ORIGINAL RESEARCH article
Front. Phys.
Sec. Fluid Dynamics
Numerical simulations of liquid jetting with solid inclusions
Provisionally accepted- 1Technische Universiteit Eindhoven, Eindhoven, Netherlands
- 2Universita degli Studi di Ferrara Dipartimento di Fisica e Scienze della Terra, Ferrara, Italy
- 3Istituto Nazionale di Fisica Nucleare Sezione di Ferrara, Ferrara, Italy
- 4Los Alamos National Laboratory, Los Alamos, United States
- 5Canon Production Printing Netherlands BV, Venlo, Netherlands
Select one of your emails
You have multiple emails registered with Frontiers:
Notify me on publication
Please enter your email address:
If you already have an account, please login
You don't have a Frontiers account ? You can register here
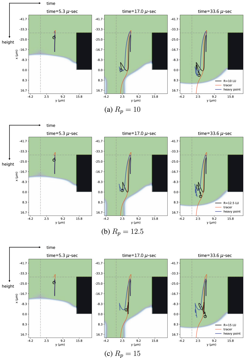
The dynamics of finite-sized particles in fluids, and their influence on the overall flow, are of great interest across several industrial, environmental, and medical fields. In the context of inkjet printing, the presence of solid inclusions can be either intentional, as in additive manufacturing, or unintentional, as in standard printing processes. These inclusions can strongly impact the jetting process, causing effects such as jet asymmetry, bubble entrapment, and the formation of satellite droplets. Understanding and controlling particle behavior is therefore essential, particularly to predict how and when particles are ejected over multiple jetting cycles. It is therefore critical to develop reliable models that allow for a deeper understanding of the complex interplay between particle and fluid during the whole printing process. To address this, we present a tailored implementation of the Color-Gradient multicomponent Lattice Boltzmann Method for fully resolved three-dimensional (3D) simulations of multicycle liquid jetting with particles. Our method supports realistic parameter settings aligned with industrial inkjet systems, and we provide both qualitative and quantitative validation against experimental data. Additionally, we introduce a simplified model based on the Stokes drag law, in which solid particles are represented as point particles and do not influence the fluid flow. Despite this limitation, the model offers a computationally efficient means to explore the vast parameter space typically encountered in industrial applications, allowing e.g. identifying critical ejection regions and estimating the number of cycles required for particle release. These qualitative insights are valuable for guiding and complement fully two-way coupled simulations.
Keywords: inkjet printing, computational fluid dynamics, Lattice Boltzmann Method, Multi-phase Flow, Point-particle modeling
Received: 09 Sep 2025; Accepted: 07 Nov 2025.
Copyright: © 2025 Ghosh, Gabbana, Wijshoff, Clercx and Toschi. This is an open-access article distributed under the terms of the Creative Commons Attribution License (CC BY). The use, distribution or reproduction in other forums is permitted, provided the original author(s) or licensor are credited and that the original publication in this journal is cited, in accordance with accepted academic practice. No use, distribution or reproduction is permitted which does not comply with these terms.
* Correspondence: Federico Toschi, f.toschi@tue.nl
Disclaimer: All claims expressed in this article are solely those of the authors and do not necessarily represent those of their affiliated organizations, or those of the publisher, the editors and the reviewers. Any product that may be evaluated in this article or claim that may be made by its manufacturer is not guaranteed or endorsed by the publisher.
