ORIGINAL RESEARCH article
Front. Phys.
Sec. Social Physics
A Study on the Dynamic Evolutionary Processes of Blockchain-Enabled Transnational Low-Carbon Technology Collaboration
Provisionally accepted- 1Xi'an University of Science and Technology, Xi'an, China
- 2Shaanxi Coal Industry Co., LTD, Xi’an, China
- 3Tongji University, Shanghai, Shanghai Municipality, China
Select one of your emails
You have multiple emails registered with Frontiers:
Notify me on publication
Please enter your email address:
If you already have an account, please login
You don't have a Frontiers account ? You can register here
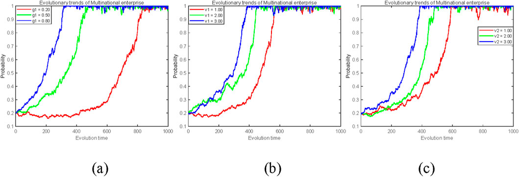
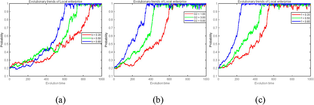
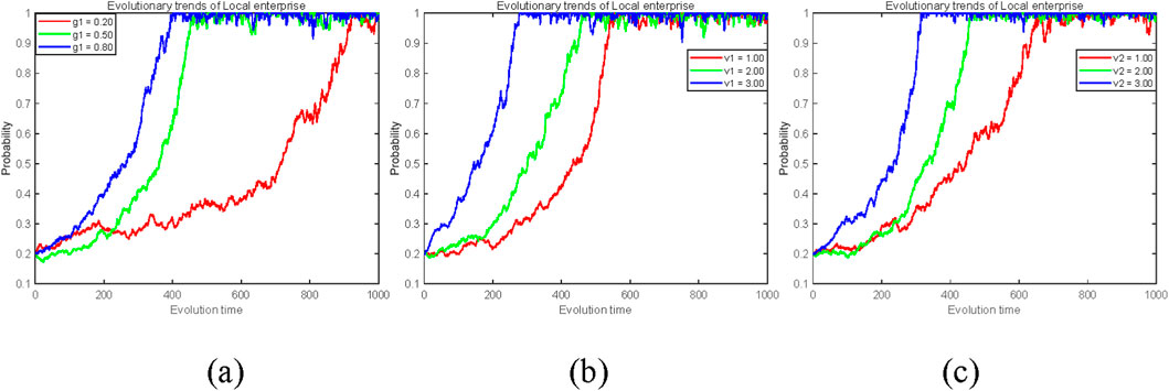
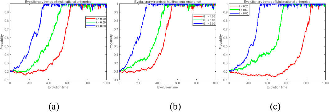
In the context of the global shift toward a multi-level networked climate governance system, multinational enterprises (MNEs) and local firms' collaboration on low-carbon technologies has become a critical pathway to address imbalances in emission reduction responsibilities and regional institutional conflicts. However, regional institutional differences and the risk of opportunism in technology transfer pose challenges to cooperation efficiency and market integration. To tackle these issues, this paper constructs a tripartite evolutionary game model encompassing MNEs, local firms, and blockchain platforms. The research focuses on three core characteristics of blockchain technology: decentralisation, immutability, and the automated execution of smart contracts. These properties enable the transformation of divergent regional institutional frameworks into trustworthy, self-enforcing on-chain protocols. This effectively mitigates bilateral opportunism risks during collaboration while providing robust technical underpinnings for dynamic incentive mechanisms. The study delves into how blockchain reshapes the competitive-collaborative equilibrium between MNEs and local firms, thereby fostering the long-term stability of low-carbon technology cooperation. The findings indicate that enterprises' cooperation willingness and blockchain platforms' regulatory enthusiasm are key drivers of cross-border emission reductions. Blockchain can effectively reduce opportunistic behavior, enhancing cooperation willingness. A higher reputation capital of blockchain platforms promotes cooperation, while excessive cost reductions may have the opposite effect. Opportunistic gains and technology spillover effects also influence cooperation willingness. Dynamic reward-punishment strategies are more effective than static ones in promoting collaboration and optimizing the system. This research offers theoretical support and practical guidance for resolving cross-border emission reduction dilemmas, optimizing blockchain platform governance, and fostering the development of a global low-carbon technology innovation network.
Keywords: Multinational enterprises, Joint emission reduction, Blockchain, EvolutionaryGame, Climate governance
Received: 05 May 2025; Accepted: 31 Oct 2025.
Copyright: © 2025 Li, Wu and Li. This is an open-access article distributed under the terms of the Creative Commons Attribution License (CC BY). The use, distribution or reproduction in other forums is permitted, provided the original author(s) or licensor are credited and that the original publication in this journal is cited, in accordance with accepted academic practice. No use, distribution or reproduction is permitted which does not comply with these terms.
* Correspondence:
Yan Li, yy1111@xust.edu.cn
Boying Li, liboying@tongji.edu.cn
Disclaimer: All claims expressed in this article are solely those of the authors and do not necessarily represent those of their affiliated organizations, or those of the publisher, the editors and the reviewers. Any product that may be evaluated in this article or claim that may be made by its manufacturer is not guaranteed or endorsed by the publisher.
