- 1PoreLab, Department of Physics, University of Oslo, Oslo, Norway
- 2PoreLab, Department of Chemistry, Norwegian University of Science and Technology, Trondheim, Norway
- 3PoreLab, Department of Physics, Norwegian University of Science and Technology, Trondheim, Norway
When water is present in a medium with pore sizes in a range of approximately 10 nm, the corresponding freezing-point depression will cause long-range broadening of a melting front. Describing the freezing-point depression by the Gibbs–Thomson equation and the pore-size distribution by a power law, we derive a nonlinear diffusion equation for the fraction of melted water. This equation yields superdiffusive spreading of the melting front with a diffusion exponent, which is given by the spatial dimension and the exponent describing the pore size distribution. We derive this solution analytically from energy conservation in the limit where all the energy is consumed by the melting and explore the validity of this approximation numerically. Finally, we explore a geological application of the theory to the case of one-dimensional subsurface melting fronts in granular or soil systems. These fronts, which are produced by heating of the surface, spread at a superdiffusive rate and affect the subsurface to significantly larger depths than a system without the effects of freezing-point depression.
1 Introduction
Water residing in

Figure 1. Left: A pore of total volume

Figure 2. Pores containing water. Ice melting with (upper figure) and without (lower figure) the freezing-point depression. Ice is shown in gray, and liquid water is shown in blue.
The equilibrium states of frozen systems have been studied experimentally in both natural [1] and synthetic media, such as cylindrical silica nanopores [6] of controlled sizes in the 2–10 nm range. However, much less has been learned about the non-equilibrium processes of heat propagating through such systems, where only a fraction of the ice melts. When sufficient amounts of water are present at the right temperature, the energy required for this melting will dominate the energy balance; that is, the latent heat is larger than the energy needed to change the temperature due to the heat capacity. When different pore sizes are present, the heat may be consumed by melting only in a narrow range of these sizes (see Figure 2). This causes an increased spreading of the heat as well as the fraction
In addition to the shift in the equilibrium freezing point itself, there may be an effect of metastable states that cause superheating or supercooling. In order to address this question, we discuss qualitatively how the Gibbs–Thomson effect may be modified by nucleation barriers as well as the pore geometry and shapes of the ice. However, because the melting process is generally less affected by nucleation barriers and alternative nucleation pathways [3, 4, 11] than the freezing process, our theory is formulated for melting fronts and proceeds on the basis that metastable states may be neglected [12, 13].
We show that when the porous medium has a power law pore size distribution, the fraction of liquid water satisfies a non-linear diffusion equation. Solving this equation analytically, we proceed to demonstrate that this results in a superdiffusive, and, in some cases, even hyper-ballistic spreading of the heat and liquid concentration. The diffusion exponent is given in terms of the exponent governing the pore size distribution and the dimensionality.
These results may be of relevance for modeling melting in environments such as tundras. We therefore apply the model result to explore potential consequences for the depths at which the Gibbs–Thomson effect may affect the melting of ice in such contexts. Given the above assumptions, the depths at which the ice fraction is perturbed may be up to a factor 10 larger than without the effect of freezing-point depression. We also show numerically that this effect survives, even with realistic values for the energy consumed by the heat capacity of the water and the solid medium.
The article is organized as follows: In the theory section, we introduce the standard thermodynamics of the Gibbs–Thomson effect, deriving the expression for the freezing-point depression. Following the discussion of the equilibrium states, we discuss the assumption of a power law distribution for the pore sizes before we turn to the consequences for a time-dependent equation that governs the evolution of the melted water fraction and obtain its solutions in different spatial dimensions. Finally, we interpret these results in an assumed geological scenario where a melting front is caused by surface heating, which leads to a long-range, superdiffusive spreading of the melting front.
2 Theory
In the following, we obtain the volume fraction of liquid water as a function of temperature for a porous medium with a given pore size distribution and water/ice saturation
It is a general fact that most water-bearing solids, or even ice itself [14], will have a pre-melted liquid layer [15, 16] of a thickness
Being interested in pores on the nano- to micrometer scale, we will assume that the chemical potential
2.1 Freezing-point depression and the thermodynamics of the Gibbs–Thomson effect in spherical pores
The net energy effect of introducing a liquid layer between a solid (or vapor) and ice may be described by the Landau free energy
where
Adding the free energy of the ice–water interface
where the bulk free energy
where the ice pressure
At the bulk melting temperature
where
Because
which indicates that the free energy change due to an ice volume increase is negative below the bulk freezing point. Integrating from
which, when inserted in Equation 2, gives
The change in this energy as
The equilibrium value of the ice radius is given by the global minimum of

Figure 3. The Landau free energy per unit area in a pore of radius
Taking
where
This is the standard expression for the Gibbs–Thomson effect. For a cylindrical pore, the geometrical factor of 3 must be replaced by 2. In the following, we shall use the value 3. Note that, due to the tendency of the surface tension to minimize the interface area, these smooth geometrical shapes will also be relevant in more complex pore geometries.
2.2 Corrections to the Gibbs–Thomson effect due to nucleation barriers
Thus far, we have ignored the time it takes for a metastable state to be replaced by the equilibrium state, implicitly assuming that the system has had time to reach the overall minimum state for the free energy. This is in general not the case as some metastable states may be very long-lived, a phenomenon that is quantified in classical nucleation theory [17, 18], which is based on the probability that a free energy barrier is traversed by the thermal activation energy
Assuming our pre-melted surface layer of water, there is no extra energy cost (nucleation barrier) in forming a new liquid–ice surface during the melting process. Yet, there will be a nucleation barrier that must be crossed during melting when the temperature is
Using nucleation theory, it is possible to estimate the lifetime of these metastable states as
It may be shown that nucleation barriers are significantly more influential during freezing (supercooled liquid). In this case, however, nucleation pathways other than ice forming as a spherical crystal are likely to dominate, as has been shown for the case where ice nucleates in pockets or corner geometries [3, 4, 11].
In the following, we will consider melting on the basis that metastable states may be neglected, although there is a nucleation barrier to be passed both for the melting and freezing transition in isolated pores. For melting, this assumption implies that there may be quantitative corrections to the depression
2.3 Heat in a nanoporous medium with partially frozen water
Having dealt with the equilibrium problem of the freezing-point depression, we now investigate the non-equilibrium effects of this phenomenon in the context of a nanoporous material. We shall consider a melting front, for which the shift in melting temperature is small, and so the shift in the freezing-point depression will not be applied. Note, however, that a freezing front may differ significantly from the melting front through the possible existence of metastable pockets of supercooled liquid.
The pore size distributions may be estimated through nitrogen absorption [21], electron microscopy, or mercury injection experiments and measurements of the heat capacity variations with temperature when there is water present [22]. For silts, clays, and synthetic media made of glass powders [1], they may yield distributions that extend down at least to the nm scale. Freezing and melting of water confined in silica nanopores have been observed down to pore sizes of 3 nm [6].
The distributions may be given in terms of a relative volume fraction per unit length
where
Mercury intrusion experiments are challenged by the fact that high injection pressures may crush or deform the smallest pores. Yet, in rigid materials, such as cement, the technique may be used to measure pores down to
In a medium that is described by Equation 12, all the pores are frozen when
where we have introduced the length
where all pore water is melted.
The initial filling fraction of water in the pores
This means that when
by use of Equation 12 and Equation 13. Close to the absolute freezing point
with
by use of Equation 13 and the definition of
2.4 Contribution of pre-melted surface layers
Having neglected the thickness of the pre-melted films in the ice-filled pores by setting
where the fraction
where
Taking the
which may well be larger than one when
However, as we shall see below, it is the rates of change
where we can use the relatively high value
Because
close to the absolute freezing point
or, equivalently,
When
In other words, when
2.5 Governing equation for the evolution of melted water concentration
In a 1D setting, the conservation of energy in a slab of thickness
where
To describe the heat flow, we apply the Fourier law, which takes the form
where
where we have used
where
and
The last expression comes from replacing
where
We shall proceed to analyze the case where the
We note at this point that the condition for neglecting the energy needed to change temperature, which is represented by the
The fact that we have neglected the energy contribution given by the heat capacities means that we have assumed that all the energy is spent melting the ice in the pores. We note in passing that the same assumption is made in treatments of the moving boundary problem associated with melting fronts (the Stefan problem) [26].
The mobile energy density
in
where
and
where
The functional form given in Equation 38 immediately yields the second moment for the concentration profile
or, in terms of
When the dimension
The
The superdiffusive spread of
3 Potential applications to tundra-like surfaces
On the tundra, an increase in heat penetration depth due to superdiffusion will increase the water melting caused by annual heating, thus increasing the melting depth. Freezing and melting on a tundra is believed to affect the subsurface over depths of the order
It is instructive first to consider the case of a medium with a single pore size
which is zero away from the melting front. In this case,
which describes standard diffusive spreading of
At the point where all the energy supplied at the surface has been consumed as latent heat at the melting front, the front propagation stops. This will happen at a depth
Now, returning to the case we have considered, where
Using the value of the thermal diffusivity for ice
The 1D solution is given by setting
Inserting the numbers
which is a typical factor of 10 or so larger than
The main approximation made in our theory is the neglect of the heat capacities compared to the latent heat contributions. We now solve the full heat balance equation, Equation 32, numerically, including the finite value of the heat capacity.
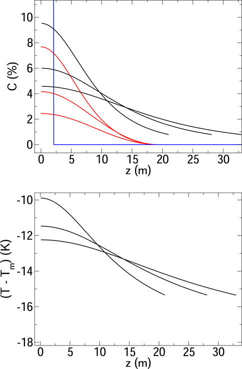
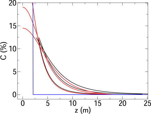
Figures 4, 5 show the results of this. Note that the analytic solutions are only plotted for

Figure 4. Top: The melted water fraction as a function of depth at different times

Figure 5. The same results as in Figure 4, but with

Figure 6. The increase in rms depth of the melted water fraction as a function of time for different minimum pore sizes. The time increases from
Even in the
4 Discussion and conclusion
Starting from the thermodynamics of the Gibbs–Thomson effect describing the melting of ice in pores and a power law distribution of pore sizes, we have shown that the requirement of energy conservation produces a non-linear equation that yields superdiffusive spreading of the melted water fraction.
The physical picture that emerges from this analysis is that the spreading of heat, or the melted water concentration, is strongly increased by the fact that the heat will bypass any pore that is either too big for melting to occur or so small that the melting has already happened. This is true in the range of temperatures where some pores contain water and some contain ice. As a result, a subsurface porous medium containing ice will experience melting perturbations at depths that greatly exceed those that are expected from a treatment that ignores the freezing-point depression.
Formalisms involving time fractional derivatives can cover descriptions of anomalous diffusion, both in the subdiffusive and superdiffusive domains [29–31]. These formalisms are not focused on the effects of freezing-point depression as in the present case. However, they are relevant to heat flow in media with complex geometries, like porous media and fractured systems, and in some cases, they yield analytic solutions.
In the present modeling, we have neglected all effects coming from the deformations of the solid skeleton that are caused by the difference in specific volume between water and ice. While such effects are key to important phenomena like frost heave [32], they have no important role in the energy budget associated with melting and freezing that we are considering. The added work that is carried out by ice displacing parts of the solid skeleton could, in principle, be incorporated as a small correction to
The superdiffusive spreading of temperature or melted water fraction may also be used as a method to measure pore size distributions: The estimate given in Equation 23 shows that close to
Our study is not restricted to pure water–solid systems. Methane hydrates, which may exist in the subsurface where glaciers have recently withdrawn, have similar values of density and latent heat as water ice [33]. This may give rise to superdíffusive behavior, even when the active substance is not water, but methane in combination with water. Measurements showing the freezing-point depression of methane and
Finally, we note that experimental verification of our predictions would be of great interest. Nanoporous man-made materials, such as activated carbons, zeolites, aluminas, mesoporous silicas, and microporous metal-organic frameworks, may all be tailored to have pores in the
Data availability statement
The data generated by the numerical modeling can be obtained from the authors upon request.
Author contributions
EF: Writing – original draft, Methodology, Software, Conceptualization, Investigation, Formal Analysis, Funding acquisition, Writing – review and editing, Project administration. AH: Conceptualization, Funding acquisition, Writing – review and editing. EE: Conceptualization, Writing – review and editing.
Funding
The author(s) declare that financial support was received for the research and/or publication of this article. This work was partly supported by the Research Council of Norway through its Centers of Excellence funding scheme, project number 262644. AH acknowledges funding from the European Research Council (Grant Agreement 101141323 AGIPORE).
Acknowledgments
We thank Daan Frenkel for valuable suggestions on the significance of the nucleation effects.
Conflict of interest
The authors declare that the research was conducted in the absence of any commercial or financial relationships that could be construed as a potential conflict of interest.
The author(s) declared that they were an editorial board member of Frontiers, at the time of submission. This had no impact on the peer review process and the final decision.
Generative AI statement
The author(s) declare that no Generative AI was used in the creation of this manuscript.
Any alternative text (alt text) provided alongside figures in this article has been generated by Frontiers with the support of artificial intelligence and reasonable efforts have been made to ensure accuracy, including review by the authors wherever possible. If you identify any issues, please contact us.
Publisher’s note
All claims expressed in this article are solely those of the authors and do not necessarily represent those of their affiliated organizations, or those of the publisher, the editors and the reviewers. Any product that may be evaluated in this article, or claim that may be made by its manufacturer, is not guaranteed or endorsed by the publisher.
References
1. Watanabe K, Mizoguchi M. Amount of unfrozen water in frozen porous media saturated with solution. Cold regions Sci Technology (2002) 34:103–10. doi:10.1016/S0165-232X(01)00063-5
2. Moore EB, Allen JT, Molinero V. Liquid-ice coexistence below the melting temperature for water confined in hydrophilic and hydrophobic nanopores. J Phys Chem C (2012) 116:7507–14. doi:10.1021/jp3012409
3. Marcolli C. Deposition nucleation viewed as homogeneous or immersion freezing in pores and cavities. Atmos Chem Phys (2014) 14:2071–104. doi:10.5194/acp-14-2071-2014
4. Campbell JM, Christenson H. Nucleation- and emergence-limited growth of ice from pores. Phys Rev Lett (2018) 120:165701. doi:10.1103/physrevlett.120.165701
5. Lazarenko MM, Zabashta YF, Alekseev AN, Yablochkova KS, Ushcats MV, Dinzhos RV, et al. Melting of crystallites in a solid porous matrix and the application limits of the Gibbs-Thomson equation. J Chem Phys (2022) 157:034704. doi:10.1063/5.0093327
6. Findenegg GH, Jähnert S, Akcakayiran D, Schreiber A. Freezing and melting of water confined in silica nanopores. ChemPhysChem (2008) 9:2651–9. doi:10.1002/cphc.200800616
7. Bouchaud J, Georges A. Anomalous diffusion in disordered media: statistical mechanisms, models and physical applications. Phys Rep (1990) 195:127–293. doi:10.1016/0370-1573(90)90099-n
8. Gosh SK, Cherstvy AG, Grebenkov DS, Metzler R. Anomalous non-Gaussian tracer diffusion in crowded two-dimensional environments. New J Phys (2016) 18:013027. doi:10.1088/1367-2630/18/1/013027
9. Richardson LF. Atmospheric diffusion shown on a distance-neighbour graph. Proc Roy Soc Lond A (1926) 110:709–37. doi:10.1098/rspa.1926.0043
10. Schlesinger MF, West BJ, Klafter J. Levy dynamics of enhanced diffusion: application to turbulence. Phys Rev Lett (1987) 58:1100–3. doi:10.1103/PhysRevLett.58.1100
11. Marcolli C. Pre-activation of aerosol particles by ice preserved in pores. Atmos Chem Phys (2017) 17:1595–622. doi:10.5194/acp-17-1595-2017
12. Hu W, Frenkel D, Mathot VBF. Free energy barrier to melting of single-chain polymer crystallite. J Chem Phys (2003) 118:3455–7. doi:10.1063/1.1553980
13. Frenken WMJ, van der Veen JF. Observation of surface melting. Phys Rev Lett (1985) 54:134–7. doi:10.1103/physrevlett.54.134
14. Elbaum M, Schick M. Application of the theory of dispersion forces to the surface melting of ice. Phys Rev Lett (1991) 66:1713–6. doi:10.1103/PhysRevLett.66.1713
15. Wilen LA, Wettlaufer JS, Elbaum M, Schick M. Dispersion-force effects in interfacial premelting of ice. Phys Rev B (1995) 52:12426–33. doi:10.1103/physrevb.52.12426
17. Vehkamaki H. Classical nucleation theory in multicomponent systems. 1 edn. Berlin: Springer (2006).
18. Frenkel D, Smit B. Understanding molecular simulation: from algorithms to applications. 2nd ed. Elsevier Science, Academic Press (2023).
19. Daeges J, Gleiter H, Perepezko JH. Superheating of metal crystals. Phys Lett A (1986) 119:79–82. doi:10.1016/0375-9601(86)90418-4
20. Gråbæk L, Bohr J, Anderson HH, Johansen A, Johnson E, Sarholt-Kristensen L, et al. Melting, growth and faceting of lead precipitates in aluminum. Phys Rev B (1992) 45:2628–37. doi:10.1103/physrevb.45.2628
21. Sing K. The use of nitrogen adsorption for the characterisation of porous materials. Colloids Surf A (2001) 187:3–9. doi:10.1016/S0927-7757(01)00612-4
22. Tombari E, Salvetti G, Ferrari C, Johari GP. Thermodynamic functions of water and ice confined to 2 nm radius pores. J Chem Phys (2005) 122:104712. doi:10.1063/1.1862244
23. Zhu J, Zhang R, Zhang Y, He F. The fractal characteristics of pore size distribution in cement-based materials and its effect on gas permeability. Nat Sci Rep (2019) 9:17191. doi:10.1038/s41598-019-53828-5
24. Zhao Y, Yu Q. CO2 breakthrough pressure and permeability for unsaturated low-permeability sandstone of the Ordos basin. J Hydrol (2017) 550:331–42. doi:10.1016/j.jhydrol.2017.04.050
25. Park T, Lee JY, Kwon TH. Effect of pore size distribution on dissociation temperature depression and phase boundary shift of gas hydrate in various fine-grained sediments. Energy Fuels (2018) 32:5321–30. doi:10.1021/acs.energyfuels.8b00074
26. Crowley AB. On the weak solution of moving boundary problems. IMA J Appl Mathematics (1979) 24:43–57. doi:10.1093/imamat/24.1.43
27. Flekkøy EG, Hansen A, Baldelli B. Hyperballistic superdiffusion and explosive solutions to the non-linear diffusion equation. Front Phys (2021) 9:41. doi:10.3389/fphy.2021.640560
28. Pattle RE. Diffusion from an instantaneous point source with a concentration-dependent coefficient. Mech Appl Math (1959) 12:407–9. doi:10.1093/qjmam/12.4.407
29. Žecová M, Terpák J. Heat conduction modeling by using fractional-order derivatives. Appl Math Comput (2015) 257:365–73. doi:10.1016/j.amc.2014.12.136
30. Suzuki A, Fomin SA, Chugunov VA, Niibori Y, Hashida T. Fractional diffusion modeling of heat transfer in porous and fractured media. Int J Heat Mass Transfer (2016) 103:611–8. doi:10.1016/j.ijheatmasstransfer.2016.08.002
31. Nikan O, Avazzadeh Z, Machado JT. Numerical approach for modeling fractional heat conduction in porous medium with the generalized Cattaneo model. Appl Math Model (2021) 100:107–24. doi:10.1016/j.apm.2021.07.025
32. Rempel AW, Wettlaufer JS, Worster MG. Premelting dynamics in a continuum model of frost heave. J Fluid Mech (2004) 498:227–44. doi:10.1017/s0022112003006761
Keywords: Gibbs–Thomson equation, pore size distribution, non-linear diffusion equation, superdiffusive spreading, melting front, diffusion exponent, spatial dimension, energy conservation
Citation: Flekkøy EG, Hansen A and Eiser E (2025) Heat and superdiffusive melting fronts in unsaturated porous media. Front. Phys. 13:1610082. doi: 10.3389/fphy.2025.1610082
Received: 11 April 2025; Accepted: 19 August 2025;
Published: 29 September 2025.
Edited by:
Zbigniew R. Struzik, The University of Tokyo, JapanReviewed by:
Paolo Grigolini, University of North Texas, United StatesHaroldo V. Ribeiro, State University of Maringá, Brazil
Vaughan Voller, University of Minnesota Twin Cities, United States
Milad Mozafarifard, University of Nevada, United States
Copyright © 2025 Flekkøy, Hansen and Eiser. This is an open-access article distributed under the terms of the Creative Commons Attribution License (CC BY). The use, distribution or reproduction in other forums is permitted, provided the original author(s) and the copyright owner(s) are credited and that the original publication in this journal is cited, in accordance with accepted academic practice. No use, distribution or reproduction is permitted which does not comply with these terms.
*Correspondence: Eirik G. Flekkøy, Zmxla2tveUBmeXMudWlvLm5v; Alex Hansen, YWxleC5oYW5zZW5AbnRudS5ubw==; Erika Eiser, ZXJpa2EuZWlzZXJAbnRudS5ubw==