Your new experience awaits. Try the new design now and help us make it even better

ORIGINAL RESEARCH article

Front. Phys., 29 August 2025

Sec. Social Physics

Volume 13 - 2025 | https://doi.org/10.3389/fphy.2025.1659092

Research on knowledge-sharing decisions in the logistics service supply chain

Guanbing Zhao,
Guanbing Zhao1,2*Jiamiao ZhengJiamiao Zheng2Kuijian ZhanKuijian Zhan2
  • 1School of Intellectual Property, Jiangsu University, Zhenjiang, China
  • 2School of Management, Jiangsu University, Zhenjiang, China

Purpose: This study investigates the knowledge-sharing decision-making mechanisms in logistics service supply chains (LSSCs), focusing on the strategic interactions between logistics service integrators and providers.

Design/methodology/approach: The study employs evolutionary game theory to model dynamic interactions in LSSCs. Numerical simulations using MATLAB are conducted to validate the theoretical findings and examine the influence of critical parameters on equilibrium outcomes.

Findings: Government incentive subsidies can effectively promote cooperation between logistics service integrators and providers. Appropriate government incentive policies help promote fair distribution of internal revenue within the logistics service supply chain and enhance the competitiveness of the overall supply chain.

Originality/value: This study pioneers a tripartite evolutionary game model for knowledge sharing in LSSCs, analyzing the relationship between government incentives and enterprise strategies relationships. By introducing parameters such as subsidy ratios, technology maturity, and trust, it extends traditional models to address collaboration dilemmas and unlock overall supply chain value.

1 Introduction

With the accelerating process of global economic integration and the in-depth penetration of digital technologies, the logistics service supply chain (LSSC) has emerged as a core framework driving the upgrading of the modern logistics industry. This collaborative system, which is composed of logistics service providers, integrators, and demanders, demonstrates significant advantages in improving operational efficiency, reducing transaction costs, and enhancing market responsiveness through resource integration and process optimization. However, in practice, there are widespread knowledge barriers and information silos among various entities in the supply chain. Specifically, the regional operational experience possessed by service providers is difficult to transfer across nodes, and there is a transmission loss between the system scheduling knowledge of integrators and the personalized demands of demanders. As a result, the overall knowledge potential of the supply chain cannot be effectively converted into collaborative efficiency. Such knowledge asymmetry not only restricts the customization level of logistics solutions but also significantly increases the operational risks and coordination costs of the supply chain against the backdrop of intensified fluctuations in market demand. Therefore, exploring the driving mechanisms and decision-making logic of knowledge sharing (KS) in the logistics service supply chain has become a key proposition to solve the dilemma of inter-entity collaboration and unlock the overall value of the supply chain.

The current academic research in the field of LSSC mostly focuses on the pricing decisions, coordination mechanisms, and service quality control, among others. At the level of concept definition and theoretical construction, Cui conducted a systematic exploration of the evolution law, essential attributes, architecture model, feature analysis, and management theory system of the LSSC [1]. In terms of pricing, studies explore the structural, modal, and other factors. He et al. examined blockchain’s impact via a fresh product supply chain with overseas suppliers and cross-border platforms [2]. Zhang et al. highlighted centralized decision advantages in e-commerce chains through comparative models [3]. Jiang et al. used optimal control and Stackelberg theory to determine the optimal strategies under advertising delays in fresh agricultural chains. For coordination [4], Yang and Liu (2023) applied Stackelberg game theory to a two-level cross-border logistics chain and analyzed the effects of customs clearance via factor analysis [5]. He et al. proposed a novel Stackelberg model with cost-revenue sharing to incentivize logistics capability investment [6]. Gao theoretically explained the connotation boundaries, structural paradigms, and implementation paths of the logistics service integrator (LSI) from the perspective of integration logic [7]. Qiao designed an evolutionary game model for KS within the industrialized building supply chain, grounded in the hypothesis of bounded rationality, thereby uncovering the driving mechanisms and constraints governing knowledge flow [8]. In the multi-agent sharing governance scenario, Qiu constructed a tripartite KS evolutionary game model including the government, regulators, and end-users and analyzed the moderating effect of policy intervention on KS behavior [9]. Xu considered the agricultural product supply chain as the research object and, combined with the system dynamics method, verified the positive incentive effect of government regulation on the probability of KS between growers and suppliers [10]. Regarding service quality, Zhang G and Zhang Z. linked regional logistics network stability to total revenue via an evolutionary game model [11]. Zeng et al. noted that transparent information environments encourage CCL providers to enhance fresh-keeping, thus benefiting producers and distributors [12]. Although existing research has built multi-dimensional theoretical frameworks, it remains centered on traditional operational management. Amid the deepening digital transformation, research on digital cooperation requires further theoretical expansion.

Knowledge sharing in supply chain operations is defined as the process of building information networks to enable real-time knowledge connectivity, which facilitates collaborative practices among firms. As a cornerstone of modern supply chain management, its effectiveness directly enhances the decision-making quality and overall supply chain performance. High-quality knowledge flow and multi-dimensional interaction mechanisms are critical for achieving dynamic equilibrium and fostering value co-creation across supply chain ecosystems.

On the subject of supply chain knowledge sharing, Ren used stochastic Petri nets to model dynamic games, analyzing strategy evolution and expected revenue under uncertainty [13]. Qiao developed an evolutionary model for industrialized construction supply chains to identify the drivers and constraints of knowledge flow [8]. Wang and Bao explored knowledge-sharing trajectories in cluster supply chains via evolutionary games [14]. Regarding multi-agent governance, Qiu et al. built a tripartite evolutionary game model (government, regulators, and users) to analyze policy intervention effects [9]. Xu verified the government supervision’s positive impact on agricultural product supply chain knowledge sharing via system dynamics [10]. Li et al. found that benefit-cost marginal differences affect the fresh produce supply chain knowledge-sharing initiative through evolutionary games [15]. Gu quantified informatization, policy incentives, and costs on logistics knowledge-sharing evolution via system dynamics [16]. Overall, existing research focuses on scenario-specific supply chain knowledge sharing, with limited studies on universal logistics service supply chains—failing to explain interest relationships and evolution paths therein, thus necessitating further exploration.

Against this backdrop, this study focuses on the LSSC, specifically examining the KS relationship between LSI and logistics service provider (LSP). By constructing an evolutionary game model, this study analyzes the strategy selection and dynamic evolution paths of both parties in the KS process. Furthermore, this study explores the decision-making mechanisms of supply chain participants in KS behavior under government policy incentives (GPIs) and identifies the key factors affecting this behavior and its underlying logic. The research results are intended to provide a theoretical reference for the practice of KS cooperation among logistics enterprises, help realize the collaborative creation of supply chain value, and promote the digital transformation process of LSSCs.

2 Tripartite evolutionary game model

Integrators, leveraging their capabilities in process optimization, data integration, and resource allocation, formulate customized matching and allocation strategies in accordance with customer demands, while maintaining advantages in user behavior analysis and technical support. In contrast, providers, relying on physical resources such as transportation equipment and infrastructure, undertake businesses including warehousing, trunk transportation, and last-mile delivery, and they possess well-developed logistics networks and professional teams. Governments, based on their own interests and social benefits, formulate incentives and subsidy policies for knowledge-sharing cooperation among enterprises to promote such collaborations. This not only contributes to enhancing their reputation in the industry but also accelerates the effective integration of logistics resources and advances the digital transformation process of the entire logistics industry. Based on this, this paper constructs a tripartite evolutionary game model comprising logistics service integrators, logistics service providers, and the government to explore the interest relationships and strategy evolution paths of all participants in the knowledge sharing process within the logistics service supply chain. It should be clarified that the knowledge mentioned in this model covers various types of sharable knowledge, which, in terms of forms of expression, includes explicit knowledge and tacit knowledge, and in terms of acquisition approaches, it includes experiential knowledge and deductive knowledge, among others.

Based on the hypothesis of bounded rationality, this chapter constructs an evolutionary game model involving logistics service integrators, providers, and the government, where the three parties make decisions as decision-making subjects aiming to maximize utility. The corresponding strategy selection probabilities are as follows: the probability of LSI engaging in KS is x, the probability of not engaging in KS is 1x, the probability of LSP engaging in KS is y, and the probability of not engaging in KS is 1y. The probability of the government providing KS incentive subsidies is z, while the probability of not providing such subsidies is 1z. The specific assumptions are as follows:

Assumption 1. The basic revenues of the integrator and the provider when operating independently, along with the basic revenue of the government, are denoted as Ri, respectively, with Ri>0 (where i = 1, 2, and 3; 1 represents the integrator, 2 represents the provider, and 3 represents the government).

Assumption 2. Drawing on the studies by [17] and [18], this paper assumes that the total input cost for knowledge sharing between the integrator and the provider is Ci=αiNi22+βi22γi (i = 1, 2), which consists of two components. The first component is the knowledge-sharing effort cost, αiNi22, where αi is the effort cost coefficient for knowledge sharing, and Ni is the effort level of knowledge sharing, with αi,Ni>0. The second component is the knowledge-sharing technology cost, βi22γi, where βi denotes the technical level of the integrator or the data quality level of the provider, and γi represents the internal knowledge-sharing level of the integrator and the provider, with βi,γi>0.

Assumption 3. Drawing on the study by [19], it is assumed that when one party (either the integrator or the provider) chooses to share knowledge while the other does not, the knowledge-sharing party gains its own knowledge-sharing revenue δiNi, where δi is the revenue coefficient for knowledge sharing, with δi>0; the non-sharing party obtains a free-rider revenue λiδiNi, where λi is the incremental proportion of the free-rider revenue, with λi>0.

Assumption 4. Drawing on the study by [9], this paper assumes that when the integrator and the provider reach a knowledge-sharing agreement, it generates a value co-creation revenue from supply-chain knowledge sharing, Qθσ, where Q is the total amount of logistics data resources, θ is the technical maturity of industry knowledge sharing, and σ is the level of trust among logistics enterprises. This value co-creation revenue is shared between the integrator and the provider, with ε being the proportion allocated to the integrator and 1ε being allocated to the provider. It satisfies Q,θ,σ>0, 1>ε>0, Qθσελ1δ2N2>0, and Qθσ1ελ2δ1N1>0.

Assumption 5. Drawing on the research by [20], when the government provides incentive subsidies for enterprises’ knowledge sharing, it gains benefits such as reputation, δ3N3, where δ3 is the revenue coefficient for the government from knowledge sharing, with δ3>0; in this case, the government incurs an expenditure cost C3 (C3>0). Additionally, when all logistics enterprises engage in knowledge-sharing cooperation, the government obtains a proportion φ of the value co-creation revenue, with 1>φ>0.

Assumption 6. The government distributes knowledge-sharing subsidies to logistics enterprises, which are allocated between the integrator and the provider at a certain ratio, where the integrator receives ω proportion, and the provider receives 1ω proportion, with 1 >ω>0.

Based on the above assumptions, the payoff matrix for the evolutionary game composed of LSI, LSP, and the government is shown in Table 1:

LSI, LSP, and the government can all select the optimal strategy based on their respective benefits and other factors. In summary, the evolutionary game model is solved as follows.

The benefits for LSI when engaging in KS cooperation and when not engaging in KS cooperation are shown in Formulas 1, 2 respectively.

Fa1=yzωC3+yQθσε+zC3yzC3+R1+δ1N1C1,(1)
Fa2=yλ1δ2N2+R1.(2)

The average expected return of their KS cooperation decision is shown in Formula 3.

F¯=xFa1+1xFa2.(3)

The benefits for LSP when engaging in KS cooperation and when not engaging in KS cooperation are shown in Formulas 4, 5 respectively.

Gb1=xz1ωC3+xQθσ1ε+zC3xzC3+R2+δ2N2C2,(4)
Gb2=xλ2δ1N1+R2.(5)

The average expected return of their KS cooperation decision is shown in Formula 6.

G¯=yGb1+1yGb2.(6)

The benefits for the government when providing KS cooperation subsidies and when not providing KS cooperation subsidies are shown in Formulas 7, 8 respectively.

Hc1=xyR3+δ3N3+φQθσC3+x1yR3+δ3N3C3+1xyR3+δ3N3C3+1x1yR3C3,(7)
Hc2=xyR3+φQθσ+x1yR3+1xyR3+1x1yR3.(8)

The average expected return of their KS cooperation decision is shown in Formula 9.

H¯=zHc1+1zHc2.(9)

Table 1
www.frontiersin.org

Table 1. Tripartite evolutionary game model.

2.1 Replicated dynamic equation

1. Based on the above analysis, the replicated dynamic equation for the KS cooperation strategy of LSI is shown in Formula 10.

Fx=dxdt=x1xFa1Fa2=x1xyzωC3+yφQθσλ1δ2N2+zC3yzC3+δ1N1C1.(10)

2. The replicated dynamic equation for the LSP KS cooperation strategy is shown in Formula 11.

Gy=dydt=y1yGb1Gb2=y1yxz1ωC3+xQθσ1εxλ2δ1N1+zC3xzC3+δ2N2C2.(11)

3. The replicated dynamic equation for the government’s KS cooperation subsidy strategy is shown in Formula 12.

Hz=dzdt=z1zHc1Hc2=z1zxxy+yδ3N3C3.(12)

2.2 Model analysis and solution

Based on the dynamic replication equations of the three parties, the Jacobian (J) can be further derived as follows, as shown in Formula 13.

J=j11j12j13j21j22j23j31j32j33.(13)

Setting Fx=Gy=Hz=0 yields eight local equilibria: E10,0,0, E20,0,1, E30,1,0, E40,1,1, E51,0,0, E61,0,1, E71,1,0, and E81,1,1. According to the evolutionary game theory, when all eigenvalues of the Jacobian matrix are negative, the local equilibrium point is an ESS. Calculating each local stable point leads to the following conclusions, which are summarized in Table 2.

Table 2
www.frontiersin.org

Table 2. Local stability analysis.

The table shows that in the tripartite evolutionary game involving the LSI, LSP, and the government, the point (1, 1, 1) is identified as a stable point. Additionally, the points (0, 1, 1) and (1, 0, 1) have all negative eigenvalues, while the other points are unstable. Based on this, the following analysis is conducted.

Scenario 1: When ωC3+Qθσε+λ1δ2N2+δ1N1C1<0, C2δ2N2C3<0, and C3δ3N3<0, the following three conditions are met: the LSI gains more benefits from not participating in KS cooperation than from participating, the LSP achieves higher returns from KS cooperation than its input costs, and the government’s benefits from implementing KS incentive measures exceed its costs. Under these conditions, the system will converge toward the stable state (0, 1, 1). In this scenario, although the total net profit and subsidies received by the LSI after participating in KS cooperation are still lower than the direct costs of participation, the LSI is inclined to avoid KS (i.e., x approaches 0). However, for the LSP, the benefits gained through KS not only cover their costs but also surpass the additional income from government subsidies. As a result, they will continue to support KS cooperation. Meanwhile, the government determines that the benefits of its incentives for KS outweigh the associated costs, prompting it to sustain these incentive policies. The evolutionary trends of the entire system will ultimately converge toward (0, 1, 1).

Scenario 2: When C1δ1N1C3<0, 1εC3+Qθσ1ελ2δ1N1+δ2N2C2<0, and C3δ3N3<0, i.e., under the following conditions, namely, the LSI’s total benefits from KS cooperation exceed its costs, the LSP’s benefits from non-participation in KS cooperation are higher than those achievable through participation, and the benefits of the government’s KS incentive measures exceed their costs, the system will stabilize at (1, 0, 1). In this situation, as the LSP finds that the cost of participating in KS cooperation exceeds all the benefits it can derive, it tends to opt out of KS (i.e., y approaches 0). However, for the LSI, the benefits of KS significantly outweigh the combined costs of participation and any potential subsidies received. At the same time, the government observes that the benefits of the incentives it provides for KS outweigh the associated costs, prompting the continued implementation of such policies. The overall system’s evolutionary trends will eventually lead to (1, 0, 1).

Scenario 3: When C1+λ1δ2N2δ1N1QθσεωC3<0, C2+λ2δ1N1δ2N2Qθσ1ε1ωC3<0, and C3δ3N3<0, it indicates that the LSI and LSP gain greater benefits from jointly participating in KS cooperation than they would without it. Additionally, the government finds that its KS incentive measures yield returns that exceed their costs. This suggests that all three parties are inclined to adopt KS cooperation and the corresponding incentive policies. In this case, the system evolves toward a state where all participants pursue active KS strategies, moving toward the state (1, 1, 1). As the LSI and LSP recognize that mutual KS cooperation delivers higher overall returns, they become more willing to engage in this mutually beneficial relationship. The government also notes that its KS incentive policies not only encourage more cooperative behavior but also produce net benefits that surpass the costs. Consequently, considering the interests of all stakeholders and the outcomes of cost–benefit analysis, the entire system moves toward a stable state (1, 1, 1), where every participant actively engages in KS cooperation, achieving a win–win outcome.

3 Evolutionary game simulation analysis

To verify the conclusions of the above evolutionary game analysis, this paper uses MATLAB for numerical simulations to examine how parameter changes affect the system’s evolutionary path. Guided by economic assumptions and empirical judgments, parameters are assigned based on studies by [21, 22] and expert experience. Stability analysis of the equilibrium points across scenarios further explores the tripartite game’s evolutionary trends and model validity, while sensitivity analysis of the key parameters intuitively identifies the factors influencing strategy evolution and parameter sensitivities in logistics service supply chain knowledge sharing.

3.1 Numerical analysis of the stability of the ideal equilibrium point

Scenario 1: When ωC3+Qθσε+λ1δ2N2+δ1N1C1<0, C2δ2N2C3<0, and C3δ3N3<0, the system evolves toward the state (0, 1, 1). The logistics service integrator will eventually adopt a strategy of not participating in knowledge-sharing cooperation, and the logistics service provider will tend to choose knowledge sharing as its long-term stable strategy; meanwhile, the government, in pursuit of maximizing its own interests, will implement knowledge-sharing incentive subsidy policies. To further verify these theoretical deductions, simulations are conducted with the following parameters: C1= 15, C2=34, δ1=3, N1=6, δ2=4, N2=5, δ3=2, N3=5, Q=5, θ=2, σ=2, ε=0.6, λ1=0.4, λ2=0.6, C3=4, and ω=0.5. The results, as shown in Figure 1, are consistent with the previous conclusions.

Figure 1
Three-dimensional plot displaying dynamic fuzzy game results with multiple colorful curves: blue for logistics service integrators, orange for logistics service providers, and red for government. Axes labeled x, y, and z ranging from 0 to 1.

Figure 1. Scenario 1 simulation.

Scenario 2: When C1δ1N1C3<0, 1ωC3+Qθσ1ελ2δ1N1+δ2N2C2<0, and C3δ3N3<0, the system evolves toward the state (1, 0, 1). This means that the logistics service integrator will eventually tend to choose knowledge-sharing cooperation as its stable strategy. Conversely, the logistics service provider will decide not to participate in knowledge-sharing cooperation after a series of long-term decisions; the government, to maximize its own interests, will implement knowledge-sharing incentive subsidy measures. To further verify these theoretical deductions, simulations are conducted with the following parameters: C1= 10, C2=20, δ1=3, N1=4, δ2=4, N2=3, δ3=2, N3=4, Q=5, θ=2, σ=2, ε=0.6, λ1=0.4, λ2=0.6, C3=4, and ω=0.5. The results, as shown in Figure 2, are consistent with the previous conclusions.

Figure 2
A 3D plot with curves representing different logistic roles, identified by a legend with blue, red, and orange lines. Axes are labeled x, y, and a vertical scale ranging from 0 to 1.

Figure 2. Scenario 2 simulation.

Scenario 3: When C1+λ1δ2N2δ1N1QθσεωC3<0, C2+λ2δ1N1δ2N2Qθσ1ε1ωC3<0, and C3δ3N3<0, the system reaches the stable state (1, 1, 1). This indicates that after long-term decision-making games, both the logistics service integrator and the logistics service provider will choose knowledge sharing as their final stable strategy. Meanwhile, to maximize its own interests, the government will tend to implement incentive subsidy policies to promote knowledge sharing. To further verify these theoretical deductions, simulations are conducted with the following parameters: C1=16, C2=14, δ1=3, N1=6, δ2=4, N2=5, δ3=2, N3=6, Q=5, θ=2, σ=2, ε=0.6, λ1=0.4, λ2=0.6, C3=5, and ω=0.5. The results, as shown in Figure 3 are consistent with the previous conclusions.

Figure 3
A 3D plot shows multiple curved lines depicted in blue, red, and yellow, representing logistics service integrator, logistics service provider, and government, respectively. The lines emanate from a common origin and expand outward along axes labeled x, y, and z, numbered from zero to one.

Figure 3. Scenario 3 simulation.

For parameter assignment: Referring to the application of the Shapley value method in logistics collaboration, integrators typically have a distribution ratio exceeding 50% because of their roles in resource integration and risk underwriting. To satisfy Qθσελ1δ2N2>0 (ensuring positive returns for integrators), ε is set as 0.6. Furthermore, considering the development stage of knowledge-sharing technologies in the logistics industry, technical maturity is graded on a five-point scale, so θ is assigned the value 2. Finally, according to the research team’s survey, integrators—because of their leading role in collaboration—usually receive 40%–60% of the subsidies. For model simplification, ω=0.5 is adopted to reflect the balanced game between integrators and providers in subsidy distribution. These parameter assignments satisfy the conditions for the (1, 1, 1) scenario. In addition, the initial values of x,y,andz start at 0.1, with a fixed step size of 0.2, and random simulations are conducted from 0.1 to 0.9. The evolutionary process of the tripartite evolutionary game strategies under this scenario is illustrated in the figure.

3.2 Numerical analysis of parameter sensitivity

To more intuitively analyze the key factors influencing the strategy evolution of various subjects and the sensitivity of the related parameters during the knowledge-sharing process in the logistics service supply chain, the following section conducts a sensitivity analysis with the evolutionary stable point (1, 1, 1) as the initial scenario.

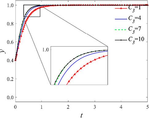
3.2.1 Impact of government incentive subsidies

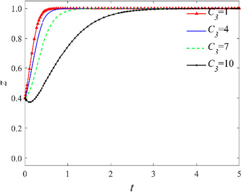
As indicated by the previous analysis, the amount of incentive subsidies C3 provided by the government exerts a significant influence on whether the government itself, logistics service integrators, and providers choose to engage in knowledge-sharing cooperation. Therefore, under the assumption that all other conditions remain unchanged, experiments are conducted by setting the government’s knowledge-sharing cooperation incentive subsidies C3 to 1, 4, 7, and 10, respectively, with the system evolution, results shown in the Figures 46. In the current scenario, an increase in the government’s incentive subsidy amount accelerates the convergence of the strategy probabilities of integrators and providers to 1; while the government’s own strategy probability still converges to 1, its convergence rate slows down as the subsidy amount increases. This indicates that the government, as a crucial incentive subject in the logistics service supply chain, shares part of the knowledge-sharing costs for the integrators and providers through incentive subsidies, enabling both parties to gain more benefits from sharing. Moreover, higher government subsidies enhance the willingness of the logistics service supply chain to actively engage in knowledge-sharing cooperation. However, the government must also appropriately consider costs when providing incentive subsidies to avoid excessive subsidies that could disrupt the virtuous cycle.

Figure 4
Graph showing variable \( X \) over time \( t \) from 0 to 5. Four lines represent different \( C_3 \) values: 1 (red triangles), 4 (blue), 7 (green dashed), and 10 (black). All lines start at \( X = 0.4 \) and converge near \( X = 1.0 \).

Figure 4. Influence of government incentives and subsidies on the x-axis.

Figure 5
Graph showing the relationship between variable \( \gamma \) and time \( t \), with four curves representing different \( C_3 \) values: red triangles for 1, blue line for 4, green dashed line for 7, and black line for 10. The inset zooms in on the region between 0 and 1 on the \( t \) axis.

Figure 5. Influence of government incentives and subsidies on the y-axis.

Figure 6
Graph depicting the relationship between \( z \) and \( t \) for different \( C_3 \) values. Four curves represent \( C_3 = 1 \), \( C_3 = 4 \), \( C_3 = 7 \), and \( C_3 = 10 \). As \( t \) increases from 0 to 5, \( z \) approaches 1 from an initial value of 0.4. Each curve demonstrates a distinct steepness and convergence point.

Figure 6. Influence of government incentives and subsidies on the z-axis.

3.2.2 Impact of the distribution ratio of government incentive subsidies

The aforementioned analysis shows that the distribution ratio of government incentive subsidies significantly affects knowledge-sharing cooperation decisions between integrators and providers. With other conditions held constant, an investigation of the distribution ratio ω set to 0.2, 0.4, 0.6, and 0.8 reveals that as ω increases, both parties’ strategy choices converge to 1 at an accelerating rate. This indicates that a reasonable subsidy distribution range effectively promotes revenue growth, development, and smooth knowledge-sharing cooperation. Exceeding this range may cause distrust and unfairness, thus weakening cooperation willingness despite substantial knowledge-sharing benefits. The results of the system evolution are shown in Figures 79.

Figure 7
Graph showing curves of \( x \) versus \( t \) for different \( \omega \) values: 0.2 (red triangles), 0.4 (blue line), 0.6 (green dashed line), and 0.8 (black crosses). An inset zooms in on the early curves, highlighting differences in convergence. Legends differentiate the curves.

Figure 7. Influence of the government incentive subsidy distribution ratio on the x-axis.

Figure 8
A graph showing the variable y over time t for different values of omega (ω), ranging from 0.2 to 0.8. The lines display different convergence rates, with an enlarged view of the initial section of the curves. Red, blue, green, and black lines represent ω values of 0.2, 0.4, 0.6, and 0.8, respectively.

Figure 8. Influence of the government incentive subsidy distribution ratio on the y-axis.

Figure 9
Graph showing variable \(Z\) over time \(t\) for different \(\omega\) values: \(0.2\) (red), \(0.4\) (blue), \(0.6\) (green dashed), and \(0.8\) (black). An inset zooms on \(t\) between \(0\) and \(1\), highlighting initial differences.

Figure 9. Influence of the government incentive subsidy distribution ratio on the z-axis.

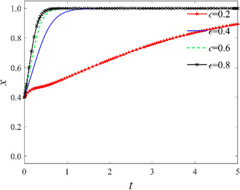
3.2.3 Impact of the distribution ratio of shared value benefits

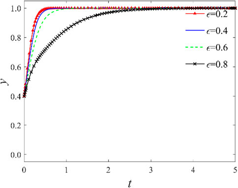
As shown in previous analyses, the method of distributing co-created value benefits significantly influences knowledge-sharing cooperation decisions between logistics service integrators and providers. With all other conditions held constant, the distribution ratio ε of co-created value benefits is set to 0.2, 0.4, 0.6, and 0.8 for investigation. As this ratio increases, the rate at which the logistics service integrator’s strategy probability converges to 1 accelerates gradually, while that of the logistics service provider slows down. This study finds that when the distribution of co-created value benefits falls between 0.5 and 0.8, both parties are more inclined to choose knowledge-sharing cooperation after long-term gaming, with the specific evolutionary path shown in Figures 1012. However, once the distribution ratio exceeds this range (i.e., 0.5–0.8), the irrationality of benefit distribution may induce a sense of unfairness between enterprises, thereby fostering a mindset that is incompatible with cooperation. In such cases, even with high subsidies or substantial benefits from knowledge sharing, the willingness of both parties to participate in cooperation will be negatively affected.

Figure 10
Graph showing the relationship between variable \(x\) and time \(t\) for different values of \(\epsilon\). Lines represent \(\epsilon = 0.2\) (red triangles), \(\epsilon = 0.4\) (blue), \(\epsilon = 0.6\) (green dashed), and \(\epsilon = 0.8\) (black asterisks). \(x\) approaches 1 as \(t\) increases.

Figure 10. Impact of co-creation value income distribution on the x-axis.

Figure 11
Graph showing the relationship between \( t \) (time) on the x-axis and \( y \) on the y-axis. Four curves represent different epsilon (\( \epsilon \)) values: 0.2 (red triangles), 0.4 (blue line), 0.6 (green dashed line), and 0.8 (black crosses). All curves approach \( y = 1 \) as \( t \) increases.

Figure 11. Impact of co-creation value income distribution on the y-axis.

Figure 12
Graph showing the relationship between \( z \) and \( t \) for different values of \( \epsilon \): 0.2 (red line), 0.4 (blue line), 0.6 (green dashed line), and 0.8 (black line with asterisks). Each line trends towards \( z = 1.0 \) as \( t \) approaches 5. An inset zooms in on the early \( t \) values, highlighting line convergence.

Figure 12. Impact of co-creation value income distribution on the z-axis.

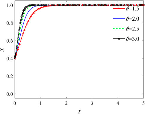
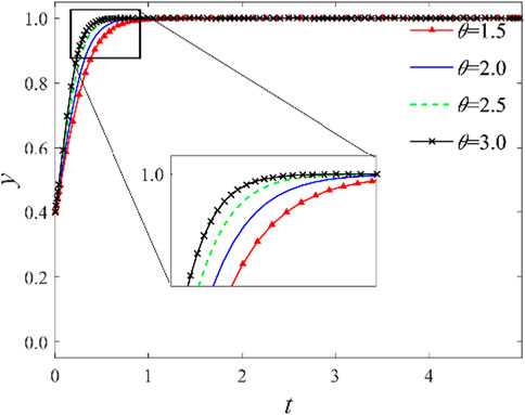
3.2.4 Impact of industry knowledge-sharing technology maturity

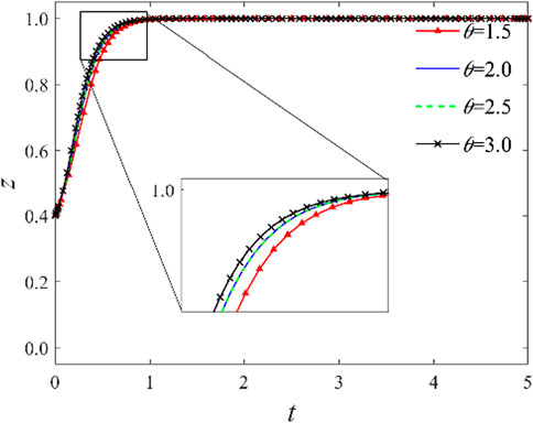
The parameter θ is assigned values of 1.5, 2.0, 2.5, and 3.0 to analyze its influence on system evolution. As shown in Figures 1315, the strategy choices of both logistics service integrators and providers converge to 1 with an accelerating rate as the maturity of industry knowledge-sharing technology increases. This indicates that higher maturity of knowledge-sharing technology in the industry leads to lower costs and greater convenience for knowledge sharing among subjects, thereby incentivizing them to engage in knowledge-sharing cooperation and achieve value co-creation. Since the maturity of industry knowledge-sharing technology has little impact on the government’s strategy choices, no further analysis of it is provided in this study.

Figure 13
Graph showing four curves of \( x \) versus \( t \) for different \(\theta\) values: \( \theta = 1.5 \) (red), \( \theta = 2.0 \) (blue), \( \theta = 2.5 \) (green, dashed), and \( \theta = 3.0 \) (black). All curves start near \( x = 0.4 \) and increase to 1.0 as \( t \) approaches 5.0.

Figure 13. Impact of maturity of knowledge-sharing technology distribution on the x-axis.

Figure 14
Graph showing the relationship between variable \( y \) and time \( t \) for different values of \(\theta\) (1.5, 2.0, 2.5, 3.0). Four curves represent this relationship, converging towards \( y = 1.0 \) over time. An inset highlights the initial changes in curves.

Figure 14. Impact of maturity of knowledge-sharing technology distribution on the y-axis.

Figure 15
Graph showing the relation between variable \( z \) and time \( t \) for different \(\theta\) values: 1.5, 2.0, 2.5, and 3.0. Each \(\theta\) has a distinct curve, converging around \( z = 1 \) as \( t \) increases. An inset magnifies part of the graph for detail.

Figure 15. Impact of maturity of knowledge-sharing technology distribution on the z-axis.

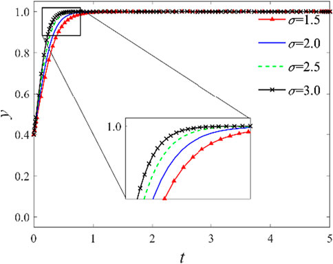
3.2.5 Impact of trust level among logistics enterprises

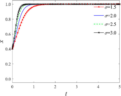
The parameter σ is assigned values of 1.5, 2.0, 2.5, and 3.0 to analyze its influence on system evolution. As shown in Figures 1618, the strategy choices of both logistics service integrators and providers converge to 1 with an accelerating rate as the trust level among logistics enterprises increases. This indicates that a higher level of trust among enterprises in the industry reduces the resistance to knowledge sharing, making all parties more inclined to engage in cooperative knowledge sharing and thus achieving a win–win situation.

Figure 16
A graph plotting \(x\) against \(t\), showing four curves with different \(\sigma\) values: 1.5, 2.0, 2.5, and 3.0. Each curve rises quickly and asymptotically approaches \(x=1\). The red curve (\(\sigma=1.5\)) reaches the top first, followed by blue (\(\sigma=2.0\)), green dashed (\(\sigma=2.5\)), and black (\(\sigma=3.0\)).

Figure 16. Impact of the trust level among logistics enterprise distribution on the x-axis.

Figure 17
Graph showing the relationship between variable \( y \) and time \( t \) for different sigma (\( \sigma \)) values: 1.5, 2.0, 2.5, and 3.0. The plot includes a zoomed-in section on initial curves. Each sigma value has a distinct line style and color: red with triangles for 1.5, blue for 2.0, green dashed for 2.5, and black with crosses for 3.0. The graph illustrates how quickly \( y \) approaches 1.0 over time.

Figure 17. Impact of the trust level among logistics enterprise distribution on the y-axis.

Figure 18
Graph showing the relationship between variable \( z \) and time \( t \) for different \( \sigma \) values (1.5, 2.0, 2.5, 3.0). The main curve rises steeply before leveling off, with an inset zooming into values from 0 to about 3 on the horizontal axis, illustrating slight differences among the curves.

Figure 18. Impact of the trust level among logistics enterprise distribution on the z-axis.

4 Conclusions and recommendations

4.1 Research conclusions

This study centers on knowledge-sharing collaboration within logistics service supply chains. Guided by the assumption of bounded rationality, it establishes a tripartite game analysis framework incorporating government participation and profoundly examines the impact pathways through which core variables—such as policy incentives, inter-enterprise mechanisms for distributing knowledge-sharing gains, and subsidy allocation—influence system evolution. Based on the research findings, strategic recommendations for advancing knowledge sharing are put forward based on three dimensions: logistics service integrators, providers, and government authorities. These recommendations aim to enhance the overall performance of the supply chain and promote the realization of industrial collaborative value. The key research conclusions of this paper are as follows:

1. When selecting partners, integrators should prioritize the potential providers’ knowledge-sharing costs, knowledge quality, cooperation environment, and expected benefits, preferring those with high enthusiasm, quality resources, strong reputations, and proven cooperation records. For industry-wide value co-creation, matching with providers on value co-creation benefits is critical.

2. Government incentive subsidies effectively boost cooperation willingness between integrators and providers, but their impact depends on the mechanism design. Rational subsidies stimulate cooperation, while unfair or flawed designs may trigger refusal due to perceived inequity. Appropriate policies also promote fair benefit distribution within the supply chain, thus enhancing the overall competitiveness.

4.2 Countermeasure recommendations

1. As core hubs, logistics service integrators should address knowledge-sharing barriers from technical constraints by building high-caliber technical teams, optimizing collaborative innovation mechanisms to enhance algorithmic and intelligent decision-making capabilities, and improving data analysis efficiency. They should establish efficient data interconnection platforms to integrate the user behavior and service process data for real-time and accurate demand response and share non-core data to strengthen the providers’ collaboration willingness, thereby fostering symbiotic relationships and enhancing full-chain service capacity and market responsiveness.

2. Logistics service providers, as key executors, need to overcome limited data analysis capabilities by establishing systematic data management frameworks, integrating full-chain logistics data, and adopting intelligent analysis tools to strengthen data-driven decision making. They should proactively connect upstream and downstream nodes to build collaborative networks, advance dual-cycle mechanisms, and improve marginal benefits via digital transformation. Leveraging the policy and market resources, providers should accelerate intelligent facility development with government subsidies and industrial funds, establish information synchronization platforms, enhance inter-partner trust, and promote joint data development and industry-wide value co-creation.

3. Governments, as supervisors and guides, should establish multi-level incentive mechanisms (e.g., tax incentives and credit rating linkage) to foster enterprise collaboration in data sharing and resource integration, with dynamic adjustments ensuring policy foresight. They should upgrade governance structures by building cross-departmental, cross-level information platforms, formulating unified data exchange standards and conflict-mediation mechanisms, and integrating blockchain and smart contracts to ensure transparency and transaction security. Additionally, governments should improve credit evaluation systems, integrate enterprise credit with industry access, strengthen irregularity tracing, introduce third-party audits, and build a credit-based market environment to drive high-quality logistics development.

Data availability statement

The original contributions presented in the study are included in the article/supplementary material; further inquiries can be directed to the corresponding author.

Author contributions

GZ: Conceptualization, Methodology, Writing – review and editing. JZ: Conceptualization, Methodology, Writing – review and editing. KZ: Writing – review and editing, Methodology.

Funding

The author(s) declare that no financial support was received for the research and/or publication of this article.

Conflict of interest

The authors declare that the research was conducted in the absence of any commercial or financial relationships that could be construed as a potential conflict of interest.

Generative AI statement

The author(s) declare that no Generative AI was used in the creation of this manuscript.

Any alternative text (alt text) provided alongside figures in this article has been generated by Frontiers with the support of artificial intelligence and reasonable efforts have been made to ensure accuracy, including review by the authors wherever possible. If you identify any issues, please contact us.

Publisher’s note

All claims expressed in this article are solely those of the authors and do not necessarily represent those of their affiliated organizations, or those of the publisher, the editors and the reviewers. Any product that may be evaluated in this article, or claim that may be made by its manufacturer, is not guaranteed or endorsed by the publisher.

References

1. Cui A, Liu W, Zhang X. The basic theoretical framework of logistics service supply chain. J Shanghai Maritime Univ (2008) 29(1), 1–6.

Google Scholar

2. He Y, Chen L, Xu Q. Optimal pricing decisions for a global fresh product supply chain in the blockchain technology era. Int J Logistics Res Appl (2024) 27(5): 649–66. doi:10.1080/13675567.2021.1981275

CrossRef Full Text | Google Scholar

3. Zhang Y, Fu S, Fan S, Ma F. Game strategy analysis on E-commerce platform supply chain with shared logistics service: a chaos perspective. Appl Mathematics Comput (2025) 499: 129414, doi:10.1016/j.amc.2025.129414

CrossRef Full Text | Google Scholar

4. Yong-Chang J, Jia-xur C, He-Jie Z. Research on inventory control and pricing decisions in the supply chain of fresh agricultural products under the advertisement delay effect. IEEE Access 12, 197468, 87. doi:10.1109/access.2024.35221372024).

CrossRef Full Text | Google Scholar

5. Yang Y, Liu Y. Contracts analysis of cross-border logistics service supply chain: with a consideration of customs clearance level. Ind Eng J (2023) 26(01):52–62+90. doi:10.3969/j.issn.1007-7375.2023.01.006

CrossRef Full Text | Google Scholar

6. He C, An Q, Xu X, Zhang G. Enhancing resilience and coordination in sustainable logistics service supply chains through integrated investment contracts. Sustainability (2024) 16(23): 10644, doi:10.3390/su162310644

CrossRef Full Text | Google Scholar

7. Gao Z, Zhu W, Chen S. Research on the integration of logistics service supply chain. China Logistics Economy (2017) 31(10), 46–54. doi:10.14089/j.cnki.cn11-3664/f.2017.10.006

CrossRef Full Text | Google Scholar

8. Qiao S, Wang Q. The impact mechanism of collaborative innovation activities and BIM application on innovation performance in construction supply chains. J Civil Eng Management (2021) 38(5), 91–7. doi:10.13579/j.cnki.2095-0985.2021.05.014

CrossRef Full Text | Google Scholar

9. Qiu X, Wu Y. An evolutionary game study on supply chain knowledge sharing under fairness concerns. Sci Technology Management Res (2023) 43(2), 151–9. doi:10.3969/j.issn.1000-7695.2023.2.019

CrossRef Full Text | Google Scholar

10. Xu S, Ji M. Dynamic modeling and simulation of how knowledge sharing affects the competitiveness of agricultural product supply chains. Reg Res Development (2020) 39(3), 47–52. doi:10.3969/j.issn.1003-2363.2020.03.009

CrossRef Full Text | Google Scholar

11. Zhang G, Zhang Z. An evolutionary game model of a regional logistics service supply chain complex network in a blockchain environment. Systems (2025) 13(1): 32, doi:10.3390/systems13010032

CrossRef Full Text | Google Scholar

12. Zeng M, Wu Y, Xing X, Tang W, Xu H. Coordinating principal–agent and incentive strategy of cold chain logistics service in fresh food supply chain. Plos one (2024) 19(10): e0306976, doi:10.1371/journal.pone.0306976

PubMed Abstract | CrossRef Full Text | Google Scholar

13. Ren D. Random evolution game model for supply chain knowledge sharing. Computer Digital Eng (2019) (12): 2946–52. doi:10.3969/j.issn.1672-9722.2019.12.002

CrossRef Full Text | Google Scholar

14. Wang Y, Bao J. Evolutionary game analysis of knowledge sharing behavior in cluster supply chain. Res Technology Management (2019) 39(04):142–9. doi:10.3969/j.issn.1000-7695.2019.04.021

CrossRef Full Text | Google Scholar

15. Li Y, Xu H, Zhao Y. Evolutionary game analysis of information sharing in fresh product supply chain. Discrete Dyn Nat Soc (2021) 1, 11. doi:10.1155/2021/6683728

CrossRef Full Text | Google Scholar

16. Gu J Research on internal logistics information sharing of supply chain from the perspective of evolutionary game. Int Core J Eng (2020) 6(10), 1–9. doi:10.6919/ICJE.202010_6(10).0052

CrossRef Full Text | Google Scholar

17. Xiao D, Chen Y, Wang J Choice of cost sharing strategy in E-commerce supply chain considering platform digital empowerment. Chin J Management Sci (2021) 29(10):58–69. doi:10.16381/j.cnki.issn1003-207x.2020.2175

CrossRef Full Text | Google Scholar

18. Gurnani H, Erkoc M. Supply contracts in manufacturer-retailer interactions with manufacturer-quality and retailer effort-induced demand. Naval Res Logistics (Nrl) (2008) 55(3): 200–17. doi:10.1002/nav.20277

CrossRef Full Text | Google Scholar

19. Liu Y, Wang Y, Ma X. Evolutionary game theory research on knowledge sharing in aviation manufacturing industry clusters. Chin J Syst Sci (2025) (03):147–54.

Google Scholar

20. Zhong Q, Wang H. Research on knowledge interaction and evolution mechanism of cloud manufacturing platform considering collaborative tax supervision. Operations Res Management Sci (2023) 32(11):183–90. doi:10.12005/orms.2023.0370

CrossRef Full Text | Google Scholar

21. He Z, Zhang Z, Yang X. Evolutionary game analysis of knowledge sharing incentive in cloud manufacturing innovation ecosystem. Chin J Management Sci (2022) 30(07):77–87. doi:10.16381/j.cnki.issn1003-207x.2020.1465

CrossRef Full Text | Google Scholar

22. Peng Y, Shi Z, Sun J. Digital servitization supply chain network equilibrium considering digital inputs and knowledge sharing. Ind Eng Management (2025) 1–19.

Google Scholar

Keywords: logistics service supply chain, knowledge sharing, evolutionary game theory, digital transformation, simulation analysis

Citation: Zhao G, Zheng J and Zhan K (2025) Research on knowledge-sharing decisions in the logistics service supply chain. Front. Phys. 13:1659092. doi: 10.3389/fphy.2025.1659092

Received: 03 July 2025; Accepted: 13 August 2025;
Published: 29 August 2025.

Edited by:

Faik Bilgili, Erciyes University, Türkiye

Reviewed by:

Shuai Deng, Hunan Institute of Technology, China
Yang Yao, Beijing Jiaotong University, China

Copyright © 2025 Zhao, Zheng and Zhan. This is an open-access article distributed under the terms of the Creative Commons Attribution License (CC BY). The use, distribution or reproduction in other forums is permitted, provided the original author(s) and the copyright owner(s) are credited and that the original publication in this journal is cited, in accordance with accepted academic practice. No use, distribution or reproduction is permitted which does not comply with these terms.

*Correspondence: Guanbing Zhao, emhnYkB1anMuZWR1LmNu

Disclaimer: All claims expressed in this article are solely those of the authors and do not necessarily represent those of their affiliated organizations, or those of the publisher, the editors and the reviewers. Any product that may be evaluated in this article or claim that may be made by its manufacturer is not guaranteed or endorsed by the publisher.