different plasma models, such as the nonplanar/damped FKdV-type equations [82, 83], the nonplanar/damped fractional Kawahara-type equations [84–87], the nonplanar/damped fractional Schrödinger-type equations [88–90], etc.
Data availability statement
The raw data supporting the conclusions of this article will be made available by the authors, without undue reservation.
Author contributions
WA: Formal Analysis, Investigation, Methodology, Writing – review and editing. AK: Investigation, Methodology, Writing – original draft. AA-J: Formal Analysis, Supervision, Validation, Writing – review and editing. SE-T: Formal Analysis, Investigation, Methodology, Software, Supervision, Writing – review and editing.
Funding
The author(s) declare that financial support was received for the research and/or publication of this article. The authors express their gratitude to Princess Nourah bint Abdulrahman University Researchers Supporting Project number (PNURSP2025R229), Princess Nourah bint Abdulrahman University, Riyadh, Saudi Arabia.
Acknowledgments
The authors express their gratitude to Princess Nourah bint Abdulrahman University Researchers Supporting Project number (PNURSP2025R229), Princess Nourah bint Abdulrahman University, Riyadh, Saudi Arabia.
Conflict of interest
The authors declare that the research was conducted in the absence of any commercial or financial relationships that could be construed as a potential conflict of interest.
Generative AI statement
The author(s) declare that no Generative AI was used in the creation of this manuscript.
Publisher’s note
All claims expressed in this article are solely those of the authors and do not necessarily represent those of their affiliated organizations, or those of the publisher, the editors and the reviewers. Any product that may be evaluated in this article, or claim that may be made by its manufacturer, is not guaranteed or endorsed by the publisher.
Supplementary material
The Supplementary Material for this article can be found online at: https://www.frontiersin.org/articles/10.3389/fphy.2025.1604640/full#supplementary-material
References
1. Ebaid A, Al-Jeaid HK. The mittag–leffler functions for a class of first-order fractional initial value problems: dual solution via riemann–liouville fractional derivative. Fractal Fract (2022) 6(2):85. doi:10.3390/fractalfract6020085
2. Ait Touchent K, Hammouch Z, Mekkaoui T, Belgacem FB. Implementation and convergence analysis of homotopy perturbation coupled with Sumudu transform to construct solutions of local-fractional PDEs. Fractal and Fractional (2018) 2(3):22. doi:10.3390/fractalfract2030022
3. Asif NA, Hammouch Z, Riaz MB, Bulut H. Analytical solution of a Maxwell fluid with slip effects in view of the Caputo-Fabrizio derivative. Eur Phys J Plus (2018) 133:272. doi:10.1140/epjp/i2018-12098-6
4. Huang Q, Zhdanov R. Symmetries and exact solutions of the time fractional Harry-Dym equation with Riemann–Liouville derivative. Physica A: Stat Mech its Appl (2014) 409:110–8. doi:10.1016/j.physa.2014.04.043
5. Alfadil H, Abouelregal AE, Marin M, Carrera E. Goufo-Caputo fractional viscoelastic photothermal model of an unbounded semiconductor material with a cylindrical cavity. Mech Adv Mater Structures (2024) 31(27):9625–38. doi:10.1080/15376494.2023.2278181
6. Riaz MB, Imran MA, Shabbir K. Analytic solutions of Oldroyd-B fluid with fractional derivatives in a circular duct that applies a constant couple. Alexandria Eng J (2016) 55(4):3267–75. doi:10.1016/j.aej.2016.07.032
7. Riaz MB, Zafar AA. Exact solutions for the blood flow through a circular tube under the influence of a magnetic field using fractional Caputo-Fabrizio derivatives. Math Model Nat Phenomena (2018) 13(1):8. doi:10.1051/mmnp/2018005
9. Kilbas AA, Srivastava HM, Trujillo JJ. Theory and applications of fractional differential equations, 204. Elsevier (2006).
10. Mainardi F. Fractional calculus and waves in linear viscoelasticity: an introduction to mathematical models. World Scientific (2022). doi:10.1142/p614
11. Miller KS, Ross B. An introduction to the fractional calculus and fractional differential equations. Wiley-Interscience (1993).
12. Ebaid A, Cattani C, Al Juhani AS, El-Zahar ER. A novel exact solution for the fractional Ambartsumian equation. Adv Differ Equ (2021) 2021:88. doi:10.1186/s13662-021-03235-w
13. Phaochoo P, Wisseksakwichai C, Thongpool N, Chankong S, Promluang K. Application of fractional derivative for the study of chemical reaction. Int J Intell Netw (2023) 13:2245.
14. Aslam M, Farman M, Ahmad H, Gia TN, Ahmad A, Askar S. Fractal fractional derivative on chemistry kinetics hires problem. AIMS Mathematics (2021) 7(1):1155–84. doi:10.3934/math2022068
15. Tang TQ, Jan R, Ahmad H, Shah Z, Vrinceanu N, Racheriu M. A fractional perspective on the dynamics of hiv, considering the interaction of viruses and immune system with the effect of antiretroviral therapy. J Nonlinear Math Phys (2023) 30(4):1327–44. doi:10.1007/s44198-023-00133-5
16. Aljohani AF, Ebaid A, Algehyne EA, Mahrous YM, Cattani C, Al-Jeaid HK. The mittag-leffler function for Re-evaluating the chlorine transport model: comparative analysis. Fractal Fract (2022) 6(3):125. doi:10.3390/fractalfract6030125
17. Alharbi WG, Shater AF, Ebaid A, Cattani C, Areshi M, Jalal MM, et al. Communicable disease model in view of fractional calculus. AIMS Mathematics (2023) 8(5):10033–48. doi:10.3934/math.2023508
18. Sun H, Zhang Y, Baleanu D, Chen W, Chen Y. A new collection of real world applications of fractional calculus in science and engineering. Commun Nonlinear Sci Numer Simulation (2018) 64:213–31. doi:10.1016/j.cnsns.2018.04.019
19. Beyer H, Kempfle S. Definition of physically consistent damping laws with fractional derivatives. ZAMM-Journal Appl Mathematics Mechanics/Zeitschrift für Angew Mathematik Mechanik (1995) 75(8):623–35. doi:10.1002/zamm.19950750820
20. He JH. Approximate analytical solution for seepage flow with fractional derivatives in porous media. Computer Methods Appl Mech Eng (1998) 167(1-2):57–68. doi:10.1016/s0045-7825(98)00108-x
21. Algehyne EA, Aldhabani MS, Areshi M, El-Zahar ER, Ebaid A, Al-Jeaid HK. A proposed application of fractional calculus on time dilation in special theory of relativity. Mathematics (2023) 11(15):3343. doi:10.3390/math11153343
22. Sommacal L, Melchior P, Dossat A, Petit J, Cabelguen JM, Oustaloup A, et al. Improvement Muscle Fractional Multimodel Low-rate Stimulation. Biomed Signal Process Control (2007) 2(3):226–33. doi:10.1016/j.bspc.2007.07.013
23. Silva MF, Machado JT, Lopes AM. Fractional order control of a hexapod robot. Nonlinear Dyn (2004) 38:417–33. doi:10.1007/s11071-004-3770-8
24. Mathieu B, Melchior P, Oustaloup A, Ceyral C. Fractional differentiation for edge detection. Signal Process. (2003) 83(11):2421–32. doi:10.1016/s0165-1684(03)00194-4
25. El-Tantawy SA, Al-Johani AS, Almuqrin AH, Khan A, El-Sherif LS. Novel approximations to the fourth-order fractional Cahn–Hillard equations: application to the Tantawy Technique and other two techniques with Yang transform. J Low Frequency Noise, Vibration Active Control (2025) 0(0). doi:10.1177/14613484251322240
26. El-Tantawy SA, Bacha SIH, Khalid M, Alhejaili W. Application of the Tantawy technique for modeling fractional ion-acoustic waves in electronegative plasmas having Cairns distributed-electrons, Part (I): fractional KdV Solitary Waves. Braz J Phys (2025) 55:123. doi:10.1007/s13538-025-01741-w
27. El-Tantawy SA, Alhejaili W, Khalid M, Al-Johani AS. Application of the Tantawy technique for modeling fractional ion-acoustic waves in electronegative nonthermal plasmas, part (II): fractional modified KdV-solitary waves. Braz J Phys (2025) 55:176. doi:10.1007/s13538-025-01800-2
28. El-Tantawy SA, Khan D, Khan W, Khalid M, Alhejaili W. A novel approximation to the fractional KdV equation using the Tantawy technique and modeling fractional electron-acoustic cnoidal waves in a nonthermal plasma. Braz J Phys (2025) 55:163. doi:10.1007/s13538-025-01780-3
29. Atangana A, Alkahtani BST. New model of groundwater flowing within a confine aquifer: application of Caputo-Fabrizio derivative. Arabian J Geosciences (2016) 9:8–6. doi:10.1007/s12517-015-2060-8
30. Zureigat H, Ismail AI, Sathasivam S. Numerical solutions of fuzzy fractional diffusion equations by an implicit finite difference scheme. Neural Comput Appl (2019) 31:4085–94. doi:10.1007/s00521-017-3299-7
31. Haider JA, Alhuthali AM, Elkotb MA. Exploring novel applications of stochastic differential equations: unraveling dynamics in plasma physics with the Tanh-Coth method. Results Phys (2024) 60:107684. doi:10.1016/j.rinp.2024.107684
32. Guo P. The adomian decomposition method for a type of fractional differential equations. J Appl Mathematics Phys (2019) 7:2459–66. doi:10.4236/jamp.2019.710166
33. Momani S. An explicit and numerical solutions of the fractional KdV equation. Mathematics Comput Simulation (2005) 70:110–8. doi:10.1016/j.matcom.2005.05.001
34. Yang AM, Li J, Srivastava HM, Xie GN, Yang XJ. Local fractional Laplace variational iteration method for solving linear partial differential equations with local fractional derivative. Discrete Dyn Nat Soc (2014) 2014(1):365981–8. doi:10.1155/2014/365981
35. Thirumalai S, Seshadri R. Spectral solutions of fractional differential equation modelling electrohydrodynamics flow in a cylindrical conduit. Commun Nonlinear Sci Numer Simulation (2019) 79:104931. doi:10.1016/j.cnsns.2019.104931
36. Yousif AA, AbdulKhaleq FA, Mohsin AK, Mohammed OH, Malik AM. A developed technique of homotopy analysis method for solving nonlinear systems of Volterra integro-differential equations of fractional order. Partial Differential Equations Appl Mathematics (2023) 8:100548. doi:10.1016/j.padiff.2023.100548
37. Hemeda AA. New iterative method: an application for solving fractional physical differential equations. Abstract Appl Anal (2013) 2013(1):1–9. doi:10.1155/2013/617010
38. Alyousef HA, Shah R, Tiofack CGL, Salas AH, Alhejaili W, Ismaeel SME, et al. Novel approximations to the third- and fifth-order fractional KdV-type equations and modeling nonlinear structures in plasmas and fluids. Braz J Phys (2025) 55:20. doi:10.1007/s13538-024-01660-2
39. Ibis B, Bayram M, Agargun AG. Applications of fractional differential transform method to fractional differential-algebraic equations. Eur J Pure Appl Mathematics (2011) 4(2):129–141.
40. Moosavi Noori SR, Taghizadeh N. Modified differential transform method for solving linear and nonlinear pantograph type of differential and Volterra integro-differential equations with proportional delays. Adv Differ Equ (2020) 2020:649. doi:10.1186/s13662-020-03107-9
41. Zhang J, Tian X. Laplace-residual power series method for solving fractional generalized long wave equations. Ocean Eng (2024) 310(2):118693. doi:10.1016/j.oceaneng.2024.118693
42. Oqielat MN, Eriqa T, Ogilat O, El-Ajou A, Alhazmi SE, Al-Omari S. Laplace-residual power series method for solving time-fractional reaction–diffusion model. Fractal and Fractional (2023) 7(4):309. doi:10.3390/fractalfract7040309
43. El-Tantawy SA, Matoog RT, Shah R, Alrowaily AW, Ismaeel SME. On the shock wave approximation to fractional generalized Burger–Fisher equations using the residual power series transform method. Phys Fluids (2024) 36(2):023105. doi:10.1063/5.0187127
44. Oloniiju SD, Mukwevho N, Tijani YO, Otegbeye O. Chebyshev pseudospectral method for fractional differential equations in non-overlapping partitioned domains. AppliedMath (2024) 4:950–74. doi:10.3390/appliedmath4030051
45. Amin R, Alshahrani B, Mahmoud M, Abdel-Aty A, Shah K, Deebani W. Haar wavelet method for solution of distributed order time-fractional differential equations. Alexandria Eng J (2021) 60(3):3295–303. doi:10.1016/j.aej.2021.01.039
46. Wang Q. Homotopy perturbation method for fractional KdV equation. Appl Mathematics Comput (2007) 190:1795–802. doi:10.1016/j.amc.2007.02.065
47. Wang Q. Homotopy perturbation method for fractional KdV-Burgers equation. Chaos, Solitons and Fractals (2008) 35:843–50. doi:10.1016/j.chaos.2006.05.074
48. Alaje AI, Olayiwola MO, Adedokun KA, Adedeji JA, Oladapo AO. Modified homotopy perturbation method and its application to analytical solitons of fractional-order Korteweg–de Vries equation. Beni-suef Univ J Basic Appl Sci (2022) 11:139. doi:10.1186/s43088-022-00317-w
49. Hemeda AA. Modified homotopy perturbation method for solving fractional differential equations. J Appl Mathematics (2014) 2014:1–9. doi:10.1155/2014/594245
50. Abdulaziz O, Hashim I, Ismail ES. Approximate analytical solution to fractional modified KdV equations. Math Computer Model (2009) 49:136–45. doi:10.1016/j.mcm.2008.01.005
51. Khirsariya SR, Rao SB, Chauhan JP. A novel hybrid technique to obtain the solution of generalized fractional-order differential equations. Mathematics Comput Simulation (2023) 205:272–90. doi:10.1016/j.matcom.2022.10.013
52. Ganie AH, Mofarreh F, Khan A. On new computations of the time-fractional nonlinear KdV-Burgers equation with exponential memory. Physica Scripta (2024) 99(4):045217. doi:10.1088/1402-4896/ad2e60
53. Sebastiano G, Pantano P, Tucci P. An electrical model for the Korteweg-de Vries equation. Am J Phys (1984) 52(3):238–43. doi:10.1119/1.13685
54. Kengne E, Lakhssassi A, Liu W. Nonlinear Schamel–Korteweg deVries equation for a modified Noguchi nonlinear electric transmission network: analytical circuit modeling. Chaos Solitons Fractals (2020) 140:110229. doi:10.1016/j.chaos.2020.110229
55. Ludu A, Ionescu RA, Greiner W. Generalized KdV equation for fluid dynamics and quantum algebras. Found Phys (1996) 26:665–78. doi:10.1007/bf02058238
56. Ruggieri M, Speciale MP. KdV-like equations for fluid dynamics. AIP Conf Proc (2014) 1637:918–24. doi:10.1063/1.4904664
57. Hereman W. Shallow water waves and solitary waves. In: R Meyers, editor. Mathematics of complexity and dynamical systems. New York, NY: Springer (2012). doi:10.1007/978-1-4614-1806-1_96
58. Debnath L. Water waves and the Korteweg–de Vries equation. In: R Meyers, editor. Mathematics of complexity and dynamical systems. New York, NY: Springer (2012). doi:10.1007/978-1-4614-1806-1_113
59. Wazwaz AM. Partial differential equations and solitary waves theory. Beijing: Higher Education Press (2009).
60. Wazwaz AM. Partial differential equations: methods and applications. Lisse: Balkema, Cop (2002).
61. Kashkari BS, El-Tantawy SA, Salas AH, El-Sherif LS. Homotopy perturbation method for studying dissipative nonplanar solitons in an electronegative complex plasma. Chaos Solitons Fractals (2020) 130:109457. doi:10.1016/j.chaos.2019.109457
62. Almutlak SA, Parveen S, Mahmood S, Qamar A, Alotaibi BM, El-Tantawy SA. On the propagation of cnoidal wave and overtaking collision of slow shear Alfvén solitons in low β − magnetized plasmas. Phys Fluids (2023) 35:075130. doi:10.1063/5.0158292
63. Alyousef HA, Khan D, Khan W, Khalid M, Tiofack CGL, El-Tantawy SA. Oblique propagation of high-frequency electron-acoustic periodic waves in a nonthermal plasma. AIP Adv (2025) 15:035040. doi:10.1063/5.0252686
64. El-Tantawy SA. Nonlinear dynamics of soliton collisions in electronegative plasmas: the phase shifts of the planar KdV-and mkdV-soliton collisions. Chaos Solitons Fractals (2016) 93:93162–8. doi:10.1016/j.chaos.2016.10.011
65. Albalawi W, El-Tantawy SA, Salas AH. On the rogue wave solution in the framework of a Korteweg–de Vries equation. Results Phys (2021) 30:104847. doi:10.1016/j.rinp.2021.104847
66. Akbulut A, Taşcan F. Lie symmetries, symmetry reductions and conservation laws of time fractional modified Korteweg–de Vries (mkdv) equation. Chaos, Solitons and Fractals (2017) 100:1–6. doi:10.1016/j.chaos.2017.04.020
67. Sahadevan R, Bakkyaraj T. Invariant analysis of time fractional generalized Burgers and Korteweg–de Vries equations. J Math Anal Appl (2012) 393(2):341–7. doi:10.1016/j.jmaa.2012.04.006
68. Tribeche M, Amour R, Shukla PK. Ion acoustic solitary waves in a plasma with nonthermal electrons featuring Tsallis distribution. Phys Rev E (2012) 85:037401. doi:10.1103/physreve.85.037401
69. Williams G, Kourakis I, Verheest F, Hellberg MA. Re-examining the Cairns-Tsallis model for ion acoustic solitons. Phys Rev E (2013) 88:023103. doi:10.1103/physreve.88.023103
70. El-Tantawy SA, Wazwaz A-M, Schlickeiser R. Solitons collision and freak waves in a plasma with Cairns-Tsallis particle distributions. Plasma Phys Control Fusion (2015) 57:125012. doi:10.1088/0741-3335/57/12/125012
71. Elzaki TM. The new integral transform Elzaki transform. Glob J Pure Appl Math (2011) 7(1):57–64.
72. He JH. A coupling method of a homotopy technique and a perturbation technique for non-linear problems. Int J non-linear Mech (2000) 35(1):37–43. doi:10.1016/s0020-7462(98)00085-7
73. He JH. Homotopy perturbation method: a new nonlinear analytical technique. Appl Mathematics Comput (2003) 135(1):73–9. doi:10.1016/s0096-3003(01)00312-5
74. Mohamed MZ, Yousif M, Hamza AE. Solving nonlinear fractional partial differential equations using the Elzaki transform method and the homotopy perturbation method. Abstract Appl Anal (2022) 2022:1–9. doi:10.1155/2022/4743234
75. Alshikh AA, Mahgob MMA. A comparative study between Laplace transform and two new integrals Elzaki transform and Aboodh transform. Pure Appl Math J (2016) 5(5):145–50. doi:10.11648/j.pamj.20160505.11
76. Elzaki TM, Alkhateeb SA. Modification of Sumudu transform “Elzaki transform” and Adomian decomposition method. Appl Math Sci (2015) 9(13):603–11. doi:10.12988/ams.2015.411968
77. Elzaki TM. On the connections between Laplace and Elzaki transforms. Adv Theor Appl Math (2011) 6(1):1–11.
78. Sedeeg AKH. A coupling Elzaki transform and homotopy perturbation method for solving nonlinear fractional heat-like equations. Am J Math Comput Model (2016) 1:15–20. doi:10.11648/j.ajmcm.20160101.12
79. El-Wakil SA, Abulwafa EM, Zahran MA, Mahmoud AA. Time-fractional KdV equation: formulation and solution using variational methods. Nonlinear Dyn (2011) 65:55–63. doi:10.1007/s11071-010-9873-5
80. El-Wakil SA, Abulwafa EM, El-shewy EK, Mahmoud AA. Time-fractional KdV equation for electron-acoustic waves in plasma of cold electron and two different temperature isothermal ions. Astrophys Space Sci (2011) 333:269–76. doi:10.1007/s10509-011-0629-6
81. El-Wakil SA, Abulwafa EM, El-shewy EK, Mahmoud AA. Ion-acoustic waves in unmagnetized collisionless weakly relativistic plasma of warm-ion and isothermal-electron using time-fractional KdV equation. Adv Space Res (2012) 49:1721–7. doi:10.1016/j.asr.2012.02.018
82. Shan TM, Masood W, Siddiq M, Asghar S, Alotaibi BM, Ismaeel SME, et al. Bücklund transformation for analyzing a cylindrical Korteweg-de Vries equation and investigating multiple soliton solutions in a plasma. Phys Fluids (2023) 35:103105. doi:10.1063/5.0166075
83. El-Tantawy SA, Wazwaz A-M. Anatomy of modified Korteweg–de Vries equation for studying the modulated envelope structures in non-Maxwellian dusty plasmas: freak waves and dark soliton collisions. Phy Plasmas (2018) 25:092105. doi:10.1063/1.5045247
84. Alharthi MR, Alharbey RA, El-Tantawy SA. Novel analytical approximations to the nonplanar Kawahara equation and its plasma applications. Eur Phys J Plus (2022) 137:1172. doi:10.1140/epjp/s13360-022-03355-6
85. El-Tantawy SA, El-Sherif LS, Bakry AM, Alhejaili W, Wazwaz A-M. On the analytical approximations to the nonplanar damped Kawahara equation: cnoidal and solitary waves and their energy. Phys Fluids (2022) 34:113103. doi:10.1063/5.0119630
86. Ismaeel SME, Wazwaz A-M, Tag-Eldin E, El-Tantawy SA. Simulation studies on the dissipative modified Kawahara solitons in a complex plasma. Symmetry (2023) 15(1):57. doi:10.3390/sym15010057
87. Alyousef HA, Salas AH, Matoog RT, El-Tantawy SA. On the analytical and numerical approximations to the forced damped Gardner Kawahara equation and modeling the nonlinear structures in a collisional plasma. Phys Fluids (2022) 34:103105. doi:10.1063/5.0109427
88. El-Tantawy SA, Salas AH, Alharthi MR. On the analytical and numerical solutions of the linear damped NLSE for modeling dissipative freak waves and breathers in nonlinear and dispersive mediums: an application to a pair-ion plasma. Front Phys (2021) 9:580224. doi:10.3389/fphy.2021.580224
89. El-Tantawy SA, Alharbey RA, H Salas A. Novel approximate analytical and numerical cylindrical rogue wave and breathers solutions: an application to electronegative plasma. Solitons and Fractals (2022) 155:111776. doi:10.1016/j.chaos.2021.111776
Keywords: Elzaki transform, caputo operator, homotopy perturbation method, nonlinear fractional (modified) KdV equations, fractional solitons and shock waves, a non-maxwellian plasma
Citation: Alhejaili W, Khan A, Al-Johani AS and El-Tantawy SA (2025) Elzaki homotopy perturbation method for modeling fractional ion-acoustic solitary and shock waves in a non-maxwellian plasma. Front. Phys. 13:1604640. doi: 10.3389/fphy.2025.1604640
Received: 04 April 2025; Accepted: 18 July 2025;
Published: 02 September 2025.
Edited by:
Chun-Hui He, Xi’an University of Architecture and Technology, ChinaReviewed by:
Abdelhalim Ebaid, University of Tabuk, Saudi ArabiaLiaqat Ali, Southern University of Science and Technology, China
Copyright © 2025 Alhejaili, Khan, Al-Johani and El-Tantawy. This is an open-access article distributed under the terms of the Creative Commons Attribution License (CC BY). The use, distribution or reproduction in other forums is permitted, provided the original author(s) and the copyright owner(s) are credited and that the original publication in this journal is cited, in accordance with accepted academic practice. No use, distribution or reproduction is permitted which does not comply with these terms.
*Correspondence: Samir A. El-Tantawy, dGFudGF3eUBzY2kucHN1LmVkdS5lZw==, c2FtaXJlbHRhbnRhd3lAeWFob28uY29t