ORIGINAL RESEARCH article
Front. Phys.
Sec. Optics and Photonics
This article is part of the Research TopicFrontiers in Metamaterials: Advances in Electromagnetic Devices and SystemsView all 4 articles
Design and Performance Evaluation of Orbital Angular Momentum Metasurface for THz Vortex Waves Generation Based on Fourier Transform
Provisionally accepted- 1University of Tabuk, Tabuk, Saudi Arabia
- 2Department of Cybernetics and Biomedical Engineering, VSB–Technical University of Ostrava, Ostrava, Czechia, Ostrava, Czechia
- 3Vysoka skola banska-Technicka univerzita Ostrava, Ostrava, Czechia
- 4Princess Nourah bint Abdulrahman University, Riyadh, Saudi Arabia
- 5Universidad Simon Bolivar, Barranquilla, Colombia
- 6Corporacion Universitaria de la Costa, Barranquilla, Colombia
- 7Kauno technologijos universitetas, Kaunas, Lithuania
Select one of your emails
You have multiple emails registered with Frontiers:
Notify me on publication
Please enter your email address:
If you already have an account, please login
You don't have a Frontiers account ? You can register here
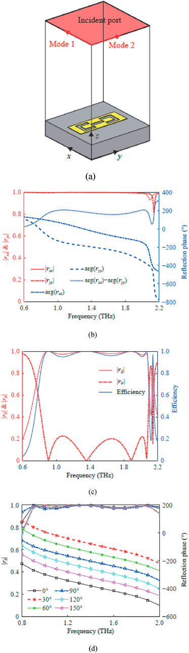
Because it is anticipated to be a new physical quantity for communication multiplexing and has significant potential for increasing channel capacity and enhancing spectrum resource utilization, researchers have been looking more closely at orbital angular momentum (OAM). Because of its potential to increase transmission capacity, vortex beams carrying orbital angular momentum (OAM) have recently become a focus of much investigation. One of the main challenges now is how to effectively manufacture OAM in the terahertz (THz) spectrum because existing THz vortex wave generation devices are constrained by only functioning at one frequency, having a small bandwidth, and having low conversion efficiency. Therefore, this paper proposes a novel OAM metasurface design for generating vortex electromagnetic waves in the THz spectrum. The Pancharatnam-Berry phase idea and the phase superposition principle were used to create a single-layer reflective metasurface and a projected ultra-wideband reflective meta-atom. Each OAM mode in the reflected field was broken down using the Fourier transform, and the purity of the OAM modes was quantitatively examined. The dominant OAM mode had the highest energy weight share (l = - 2) in all vortex waves at various frequencies, and the designed metasurface was further optimized to enhance the energy share corresponding to the dominant mode. With its high main mode energy, wide operating bandwidth, and excellent conversion efficiency, the proposed metasurface provides a benchmark for the effective production of wideband THz vortex waves.
Keywords: metasurface, THz waves, orbital angular momentum, vortex beam generation, ultra-wideband metamaterial, dual-polarization
Received: 10 Sep 2025; Accepted: 24 Oct 2025.
Copyright: © 2025 Zakaria, Prauzek, Konecny, Abdelhaq, Soto-Diaz, Escorcia-Gutierrez and Andriukaitis. This is an open-access article distributed under the terms of the Creative Commons Attribution License (CC BY). The use, distribution or reproduction in other forums is permitted, provided the original author(s) or licensor are credited and that the original publication in this journal is cited, in accordance with accepted academic practice. No use, distribution or reproduction is permitted which does not comply with these terms.
* Correspondence: Michal Prauzek, michal.prauzek@outlook.com
Disclaimer: All claims expressed in this article are solely those of the authors and do not necessarily represent those of their affiliated organizations, or those of the publisher, the editors and the reviewers. Any product that may be evaluated in this article or claim that may be made by its manufacturer is not guaranteed or endorsed by the publisher.
