- Institute of Laser Engineering, The University of Osaka, Osaka, Japan
Kilojoule-class relativistic-intensity lasers with multi-picosecond (ps) pulse durations can efficiently produce fast ions in interactions with thin foil plasmas via target normal sheath acceleration (TNSA). We derive the energy partition between fast ions and fast electrons during the expansion of a thin foil plasma irradiated by a relativistic-intensity laser over picosecond timescales. As the expansion proceeds with continuous laser heating, both ion and electron energies increase simultaneously. In this study, we show that the energy partition between fast electrons and fast ions converges to a steady-state level on a ps timescale. This level is determined by the time dependence of the effective temperature of fast electrons and the dimensionality of momentum space. The steady-state level is verified by particle-in-cell simulations. The theory can be used to predict the energy conversion efficiency from the laser to fast ions for applications such as laser-driven proton sources.
1 Introduction
Laser-driven ion acceleration has gained a lot of interest as an application of high-power lasers with relativistic intensities over
Modeling the energy conversion rate from laser to fast ions in the kJ laser-driven TNSA is important for the applications. In relativistic laser–foil interactions, electrons at the laser-irradiated front surface of the foil are accelerated by the laser field and launched into the overdense foil plasma. The laser-accelerated fast electrons create an electric field surrounding the foil, which accelerates ions, leading to a quasi-neutral plasma expansion. Hence, in TNSA, the laser energy is initially converted predominantly into fast electrons, after which a portion of the electron energy is transferred to fast ions during the expansion. The quasi-neutral plasma expansion proceeds with the timescale of ion fluid motion characterized by
When the laser pulse duration is sub-ps or shorter, the effective temperature of fast electrons
In this paper, we derive the temporal evolution of energies of fast electrons and ions in the expanding plasma under relativistic-intensity laser irradiation based on the non-isothermal plasma expansion model [26], which takes into account the temporal evolution of the effective fast electron temperature during the interaction. The energy partition between fast ions and fast electrons converges to a steady-state level on a ps timescale. The level is determined by the time-dependence of the effective fast electron temperature and the dimensionality of the momentum distribution of fast electrons. The theory derived in Section 2 is verified by one-dimensional (1D) and two-dimensional (2D) particle-in-cell (PIC) simulations in Section 3. Section 4 presents a discussion on the energy conversion efficiency in proton acceleration and provides the conclusion.
2 Theory
We consider the quasi-neutral expansion of a thin foil plasma irradiated by a laser light with a relativistic amplitude
We define the areal energy density of ions in the expanding plasma in the rear side of the foil as follows:
We define that of fast electrons as follows:
where
which is the scale length of the expansion at time
Here, we use
which takes into account the time evolution of
Substituting Equations 4, 5 into Equations 1, 2 and using the relation
where the coefficients A1 and A2 are given by the following Equations 9, 10.
and the terms of order
with an approximation
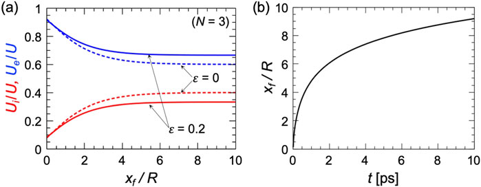
We plot Equations 7, 8 for

Figure 1. (a) Energy partitions of fast electrons
The dashed and solid lines are represent
The energy partitions
in the first order of

Table 1. Ratio of the ion energy
The energy partition of fast ions decreases as
After the laser irradiation ends, the plasma expansion becomes adiabatic. In the ideal case where the interaction after the laser irradiation is 1D without energy dissipation, the ion energy partition increases while satisfying the energy conservation
As shown in Figure 1a, the energy partitions converge to the values described by Equations 14, 15 when
where we used the approximation
3 PIC simulation
We verify the above theoretical model by 1D and 2D PIC simulations using the PICLS code [32]. In the simulations, a foil plasma is irradiated by a laser from the left side with a wavelength of
To examine the expansion with
The temporal evolution of energy in the 1D simulation system is shown in Figure 2a. The values are normalized by the total input laser energy

Figure 2. One-dimensional PIC simulation result. (a) Temporal evolution of energies of electrons (blue) and ions (red). The black line is the sum of the electron and ion energies. The values are normalized by the total input laser energy
In (b), the maximum absolute value of
The slope temperature of fast electrons increases temporally, as observed from the electron energy distributions in Figure 3a, where the distributions are composed of all the electrons in the simulation system. In Figure 3b, the slope temperatures

Figure 3. (a) Temporal evolution of the electron energy distribution in the 1D PIC simulation. The vertical axis is in logarithmic scale. (b) Temporal evolution of the average energy
Figure 3d presents the temporal evolution of the energy partitions of the fast electrons and fast ions in the 1D simulation. For fast electrons, we calculated the sum of the energies of electrons whose energies are above 0.2 MeV. This corresponds to
To investigate the energy partition with a multidimensional electron momentum distribution, we perform 2D PIC simulations. The 2D simulation includes Coulomb collisions, and a hydrogen plasma layer is attached to the backside of the deuterium foil to model a realistic TNSA by a kJ laser. The laser peak amplitude is
The energy of ions increases gradually with the plasma expansion after approximately 1.5 ps, as shown in Figure 4a, which shows the temporal evolution of particle energies in the simulation system normalized by the input laser energy

Figure 4. Two-dimensional PIC simulation result. (a) Temporal evolution of the energies of electrons (blue), protons (green), and all ions, including deuterium ions and protons (red). The black line is the sum of the electron and ion energies. The values are normalized by the total input laser energy
From the electron energy distributions in

Figure 5. (a) Temporal evolution of the electron energy distribution in the 2D PIC simulation. The vertical axis is in logarithmic scale. (b) Temporal evolution of the average energy
In Figure 5d, we show the temporal evolution of the energy partitions of fast electrons and fast ions in
4 Discussion and conclusion
Equations 14, 15 can be used to predict the energy conversion efficiency
where
For the 2D simulation in Section 3, the black line in Figure 4a indicates
In conclusion, we derived the energy partition of fast ions and fast electrons in a foil plasma expansion under kJ relativistic laser irradiation. The expansion proceeds with the over-picosecond laser heating, and energies of both fast ions and fast electrons increase simultaneously. Based on the non-isothermal quasi-neutral plasma expansion theory in 1D geometry, we find that the energy partition between fast ions and fast electrons converges to a steady-state level on a ps timescale. The level is determined by the time dependence of the effective temperature of fast electrons and their momentum distribution dimensionality. The theory is tested by PIC simulations in 1D and 2D geometry with a large laser spot
Data availability statement
The original contributions presented in the study are included in the article/supplementary material; further inquiries can be directed to the corresponding author.
Author contributions
NI: Conceptualization, Writing – original draft, Formal analysis. YS: Conceptualization, Writing – review and editing.
Funding
The author(s) declare that financial support was received for the research and/or publication of this article. This study was supported by JSPS KAKENHI (grant numbers JP23K03354, JP24H00204, and JP23K20038) and JST PRESTO (grant no. JPMJPR21O1).
Acknowledgments
The authors are grateful to A. J. Kemp and S. C. Wilks for helpful discussions.
Conflict of interest
The authors declare that the research was conducted in the absence of any commercial or financial relationships that could be construed as a potential conflict of interest.
Generative AI statement
The author(s) declare that no Generative AI was used in the creation of this manuscript.
Any alternative text (alt text) provided alongside figures in this article has been generated by Frontiers with the support of artificial intelligence and reasonable efforts have been made to ensure accuracy, including review by the authors wherever possible. If you identify any issues, please contact us.
Publisher’s note
All claims expressed in this article are solely those of the authors and do not necessarily represent those of their affiliated organizations, or those of the publisher, the editors and the reviewers. Any product that may be evaluated in this article, or claim that may be made by its manufacturer, is not guaranteed or endorsed by the publisher.
References
1. Macchi A, Borghesi M, Passoni M. Ion acceleration by superintense laser-plasma interaction. Rev Mod Phys (2013) 85:751–93. doi:10.1103/RevModPhys.85.751
2. Daido H, Nishiuchi M, Pirozhkov AS. Review of laser-driven ion sources and their applications. Rep Prog Phys (2012) 75:056401. doi:10.1088/0034-4885/75/5/056401
3. Miyanaga N, Azechi H, Tanaka KA, Kanabe T, Jitsuno T, Kawanaka J, et al. 10-kj pw laser for the firex-i program. J Phys IV France (2006) 133:81–7. doi:10.1051/jp4:2006133016
4. Crane JK, Tietbohl G, Arnold P, Bliss ES, Boley C, Britten G, et al. Progress on converting a nif quad to eight, petawatt beams for advanced radiography. J Phys Conf Ser (2010) 244:032003. doi:10.1088/1742-6596/244/3/032003
5. Maywar DN, Kelly JH, Waxer LJ, Morse SFB, Begishev IA, Bromage J, et al. Omega ep high-energy petawatt laser: progress and prospects. J Phys Conf Ser (2008) 112:032007. doi:10.1088/1742-6596/112/3/032007
6. Miquel J-L, Prene E. LMJ and PETAL status and program overview. Nucl Fusion (2018) 59:032005. doi:10.1088/1741-4326/aac343
7. Yogo A, Mima K, Iwata N, Tosaki S, Morace A, Arikawa Y, et al. Boosting laser-ion acceleration with multi-picosecond pulses. Scientific Rep (2017) 7:42451. doi:10.1038/srep42451
8. Mariscal D, Ma T, Wilks SC, Kemp AJ, Williams GJ, Michel P, et al. First demonstration of arc-accelerated proton beams at the national ignition facility. Phys Plasmas (2019) 26:043110. doi:10.1063/1.5085787
9. Margarone D, Morace A, Bonvalet J, Abe Y, Kantarelou V, Raffestin D, et al. Generation of alpha-particle beams with a multi-kj, peta-watt class laser system. Front Phys (2020) 8:343. doi:10.3389/fphy.2020.00343
10. Raffestin D, Lecherbourg L, Lantuéjoul I, Vauzour B, Masson-Laborde PE, Davoine X, et al. Enhanced ion acceleration using the high-energy petawatt petal laser. Matter Radiat Extremes (2021) 6:056901. doi:10.1063/5.0046679
11. Campbell PT, Canning D, Hussein AE, Ratnayaka KDW, Thomas AGR, Krushelnick K, et al. Proton beam emittance growth in multipicosecond laser-solid interactions. New J Phys (2019) 21:103021. doi:10.1088/1367-2630/ab4721
12. Mackinnon AJ, Patel PK, Borghesi M, Clarke RC, Freeman RR, Habara H, et al. Proton radiography of a laser-driven implosion. Phys Rev Lett (2006) 97:045001. doi:10.1103/PhysRevLett.97.045001
13. Simpson RA, Mariscal DA, Kim J, Scott GG, Williams GJ, Grace E, et al. Demonstration of tnsa proton radiography on the national ignition facility advanced radiographic capability (nif-arc) laser. Plasma Phys Controlled Fusion (2021) 63:124006. doi:10.1088/1361-6587/ac2349
14. Yogo A, Lan Z, Arikawa Y, Abe Y, Mirfayzi SR, Wei T, et al. Laser-driven neutron generation realizing single-shot resonance spectroscopy. Phys Rev X (2023) 13:011011. doi:10.1103/PhysRevX.13.011011
15. Kleinschmidt A, Bagnoud V, Deppert O, Favalli A, Frydrych S, Hornung J, et al. Intense, directed neutron beams from a laser-driven neutron source at phelix. Phys Plasmas (2018) 25:053101. doi:10.1063/1.5006613
16. Tabak M, Hammer J, Glinsky ME, Kruer WL, Wilks SC, Woodworth J, et al. Ignition and high gain with ultrapowerful lasers. Phys Plasmas (1994) 1:1626–34. doi:10.1063/1.870664
17. Atzeni S, Temporal M, Honrubia J. A first analysis of fast ignition of precompressed icf fuel by laser-accelerated protons. Nucl Fusion (2002) 42:L1–4. doi:10.1088/0029-5515/42/3/101
18. Baitin AV, Kuzanyan KM. A self-similar solution for expansion into a vacuum of a collisionless plasma bunch. J Plasma Phys (1998) 59:83–90. doi:10.1017/S0022377897005916
19. True MA, Albritton JR, Williams EA. Fast ion production by suprathermal electrons in laser fusion plasmas. The Phys Fluids (1981) 24:1885–93. doi:10.1063/1.863270
20. Mora P. Thin-foil expansion into a vacuum. Phys Rev E (2005) 72:056401. doi:10.1103/PhysRevE.72.056401
21. Wilks SC, Kruer WL, Tabak M, Langdon AB. Absorption of ultra-intense laser pulses. Phys Rev Lett (1992) 69:1383–6. doi:10.1103/PhysRevLett.69.1383
22. Kemp AJ, Divol L. Interaction physics of multipicosecond petawatt laser pulses with overdense plasma. Phys Rev Lett (2012) 109:195005. doi:10.1103/PhysRevLett.109.195005
23. Sorokovikova A, Arefiev AV, McGuffey C, Qiao B, Robinson APL, Wei MS, et al. Generation of superponderomotive electrons in multipicosecond interactions of kilojoule laser beams with solid-density plasmas. Phys Rev Lett (2016) 116:155001. doi:10.1103/PhysRevLett.116.155001
24. Iwata N, Kojima S, Sentoku Y, Hata M, Mima K. Plasma density limits for hole boring by intense laser pulses. Nat Commun (2018) 9:623. doi:10.1038/s41467-018-02829-5
25. Kemp AJ, Wilks SC. Direct electron acceleration in multi-kilojoule, multi-picosecond laser pulses. Phys Plasmas (2020) 27:103106. doi:10.1063/5.0007159
26. Iwata N, Mima K, Sentoku Y, Yogo A, Nagatomo H, Nishimura H, et al. Fast ion acceleration in a foil plasma heated by a multi-picosecond high intensity laser. Phys Plasmas (2017) 24:073111. doi:10.1063/1.4990703
27. Iwata N, Kemp AJ, Wilks SC, Mima K, Mariscal D, Ma T, et al. Lateral confinement of fast electrons and its impact on laser ion acceleration. Phys Rev Res (2021) 3:023193. doi:10.1103/PhysRevResearch.3.023193
28. Crow JE, Auer PL, Allen JE. The expansion of a plasma into a vacuum. J Plasma Phys (1975) 14:65–76. doi:10.1017/S0022377800025538
29. Mora P. Plasma expansion into a vacuum. Phys Rev Lett (2003) 90:185002. doi:10.1103/PhysRevLett.90.185002
30. Simpson RA, Mariscal DA, Kim J, Lemos N, Grace ES, Swanson KK, et al. Investigation of boosted proton energies through proton radiography of target normal sheath acceleration fields in the multi-ps regime. Phys Plasmas (2023) 30:103103. doi:10.1063/5.0157214
31. Iwata N, Sentoku Y, Sano T, Mima K. Plasma expansion accompanying superthermal electrons in over-picosecond relativistic laser-foil interactions. Plasma Phys Controlled Fusion (2019) 62:014011. doi:10.1088/1361-6587/ab4d02
32. Sentoku Y, Kemp A. Numerical methods for particle simulations at extreme densities and temperatures: weighted particles, relativistic collisions and reduced currents. J Comput Phys (2008) 227:6846–61. doi:10.1016/j.jcp.2008.03.043
33. Sentoku Y, Mima K, Kojima S-i., Ruhl H. Magnetic instability by the relativistic laser pulses in overdense plasmas. Phys Plasmas (2000) 7:689–95. doi:10.1063/1.873853
Keywords: ion acceleration, kJ petawatt laser, high-intensity laser plasma interaction, plasma expansion, particle-in-cell simulation
Citation: Iwata N and Sentoku Y (2025) Energy partition of fast ions and fast electrons in foil plasma expansion under continuous irradiation with kJ petawatt laser light. Front. Phys. 13:1666941. doi: 10.3389/fphy.2025.1666941
Received: 16 July 2025; Accepted: 29 August 2025;
Published: 03 October 2025.
Edited by:
Chris Armstrong, Science and Technology Facilities Council, United KingdomReviewed by:
Jose A. Pérez-Hernández, Centro de Láseres Pulsados, SpainBhooshan Paradkar, UM-DAE Centre for Excellence in Basic Sciences, India
Copyright © 2025 Iwata and Sentoku. This is an open-access article distributed under the terms of the Creative Commons Attribution License (CC BY). The use, distribution or reproduction in other forums is permitted, provided the original author(s) and the copyright owner(s) are credited and that the original publication in this journal is cited, in accordance with accepted academic practice. No use, distribution or reproduction is permitted which does not comply with these terms.
*Correspondence: Natsumi Iwata, aXdhdGEubmF0c3VtaS5pbGVAb3Nha2EtdS5hYy5qcA==