ORIGINAL RESEARCH article
Front. Phys.
Sec. Interdisciplinary Physics
This article is part of the Research TopicGolden Fractal Jubilee: 50 Years of Bridging Art and ScienceView all articles
A Question of Jackson Pollock's Balance: Using Lacunarity and Fractal Analysis to Distinguish Poured Paintings by Adults and Children
Provisionally accepted- 1California State University Maritime Academy, Vallejo, United States
- 2University of Oregon, Eugene, United States
- 3University of New South Wales, Sydney, Australia
- 4Linneuniversitet - Vaxjo, Växjö, Sweden
- 5Loyola Marymount University, Los Angeles, United States
- 6University of California Santa Barbara Kavli Institute for Theoretical Physics, Santa Barbara, United States
Select one of your emails
You have multiple emails registered with Frontiers:
Notify me on publication
Please enter your email address:
If you already have an account, please login
You don't have a Frontiers account ? You can register here
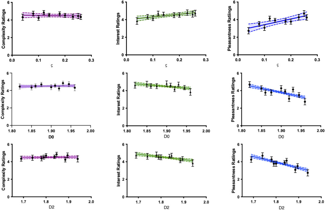
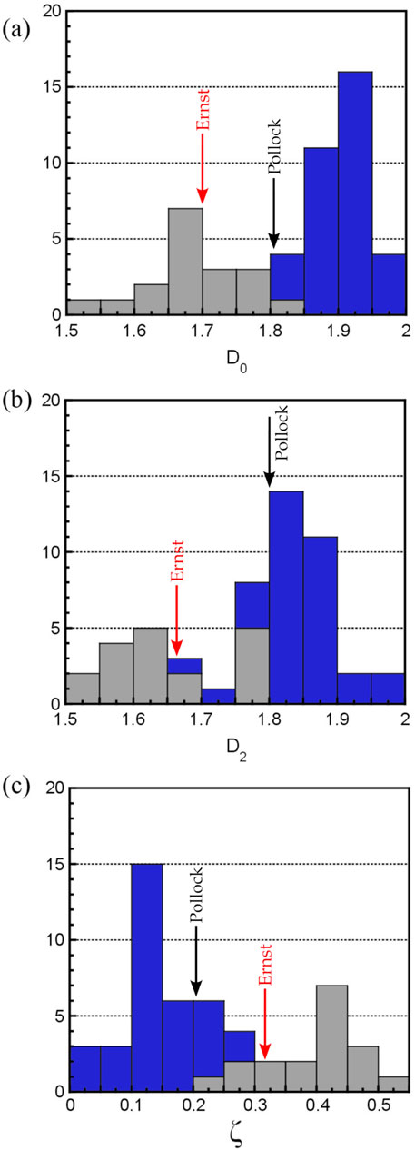
We investigate the artistic patterns generated by the pouring technique made famous by Jackson Pollock. To determine if poured patterns can be distinguished based on the artist age, we apply computer analysis techniques to paintings created under controlled conditions by children (four to six years old) and adults (18 to 25 years old) pouring fluid paint onto horizontal sheets of paper. Both groups of art display a high visual complexity due to the multi-scaled paint structure generated by the pouring process. However, the two groups demonstrate statistically significant differences when this structure is quantified using both multifractal and lacunarity analysis. Whereas the multifractal analysis probes the scaling characteristics of the patterns, lacunarity quantifies clustering in their spatial distributions. We find that the children's paintings are characterized by smaller fractal dimensions (indicating a reduced contribution of fine structure) and by larger lacunarity parameters (indicating a larger clustering of this fine structure) compared to the adult paintings. We compare these results to those of two famous poured works by Jackson Pollock and Max Ernst as a preliminary step to investigating the potential origins of the fractal and lacunarity variations across artists, which includes motions related to biomechanical balance. Finally, to examine the impact on audiences, we ask observers to rate their perceptions of the paintings. These ratings indicate a rise in interest and pleasantness for paintings with lower fractal dimensions and larger lacunarity.
Keywords: abstract art, biomechanical balance, Fractals, lacunarity, Jackson pollock, Max Ernst
Received: 26 Jul 2025; Accepted: 24 Sep 2025.
Copyright: © 2025 Fairbanks, Viengkham, Andersson, Baldwin, Spehar, Mureika and Taylor. This is an open-access article distributed under the terms of the Creative Commons Attribution License (CC BY). The use, distribution or reproduction in other forums is permitted, provided the original author(s) or licensor are credited and that the original publication in this journal is cited, in accordance with accepted academic practice. No use, distribution or reproduction is permitted which does not comply with these terms.
* Correspondence: Richard P Taylor, rpt@uoregon.edu
Disclaimer: All claims expressed in this article are solely those of the authors and do not necessarily represent those of their affiliated organizations, or those of the publisher, the editors and the reviewers. Any product that may be evaluated in this article or claim that may be made by its manufacturer is not guaranteed or endorsed by the publisher.
